Loading...

Current issue

    24 March 2026, Volume 35 Issue 4 Previous issue    Next issue
    TOPICAL REVIEW — Advanced magnonics
    Magnon polarons: Hybrid quasiparticles in coupled spin-lattice systems
    Yufei Li(李宇飞), Qi Gu(古琪), Mingzhi Wang(王铭志), Jia-Min Lai(来嘉敏), Aizhuo Zhang(张爱茁), Yameng Guo(郭雅萌), Yuhao Xia(夏宇浩), Yaowen Liu(刘要稳), Jianwei Zhang(张建卫), Wei Zhang(张伟), Zhiyong Quan(全志勇), Zhong Shi(时钟), and Xiaohong Xu(许小红)
    Chin. Phys. B, 2026, 35 (4):  047507.  DOI: 10.1088/1674-1056/ae5efc
    Abstract ( 66 )   HTML ( 2 )   PDF (6994KB) ( 81 )  
    The concept of hybrid quasiparticles has emerged as a cornerstone of modern condensed matter physics, offering powerful means to control material properties and engineer new functionalities. Among these, the magnon polarons (MPs), a mixed state arising from the strong coupling between magnons (spin wave excitations) and phonons (lattice vibrations), have recently garnered significant attention. This review article comprehensively investigates recent advancements in the field of MPs. We begin by elucidating the fundamental magnetoelastic coupling mechanisms that underlie the formation of MPs. A detailed account of the primary experimental techniques, including inelastic neutron scattering and light scattering, are provided, highlighting their unique roles in probing the spectral and spatial properties of MPs. Furthermore, we explore the profound implications of the formation of MPs on spin and heat transport phenomena, such as the spin pumping, spin Seebeck effect, and spin Peltier effect. We then present a panorama of material systems where MPs have been experimentally observed, ranging from rare-earth iron garnets to antiferromagnets, multiferroic materials, and van der Waals magnets. Finally, we discuss emerging devices, applications and future research directions, underscoring the potential of MPs as integral components in next-generation spintronic and quantum information devices.
    SPECIAL TOPIC — Advanced magnonics
    Analogous Faraday effect of spin waves propagating in ferromagnetic nanotubes
    Li Zhou(周利), Zhixuan Ren(任芷萱), and Ming Yan(颜明)
    Chin. Phys. B, 2026, 35 (4):  047501.  DOI: 10.1088/1674-1056/ae1ff7
    Abstract ( 60 )   HTML ( 0 )   PDF (744KB) ( 21 )  
    We present a micromagnetic study of magnetization dynamics in ferromagnetic nanotubes. The sample is radially magnetized in equilibrium with the presence of a strong anisotropy. Micromagnetic simulations reveal that spin waves (SWs) propagating in the tube exhibit a novel effect, analogous to the well-known Faraday magneto-optic effect. Specifically, the location of the nodes/antinodes of the standing waves formed in the azimuthal direction undergoes a continuous rotation during the wave propagation under the influence of an external magnetic field. The physical mechanism is essentially the same as the Faraday effect, i.e., the breaking of the chiral symmetry by the external field. A qualitative explanation is presented by analytically solving the equation of motion of magnetization taking into account the exchange interaction. Our results may bear potential applications in the development of future spintronic devices based on SW propagation.
    Engineering nonreciprocal damping and polarization of spin waves in ferromagnetic domain wall via Dzyaloshinskii-Moriya interaction and spin-transfer torque
    Xiang Liu(刘想), Xiguang Wang(王希光), Zhixiong Li(李志雄), Xiufeng Han(韩秀峰), and Guanghua Guo(郭光华)
    Chin. Phys. B, 2026, 35 (4):  047502.  DOI: 10.1088/1674-1056/ae2771
    Abstract ( 42 )   HTML ( 0 )   PDF (1402KB) ( 20 )  
    Manipulation of spin-wave polarization is fundamental for designing novel magnonic devices based on the polarization coding technique. Here, we demonstrate the generation of left-handed polarized spin waves (LPSWs) in a ferromagnetic domain wall and their polarization modulation through the combined effect of the Dzyaloshinskii-Moriya interaction (DMI) and spin-polarized electric current. A phase diagram delineating the stability regions of left- and right-handed polarized spin waves (RPSWs) is constructed as a function of DMI strength and current density. Our results reveal a pronounced DMI-induced nonreciprocal damping effect, predominantly manifested in RPSWs while leaving LPSWs largely unaffected. This phenomenon enables effective filtering of RPSWs in one direction, allowing the realization of pure LPSW propagation as well as elliptically polarized spin waves with tunable eccentricity. Our work provides a viable method for controlling spin-wave polarization and nonreciprocal propagation in ferromagnetic systems.
    Strong magnon-photon coupling in on-chip CoFe/LiNbO3 hybrid nanostructures Hot!
    Jinlong Wang(王锦龙), Rundong Yuan(袁润东), Manuel Mueller, Luis Flacke, Hanchen Wang(王涵晨), Kanglin Yu(俞康麟), Junfeng Hu(胡俊峰), Fenglin Zhong(钟丰麟), Jilei Chen(陈济雷), Mathias Weiler, Matthias Althammer, and Haiming Yu(于海明)
    Chin. Phys. B, 2026, 35 (4):  047503.  DOI: 10.1088/1674-1056/ae2d3c
    Abstract ( 110 )   HTML ( 0 )   PDF (4525KB) ( 76 )  
    We demonstrate strong magnon-photon coupling using on-chip arrays of ferromagnetic CoFe nanowires fabricated on a dielectric lithium niobate substrate. A large coupling strength of 1.1 GHz and a cooperativity of 3.1 at a frequency of 24.5 GHz are achieved in CoFe nanowires with a volume of 110 μm$^{3}$, facilitated by the enhanced spin-photon interaction at the single-spin level. The measured spectra are analyzed using a semiclassical theoretical model that combines the Landau-Lifshitz equation with Maxwell's equations. Our results provide an on-chip approach to integrated hybrid magnonics based on nanomagnets, offering promising routes for the development of coherent information-processing devices.
    Hybridization between chiral nutation modes in ferrimagnets
    Yihang Duan(段懿航), and Ka Shen(沈卡)
    Chin. Phys. B, 2026, 35 (4):  047504.  DOI: 10.1088/1674-1056/ae3c8c
    Abstract ( 40 )   HTML ( 1 )   PDF (2014KB) ( 14 )  
    The hybridization between ferrimagnetic magnons of different chiralities holds potentials for applications in the design of magnonic devices. Whereas the nutation mode observed in the ferromagnetic film also possesses opposite chirality to precessional magnon mode, in the present work, we study the interplay of the nutation modes and chiral magnons in ferrimagnets with both parallel and antiparallel magnetic configurations based on the inertial Landau-Lifshitz-Gilbert equation. While the two configurations show some general features, such as the individual excitation of the nutation modes and the repulsion between nutation modes and conventional modes, the antiparallel configuration also exhibits a hybridization between two nutation modes and distinct dissipation behaviors, compared to the parallel configuration. A theoretical mode analysis was performed based on a perturbation approach, which nicely reproduces the observations in the simulation and clarifies the key role of the magnetic anisotropy in mode hybridization. Our findings offer a more comprehensive understanding of inertial effects in ferrimagnets, and could be useful for understanding experimental studies on ferrimagnets with non-negligible magnetic inertia.
    Efficient magnon transport and magnon torque through the epitaxial antiferromagnetic insulator α-Fe2O3
    Donglin Song(宋东霖), Fanyu Meng(孟凡毓), Mingyang Sun(孙铭扬), Hongrui Ni(倪泓睿), Jinhao Zou(邹锦豪), Zichen Yao(姚子忱), Zhenlong Guo(郭振龙), Yichi Zhang(张一驰), Liyan Zhang(张丽艳), Hongliang Bai(白洪亮), Wenping Zhou(周文平), and Yi Wang(王译)
    Chin. Phys. B, 2026, 35 (4):  047505.  DOI: 10.1088/1674-1056/ae48c1
    Abstract ( 49 )   HTML ( 0 )   PDF (1198KB) ( 23 )  
    Magnons, as key carriers of spin angular momentum, enable spin transport without charge movement in magnetic insulators, thereby greatly reducing Joule heating in spintronic devices. Magnon-mediated spin torque (i.e., magnon torque) provides an alternative approach for efficient magnetization manipulation. However, magnon transmission through antiferromagnetic insulators still suffers from notable propagation losses, limiting the efficiency of magnon torque. Here, we fabricate high-quality epitaxial $\alpha $-Fe$_{2}$O$_{3}$ thin films by magnetron sputtering that exhibit strong antiferromagnetic ordering, and successfully demonstrate highly efficient magnon transport and magnon torque in Pt/$\alpha $-Fe$_{2}$O$_{3}$/NiFe devices at room temperature. It is observed that magnons propagate through a 20-nm-thick $\alpha $-Fe$_{2}$O$_{3}$ layer with a significantly enhanced transmission efficiency of 75%, about 2.5 times higher than that in previously reported NiO-based magnonic devices. Consequently, a pronounced magnon torque is exerted on the adjacent ferromagnetic layer. Our work demonstrates that $\alpha $-Fe$_{2}$O$_{3}$ is a promising antiferromagnetic material for efficient magnon channels, advancing the study of energy-efficient, high-speed magnonic devices.
    TOPICAL REVIEW — Ultrafast physics in atomic, molecular and optical systems
    Measuring the Coulomb time shift in high-order harmonic generation
    Shengjun Yue(岳生俊), Siqi Song(宋思琦), Ruofeng Zhong(钟若峰), Jiangkun Li(李江坤), Haiyuan Yu(于海元), and Hongchuan Du(杜洪川)
    Chin. Phys. B, 2026, 35 (4):  043201.  DOI: 10.1088/1674-1056/ae1951
    Abstract ( 61 )   HTML ( 0 )   PDF (2518KB) ( 23 )  
    High-order harmonic generation (HHG), a key nonlinear phenomenon in strong-field physics, enables ultrafast detection on the attosecond timescale. Quantifying ionization/recombination times is essential for trajectory-resolved high-harmonic spectroscopy and for benchmarking its temporal resolution. In this review, we summarize our recent studies [Phys. Rev. A 105 L041103 (2022), Phys. Rev. A 106 023117 (2022), Phys. Rev. A 107 063102 (2023), Phys. Rev. A 111 039902 (2025)] on the role of electron-core interactions in HHG. Employing the classical trajectory model, analytical R-matrix theory, and numerical solutions of time-dependent Schrödinger equations for helium, we reveal how Coulomb attraction induces subtle shifts in ionization and recombination times. Such effects emerge as observable signatures under orthogonally polarized bichromatic fields at high probe frequencies. Because of the direct experimental relevance of these findings, this review seeks to stimulate further experimental efforts to control and resolve electron dynamics in HHG. In the future, it will be of great interest to (i) refine retrieval methods by incorporating Coulomb corrections beyond the static-field approximation, and (ii) advance two-color detection techniques with the capability to reconstruct complete quantum trajectories in HHG.
    SPECIAL TOPIC — Ultrafast physics in atomic, molecular and optical systems
    Comparing distinct dissociation pathways of C2H22+ under laser and electron impact
    Xiangjie Chen(陈祥杰), Jianting Lei(雷建廷), Chenyu Tao(陶琛玉), Shuncheng Yan(闫顺成), Yongzhe Ma(马永哲), Fenghao Sun(孙烽豪), Qingcao Liu(刘情操), and Shaofeng Zhang(张少锋)
    Chin. Phys. B, 2026, 35 (4):  043202.  DOI: 10.1088/1674-1056/ae311d
    Abstract ( 76 )   HTML ( 1 )   PDF (1359KB) ( 33 )  
    We report a comparative study of the dissociation dynamics of ethyne (C$_{2}$H$_{2}$) molecules and clusters under a strong laser field ($9\times 10^{13}$ W/cm$^{2}$) and 1 keV electron impact. Using coincidence momentum imaging, we identify several two-body dissociation channels of C$_{2}$H$_{2}^{2+}$, including C$_{2}$H$^{+} + {\rm H}^{+}$, CH$_{2}^{+} + {\rm C}^{+}$, symmetric breakup into CH$^{+} + {\rm CH}^{+}$, as well as dimer dissociation channels such as C$_{2}$H$_{2}^{+} + {\rm C}_{2}$H$_{2}^{+}$ and C$_{2}$H$_{2}^{2+} + {\rm C}_{2}$H$_{2}^{+}$. By analyzing the kinetic energy release (KER) and branching ratios of the dominant fragmentation pathways, we demonstrate that double ionization under a strong laser field preferentially leads to dissociation on the singlet ground-state surface ($^{1}\Delta_{\rm g}$), whereas electron impact favors the triplet ground state ($^{3}\Sigma_{\rm g}^{-}$). This contrast is attributed to different ionization mechanisms: electron impact follows a propensity rule favoring the lower-energy triplet, while strong-field ionization aligned with the $\pi$ orbitals promotes singlet formation due to the Pauli exclusion principle. Our findings provide clear evidence of excitation-condition-dependent dissociation pathways in acetylene dications.
    Quantum pathways interference in nonadiabatic strong-field ionizations driven by elliptically polarized laser pulses
    Yidian Tian(田亦电), Kunlong Liu(刘昆陇), and Yueming Zhou(周月明)
    Chin. Phys. B, 2026, 35 (4):  043203.  DOI: 10.1088/1674-1056/ae1c24
    Abstract ( 39 )   HTML ( 0 )   PDF (2147KB) ( 8 )  
    Ultrafast phenomena initiated by strong-field ionization are commonly interpreted within classical or semiclassical frameworks based on electron trajectories. In this work, we theoretically investigate the energy-resolved photoelectron angular distributions in above-threshold ionization (ATI) induced by elliptically polarized ultraviolet (UV) pulses and unravel the underlying dynamics from the perspective of quantum-pathway interference. By numerically solving the three-dimensional time-dependent Schrödinger equation, we extract the contributions of the quantum pathways for an electron transitioning from the ground state to the continuum under pulses with different ellipticities. Our results demonstrate that for close-to-circularly polarized UV pulses, two quantum pathways govern the angular distribution for each ATI peak, and their interference produces a cosinusoidal oscillation in the photoelectron angular distributions, which is distinct from the Gaussian characteristic predicted by the traditional tunneling framework. In particular, the corresponding offset angle is shown to depend on the relative phase between these two dominant channels. As the ellipticity decreases, the increasing number of contributing pathways leads to a multiple-peak structure in the photoelectron angular distribution. The present study provides a quantum-mechanical perspective for understanding the angular streaking of nonadiabatic ionization in rotating fields.
    Intensity-dependent control of dissociation pathways in strong-field double ionization of ethylene
    Jianting Lei(雷建廷), Luqi Li(李潞琪), Xiangjie Chen(陈祥杰), Chenyu Tao(陶琛玉), Shuncheng Yan(闫顺成), Qingcao Liu(刘情操), and Shaofeng Zhang(张少锋)
    Chin. Phys. B, 2026, 35 (4):  043301.  DOI: 10.1088/1674-1056/ae3608
    Abstract ( 37 )   HTML ( 0 )   PDF (1430KB) ( 41 )  
    We investigate the dissociation dynamics of ethylene (C$_{2}$H$_{4}$) in strong femtosecond laser fields using a reaction microscope. Coincidence ion detection enables reconstruction of fragment momenta and identification of multiple two-body channels of C$_{2}$H$_{4}^{2+}$, including C$_{2}$H$_{3}^{+} + {\rm H}^{+}$, CH$_{2}^{+} + {\rm CH}_{2}^{+}$, and C$_{2}$H$_{2}^{+} + {\rm H}_{2}^{+}$. Particular attention is given to the symmetric CH$_{2}^{+} + {\rm CH}_{2}^{+}$ channel. With increasing laser intensity, the kinetic energy release peak shifts from 5.2 eV to 7.3 eV, indicating a transition from dissociation via lower excited states (e.g., $^{3}$B$_{\rm 3u}$ and $^{1}$A$_{\rm u}$ (S$_{2}$)) to higher-lying states (e.g., $^{3}$Ag and $^{1}$B$_{\rm 3g}$). The observed evolution of state populations highlights that peak laser power density governs the selection of dissociation pathways. By tuning laser parameters, specific channels can be enhanced or suppressed, providing an effective approach for steering molecular fragmentation dynamics in polyatomic systems.
    Ultrafast structural dynamics of pyrrole trimer probed by Coulomb explosion imaging
    Lu Wu(武璐), Di Zhou(周迪), Shengpeng Zhou(周胜鹏), Zejin Liu(刘泽槿), Xinhui Wang(王馨慧), Jiaqi Zhou(周家琪), Xiaoge Zhao(赵晓戈), Xiyue Lu(卢喜悦), Xiaokai Li(李孝开), Yizhang Yang(杨译章), Xueguang Ren(任雪光), Lanhai He(赫兰海), and Chuncheng Wang(王春成)
    Chin. Phys. B, 2026, 35 (4):  043302.  DOI: 10.1088/1674-1056/ae3556
    Abstract ( 43 )   HTML ( 0 )   PDF (1919KB) ( 6 )  
    The ultrafast structural dynamics of the pyrrole trimer induced by femtosecond laser pulses have been investigated using the Coulomb explosion imaging technique. Coincidence measurements of the three-body dissociation channel ($\mathrm{(C_4H_5N)_3^{3+}} \rightarrow 3\ \mathrm{C_4H_5N^+}$) reveal the geometric configuration and fragmentation behavior of the trimer in the gas phase. Analysis of the kinetic energy release (KER) and fragment angular distributions, combined with Dalitz-plot reconstruction, indicates that the pyrrole trimer predominantly adopts a stable equilateral triangular (cyclic) configuration. Ab initio molecular dynamics (AIMD) simulations show that the experimental KER distribution can be reproduced only when the structural evolution proceeds along the ground state of the trimer dication within $\sim 50$ fs. These results demonstrate that significant intracluster structural rearrangement occurs on an ultrafast timescale during multiple ionization, highlighting the strong coupling between electronic excitation and nuclear motion even in relatively large molecular clusters.
    Molecular orbital effect in above-threshold ionization of vinyl bromide induced by strong laser fields
    Qi Chen(陈淇), Yang Liu(刘洋), Wei Yang(杨威), Di Liu(刘迪), Hang Lv(吕航), Bing Yan(闫冰), and Haifeng Xu(徐海峰)
    Chin. Phys. B, 2026, 35 (4):  043303.  DOI: 10.1088/1674-1056/ae4465
    Abstract ( 57 )   HTML ( 0 )   PDF (880KB) ( 16 )  
    Ionization is a fundamental process that may induce a variety of highly nonlinear physical phenomena in strong femtosecond laser fields. Compared to that of atoms, strong-field ionization (SFI) of polyatomic molecules is far from being understood because of their diverse geometric and orbital structures. In this study, we experimentally investigate SFI of the vinyl bromide ($\mathrm{C_2 H_3 Br}$) molecule in near ultraviolet and near-infrared strong laser fields employing the electron velocity map imaging (VMI) method. The distinct above-threshold ionization (ATI) structure of the molecule is clearly observed in both strong laser fields. The electron kinetic energy as well as the angular distributions is derived from the electron VMI measurements, and their dependence on the laser intensity is investigated and discussed. Analysis reveals that owing to the small energy difference between the low-lying electronic orbitals of the $\mathrm{C_2 H_3 Br}$ molecule, multiple orbital effect plays a pivotal role in the SFI of the molecule. The present study adds our knowledge on SFI and ATI of the $\mathrm{C_2 H_3 Br}$ molecule, and sheds some light on the interaction of polyatomic molecules with ultrafast strong laser fields.
    SPECIAL TOPIC — Quantum communication and quantum network
    Partial-measurement-enhanced high-dimensional superdense coding in amplitude damping channel with memory
    Xing Xiao(肖兴), Zhipeng Yang(杨志鹏), Yan-Ling Li(李艳玲), Fangqing Tang(唐方清), and Tian-Xiang Lu(卢天祥)
    Chin. Phys. B, 2026, 35 (4):  040301.  DOI: 10.1088/1674-1056/ae27b4
    Abstract ( 39 )   HTML ( 0 )   PDF (3742KB) ( 16 )  
    We study the performance of high-dimensional superdense coding (HD-SDC) over an amplitude damping (AD) channel with memory and propose a protocol that leverages partial measurement and its reversal to enhance the channel capacity. By considering a two-qutrit system, we model the memory AD noise using a convex mixture of memoryless and perfectly memory AD channels. We demonstrate that the memory effect alone can mitigate the decay of the SDC capacity under noise. More significantly, we show that the application of partial measurement before the channel and its reversal after the channel can not only recover the capacity degraded by noise but, for certain non-maximally entangled initial states, even amplify it beyond the initial capacity. This amplification effect is governed by three key factors: the ground-state probability in the initial entangled state, the memory strength, and the partial measurement strength. Our results provide a practical strategy for enhancing quantum communication protocols in realistic noisy environments and highlight the synergistic benefits of memory noise and measurement-based control.
    Continuous-variable quantum secure direct communication with one-time pad
    Yi-Yu Mao(毛宜钰), Chang-Hua Hu(胡昌华), Wen-Ti Huang(黄文体), Wei Zhao(赵微), and Lei Chen(陈磊)
    Chin. Phys. B, 2026, 35 (4):  040302.  DOI: 10.1088/1674-1056/ae181a
    Abstract ( 34 )   HTML ( 0 )   PDF (787KB) ( 18 )  
    Quantum secure direct communication (QSDC) enables the direct transmission of secret messages over a quantum channel without prior key sharing. QSDC implemented in the continuous-variable (CV) regime allows high-capacity information transmission using simple optical communication technologies. In this work, we propose a novel CV-QSDC protocol with a quantum one-time pad, which achieves secure message transmission based on coherent states and unitary operations, and the receiver can directly obtain the secret messages after measuring the coherent states. The security of this protocol is jointly guaranteed by one-time pad encryption and a CV quantum key distribution (QKD) protocol. Performance analysis shows that the proposed scheme can achieve a quantum bit error rate (QBER) lower than 1% by adjusting the modulation variance and unitary operation parameters. With the optimal modulation variance, the secure transmission distance of the proposed protocol can exceed 150 km.
    Measurement-device-independent quantum key distribution with entanglement-assisted linear Bell state measurement
    Cheng Zhang(张诚), Cheng Liu(刘成), Jiawei Ying(应佳伟), Shipu Gu(顾世浦), Lan Zhou(周澜), Yin Ma(马寅), Kang Gao(高亢), Hai Wei(魏海), Kai Wen(文凯), and Yubo Sheng(盛宇波)
    Chin. Phys. B, 2026, 35 (4):  040310.  DOI: 10.1088/1674-1056/ae3605
    Abstract ( 69 )   HTML ( 1 )   PDF (902KB) ( 20 )  
    Measurement-device-independent quantum key distribution (MDI QKD) provides inherent immunity against attacks targeting practical measurement devices. Existing MDI QKD protocols all rely on Bell-state measurements (BSM) to establish correlations between the users. However, the success probability of linear-optics BSM is limited to 50%, which severely restricts the achievable key rate of MDI QKD. We propose a high-capacity MDI QKD protocol with entanglement-assisted linear-optical BSM. This protocol has three advantages. First, compared with the original MDI QKD, at least a 25% increase in the key rate can be achieved. Second, simulation results show that this protocol can effectively increase the maximum photon transmission distance of MDI QKD from 262 km to 272 km. Third, this protocol is feasible in a fully linear-optical system under current experimental conditions. Our protocol provides a potential approach for improving the performance of future quantum communication networks.
    SPECIAL TOPIC — Biophysical circuits: Modeling & applications in neuroscience
    Frequency-tunable spiking dynamics of Chua corsage memristors
    Qijian Wu(吴奇键), Peipei Jin(靳培培), Xiameng Wu(吴夏萌), Meiyuan Gu(顾梅园), Wei Zhou(周玮), Yujiao Dong(董玉姣), Yan Liang(梁燕), and Long Chen(陈龙)
    Chin. Phys. B, 2026, 35 (4):  048703.  DOI: 10.1088/1674-1056/ae3c95
    Abstract ( 60 )   HTML ( 2 )   PDF (6672KB) ( 63 )  
    Brain-inspired computing relies on neuronal spiking frequency as a foundational element for information encoding. Bi-directional spiking enables the processing and encoding of multimodal information. The Chua corsage memristor (CCM), endowed with the edge of chaos, can generate spiking dynamics and can be synthesized using only off-the-shelf electronic components, making it suitable for both theoretical analysis and hardware demonstration of frequency-tunable spiking dynamics. This paper employs second- and third-order neuron circuits constructed with a CCM sibling, namely the odd-symmetric CCM, to explore the frequency-tunable characteristics of bi-directional spiking. A quantitative method for calculating the output spiking frequency of neurons is proposed. Simulation results verify the validity of this method. The neuron hardware circuits are implemented using a homemade odd-symmetric CCM circuit board. The experimental results confirm the frequency-tunable spiking of the odd-symmetric CCM-based neurons and reveal the effect of the excitation voltage on the system dynamics.
    Coupling-diversity-enhanced weak signal propagation in bistable networks
    Yashi Zhang(章雅诗), Shanshan Cheng(程姗姗), Jie Fu(扶杰), and Lulu Lu(鹿露露)
    Chin. Phys. B, 2026, 35 (4):  048704.  DOI: 10.1088/1674-1056/ae23a9
    Abstract ( 38 )   HTML ( 0 )   PDF (8285KB) ( 5 )  
    Coupling diversity significantly shapes signal transmission and enhancement by modulating internal component interactions in nonlinear systems. Existing theoretical studies on coupling diversity have primarily focused on one-dimensional bistable systems, which are limited to single-variable scenarios and simple dynamical behaviors and thus fail to adapt to complex real-world systems or reveal multi-dimensional mechanisms. To address these limitations, the present study extends this investigation to two-dimensional globally coupled bistable systems. The research team explores the law of weak signal propagation in a globally coupled model composed of bistable oscillators, in which the coupling strength between oscillators follows a Gaussian distribution. Through dual verification via numerical simulations and analytical calculations, we confirm that when the coupling diversity is at an intermediate level, a resonance effect is induced within the system. This effect directly causes the system's dynamical properties to bifurcate into three oscillation clusters with significant differences. Such a bifurcation phenomenon can significantly amplify the system's collective response to weak external signals. Specifically, with an increase in the mean coupling strength, the peaks of the spectral amplification factor become higher, and the optimal variance exhibits a right-shifting trend. Notably, this phenomenon stably emerges across different system sizes, demonstrating the robustness of the system. This finding provides a reference for a deeper understanding of the regulatory mechanism of coupling diversity in weak signal propagation.
    SPECIAL TOPIC — Artificial intelligence and smart materials innovation: From fundamentals to applications
    Unveiling stable and efficient antiperovskite semiconductors via high-throughput computation and interpretable machine learning
    Hao Qu(瞿浩), Tao Hu(胡涛), Mingjun Li(李明军), Jiangyu Yang(杨江渝), Yunyi Zhou(周云逸), Shichang Li(李世长), Dengfeng Li(李登峰), Gang Tang(唐刚), and Chunbao Feng(冯春宝)
    Chin. Phys. B, 2026, 35 (4):  046102.  DOI: 10.1088/1674-1056/ae24e7
    Abstract ( 0 )   HTML ( 0 )   PDF (6831KB) ( 8 )  
    Nitride antiperovskites have recently been theoretically identified as promising optoelectronic materials, yet their chemical space remains largely unexplored. Here, we employ a high-throughput first-principles screening workflow to systematically investigate the X$_3$BA antiperovskite family. Six candidates that exhibit both structural and dynamical stability together with desirable bandgaps are identified. Electronic-structure calculations reveal that the alkaline-earth-based compounds (e.g., Ca$_3$AsSb, Sr$_3$AsSb, Ba$_3$AsSb) not only possess suitable direct bandgaps and strong optical absorption, but also exhibit favorable ambipolar carrier mobilities and low exciton binding energies ($< 45$ meV). Notably, Sr$_3$AsSb and Ba$_3$AsSb are predicted to achieve theoretical maximum power-conversion efficiencies of 28.1% and 29.4%, respectively. Finally, an interpretable machine-learning model demonstrates that the electronegativity of the A-site anion is the single most influential descriptor governing bandgap trends across the chemical space. This work establishes a data-driven design heuristic and provides a predictive framework for the accelerated discovery of efficient and stable antiperovskite-based optoelectronic materials.
    RAPID COMMUNICATION
    Sandwich-structured long-wave infrared transparent electromagnetic shielding film using transmittance-enhanced wetting layer/Ag stacked conductive layers Hot!
    Zhirui Zhang(张智睿), Yuyang Zhang(张雨阳), Le Zhao(赵乐), Zhi Wang(王植), Chi Zhang(张弛), Yao Wu(吴尧), Ruifan Li(李瑞凡), Yonghao Han(韩永昊), and Chaoquan Hu(胡超权)
    Chin. Phys. B, 2026, 35 (4):  046803.  DOI: 10.1088/1674-1056/ae44f5
    Abstract ( 229 )   HTML ( 14 )   PDF (2715KB) ( 212 )  
    Designing infrared transparent electromagnetic shielding films (ITESFs) is challenging because carrier absorption and carrier transport occur simultaneously. Sandwich structures with Ag inserted into semiconductors can achieve synergy between transparency and electromagnetic shielding effectiveness, but Ag films alone suffer from island growth and optical loss. This work presents a sandwich structure using a transmittance-enhancing conductive layer composed of a wetting layer and Ag (WL/Ag). As a proof of concept, a Bi$_{2}$Se$_{3}$/Ti WL/Ag/Bi$_{2}$Se$_{3}$ film was prepared, achieving a long-wavelength infrared transmittance of 77% and a conductivity of 5988 S/cm. The electromagnetic shielding effectiveness reached $\sim 22$ dB in the X band (8.2-12.4 GHz), meeting the requirement of protecting infrared optoelectronic devices from electromagnetic interference. High-resolution transmission electron microscopy and theoretical calculations showed that the Ti wetting layer enhances performance through high surface energy, low nk product values, and admittance matching. We proposed design criteria for wetting layers and identified candidate materials such as Cr. This study provides an optimization strategy for sandwich structures and introduces high-performance ITESFs for infrared optoelectronic devices.
    Manipulating the electronic structure and superconductivity of Li2B3C by biaxial strain Hot!
    Yuhao Gu(顾雨豪), Yihao Wang(王奕淏), and Shuxian Hu(胡淑贤)
    Chin. Phys. B, 2026, 35 (4):  047401.  DOI: 10.1088/1674-1056/ae5594
    Abstract ( 819 )   HTML ( 0 )   PDF (12430KB) ( 67 )  
    Strain is a clean and efficient method to manipulate physical properties without changing the chemical composition. In this paper, we perform a systematic first-principles study of how biaxial strain manipulates the electronic structure and phonon-mediated superconductivity of Li2B3C with its optimal configuration. Here we introduce a descriptor $\Delta\varepsilon$, defined as the energy offset between the B-B bridge $\sigma$-bonding band maximum and the Fermi level. We screen the biaxial-strained Li2B3C structures in the range of -5% to +5% and retain those with $\Delta\varepsilon>0.05$ eV for subsequent electron-phonon coupling (EPC) calculations. The maximum $T_{\rm c}=44.72$ K occurs at +5% $a$-axis strain and -5% $b$-axis strain. We then elucidate the microscopic mechanism underlying the strain response of the electronic structure by analyzing the corresponding changes of the structure and tight-binding parameters. Taking the optimal biaxial-strained Li2B3C as an example, we analyze its phonon properties and discuss the origin of its strong EPC. Our work provides reliable theoretical guidance for manipulating electronic structure and superconductivity by strain, and sheds new light on high-$T_{\rm c}$ superconductivity induced by metallic $\sigma$-bonding electrons.
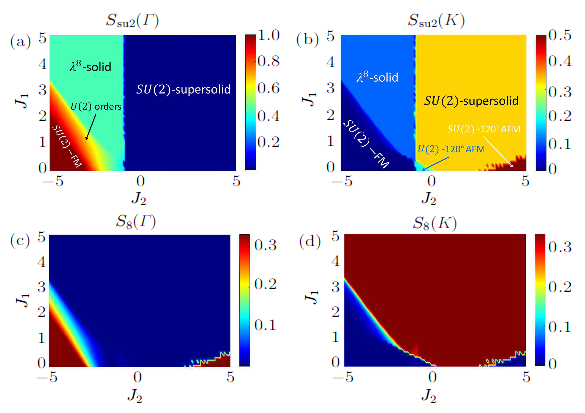
    Supersolid phase in a U(2) symmetric S = 1 magnet on the triangular lattice Hot!
    Si-Cheng Wang(王思成), and Zheng-Xin Liu(刘正鑫)
    Chin. Phys. B, 2026, 35 (4):  047506.  DOI: 10.1088/1674-1056/ae3604
    Abstract ( 117 )   HTML ( 5 )   PDF (3092KB) ( 71 )  
    A spin supersolid is characterized by the simultaneous breaking of lattice translation and continuous spin rotation symmetries. In this work, we study a spin-1 model with $U(2)\cong SU(2)\times U(1)/Z_2$ symmetry on the triangular lattice, and determine the phase diagram with a variational $\mathbb CP^2$ approach. We identify a novel supersolid phase which contains a 3-sublattice solid order and a superfluid order with spontaneous $SU(2)$-symmetry breaking. Unlike usual supersolid phases having only one Goldstone mode, the $SU(2)$-supersolid phase has two Goldstone modes. Another important feature of this supersolid is that the spin excitation spectrum has symmetry protected double degeneracy in the whole Brillouin zone. As by-products, several other ordered phases are obtained, including the ferromagnetic and the antiferromagnetic states breaking the $SU(2)$ symmetry, as well as genuine phases that completely break the $U(2)$ symmetry. Furthermore, the instabilities of $SU(3)$-flavor linear spin-wave theory are consistent with the phase boundaries between different ordered phases.
    GENERAL
    Measurement of the equivalent complex permittivity of electromagnetic structural materials without prior thickness
    Xiang-Bao Zhu(朱香宝), Yun-Peng Zhang(张云鹏), Pin-Hong Xie(谢品鸿), Yi-Hang Tu(涂一航), Jia-Wei Long(龙嘉威), Xue Niu(牛雪), Chong Gao(高冲), Cheng-Yong Yu(余承勇), Yong Gao(高勇), and En Li(李恩)
    Chin. Phys. B, 2026, 35 (4):  040101.  DOI: 10.1088/1674-1056/ae0434
    Abstract ( 77 )   HTML ( 0 )   PDF (1354KB) ( 27 )  
    Electromagnetic structural materials exhibit significant sensitivity to the polarization state and incidence angle of electromagnetic waves. The equivalent complex permittivity is the core parameter that describes the dielectric properties of electromagnetic structural materials. Therefore, accurate characterization of their equivalent complex permittivity is essential for establishing electromagnetic models and guiding the design of functional devices. This paper proposes a broadband inversion method based solely on reflection measurements at different incident polarizations and incident angles. By establishing a set of adaptive equations for multi-reflection measurement states under oblique incidence, the proposed method directly resolves the equivalent complex permittivity without requiring prior knowledge of the sample thickness and iterative phase unwrapping, and obtains broadband measurement results in a single measurement. The simulation and experimental results show that this method has good testing consistency and accuracy. This study provides a high-precision, low-cost and efficient testing solution for dielectric property evaluation of electromagnetic structural materials. It can simplify the complex modeling design of electromagnetic structural materials into an equivalent single-layer material design, providing a reference value for rapid analysis of the scattering characteristics of complex structures.
    Integrable decompositions and superposed nonlinear solutions of (2+1)-dimensional Caudrey-Dodd-Gibbon-Kotera-Sawada equation
    Yan Li(李岩), Ruoxia Yao(姚若侠), and Senyue Lou(楼森岳)
    Chin. Phys. B, 2026, 35 (4):  040201.  DOI: 10.1088/1674-1056/ae0435
    Abstract ( 63 )   HTML ( 0 )   PDF (1112KB) ( 33 )  
    The phenomenon of shallow water waves in nature attracts the attention of scholars and plays an important role in fields such as marine ecology, tidal waves, solitary waves, and offshore engineering. To better understand the phenomenon of shallow water waves, we investigate the $(2+1)$-dimensional Caudrey-Dodd-Gibbon-Kotera-Sawada (2D-CDGKS) equation from the perspective of integrable decomposition. By utilizing the Lax pairs and formal variable separation (FVS) method, the 2D-CDGKS equation can be decomposed into the Sharma-Tasso-Olver (STO) equation, the integrable Svinolupov-Sokolov (SS) equation, and the Sawada-Kotera (SK) equation. We construct some novel exact solutions by linear superposing the integrable decomposition relations. Additionally, the superposition of two-soliton solution with three-soliton solution, two-soliton solution propagating on periodic cnoidal background waves, and soliton-cnoidal wave interaction solutions with interesting dynamics, are explored. Our results have important significance for understanding of the physical events consolidate the complex system under consideration and offering vital insights into the intricate dynamics of its behavior. Furthermore, the present work will enrich the investigation of nonlinear dynamics in high-dimensional nonlinear system, and provide theoretical support for the related experimental phenomena.
    Modified PINN approach integrating conservation laws for efficient multi-stage training of coupled nonlinear systems
    Jie Deng(邓婕) and Lijia Han(韩励佳)
    Chin. Phys. B, 2026, 35 (4):  040202.  DOI: 10.1088/1674-1056/ae030b
    Abstract ( 44 )   HTML ( 1 )   PDF (2836KB) ( 25 )  
    We propose an innovative conservation multi-stage algorithm (CM) based on physics-informed neural networks (PINNs) to investigate the dynamics of vector solitons governed by Zakharov equation. By ingeniously integrating conservation laws into the multi-stage training algorithm, we enhanced the method's constraint and physical consistency in solving nonlinear systems. Numerical simulations of the Zakharov and nonlinear Schrödinger (NLS) equations demonstrated that our method showed obvious improvements in approximation accuracy, convergence speed, and training efficiency, compared to traditional PINN methods. Moreover, when the parameter representing the speed of sound is sufficiently large, our method efficiently simulates the approximation from the Zakharov equation to the NLS equation. The approximative simulation not only confirms the conservation multi-stage algorithm's applicability in various physical environments but also highlights its potential in controlling sound wave propagation characteristics to simulate NLS equation behavior.
    Enhancing spiral microrobot dynamics in ratchet potentials: The role of Gaussian colored noise
    Xinpeng Shi(史鑫鹏) and Kheder Suleiman
    Chin. Phys. B, 2026, 35 (4):  040203.  DOI: 10.1088/1674-1056/ae0c00
    Abstract ( 56 )   HTML ( 0 )   PDF (1336KB) ( 13 )  
    Random disturbances in microfluidic environments often cause pronounced trajectory deviations in microrobots, posing challenges for robust control. However, most existing models either neglect these disturbances or idealize them as Gaussian white noise, limiting their applicability. To address this, we investigate the influence of Gaussian colored noise (GCN) on the dynamics of a spiral microrobot navigating a ratchet potential. A stochastic dynamic model grounded in resistive force theory is proposed, and the system's response is analyzed using the steady-state probability density function. We systematically examine how variations in ratchet potential, fluid viscosity, and noise intensity affect the microrobot's average velocity and mean first passage time. Moreover, we explore how geometric design impacts propulsion efficiency under stochastic excitation. Results reveal that GCN can significantly enhance propulsion efficiency and promote directional transport, with these effects strongly dependent on the noise correlation time. These findings not only enrich the theoretical framework of noise-induced microrobot dynamics but also provide practical guidance for optimizing design and environmental parameters.
    Quantum dephasing dynamics in the presence of asymmetric random telegraph noise
    Yanyan Feng(冯言言), Jing Ren(任静), Xiangji Cai(蔡祥吉), and Yonggang Peng(彭勇刚)
    Chin. Phys. B, 2026, 35 (4):  040204.  DOI: 10.1088/1674-1056/ae0398
    Abstract ( 48 )   HTML ( 0 )   PDF (1861KB) ( 18 )  
    Random telegraph noise (RTN) has been widely used to describe the environmental effects on open quantum systems. In most cases, it is assumed that the environmental noise described by RTN has symmetric properties. However, in some important physical processes, the asymmetric characteristics of environmental noise play a crucial role in the dynamical evolution of the quantum systems. We theoretically study the dephasing dynamics of a two-level quantum system induced by RTN with asymmetric properties. Within the framework of the stochastic Liouville equation, we derive the exact expression of the decoherence function quantifying the coherence evolution of the quantum system. It is shown that, in contrast to the case of the symmetric RTN, the asymmetric RTN can induce a frequency shift and may lead to non-Markovian behavior in the decoherence dynamics of the quantum system. Furthermore, by adjusting the average transition rate, the transition rate difference, and the transition amplitude difference of the environmental noise, the decoherence dynamics of the quantum system can be effectively modulated.
    New binary quantum stabilizer codes from classical quasi-cyclic codes of index two
    Zhen-Hui Zhang(张镇辉), Zhuo Li(李卓), and Li-Juan Xing(邢莉娟)
    Chin. Phys. B, 2026, 35 (4):  040303.  DOI: 10.1088/1674-1056/ae067b
    Abstract ( 53 )   HTML ( 0 )   PDF (518KB) ( 5 )  
    We study the algebraic structures of a generalized class of quasi-cyclic codes of index two, and prove that any quasi-cyclic code of index two can be transformed into our proposed quasi-cyclic codes. We determine the generator forms of the proposed quasi-cyclic codes and their Hermitian dual codes. We establish the necessary and sufficient conditions for Hermitian self-orthogonality and dual-containing property to construct quantum stabilizer codes via the Hermitian construction method. As an application, 10 record-breaking quantum stabilizer codes are constructed.
    Quantum designated verifier signature scheme based on Lagrange interpolation
    Xu-Feng Li(李旭峰), Dong-Huan Jiang(姜东焕), Yu-Guang Yang(杨宇光), and Guang-Bao Xu(徐光宝)
    Chin. Phys. B, 2026, 35 (4):  040304.  DOI: 10.1088/1674-1056/ae0679
    Abstract ( 59 )   HTML ( 0 )   PDF (657KB) ( 11 )  
    Quantum designated verifier signature (QDVS) schemes can be applied in many scenarios, such as e-voting and electronic bidding. In this paper, we propose a novel QDVS scheme based on Lagrange interpolation. By avoiding the preparation of entangled states and the operation of comparing quantum states, our scheme effectively reduces the complexity of the signature scheme. In the process of identity authentication our scheme assigns a unique identity identifier to the signer Alice and the verifier Bob to ensure non-repudiation of the signature. Security analysis shows that the scheme can effectively resist common threats such as forgery attacks and interception attacks. In addition, the qubit efficiency of our scheme reaches $100%$. Compared with existing QDVS schemes, the proposed scheme shows significant advantages in terms of resource consumption, computational complexity and practical application feasibility.
    Schemes of IPsec integrated with quantum key distribution
    Chun-Hui Zhang(张春辉), Wen-Xuan Zhang(张文轩), Xing-Yu Zhou(周星宇), Yuan Cao(曹原), Jun Wang(汪军), Jian Li(李剑), and Qin Wang(王琴)
    Chin. Phys. B, 2026, 35 (4):  040305.  DOI: 10.1088/1674-1056/ae3301
    Abstract ( 36 )   HTML ( 0 )   PDF (1920KB) ( 18 )  
    With the rapid advancement of quantum computing, traditional security protocols based on classical encryption algorithms are increasingly vulnerable to potential quantum attacks. The current IPsec protocol, which relies on classical cryptographic methods, is insufficient to withstand such threats, thereby compromising the security of long-term data transmission. To address this issue, we propose integrating quantum key distribution (QKD) into the internet protocol security (IPsec) protocol, thereby enhancing its resilience against quantum computing attacks. Here, two schemes that merge QKD-generated keys with classical cryptographic keys are designed to enhance both security and stability. Furthermore, we conduct a comprehensive evaluation of the performance of various QKD protocols implemented with the scheme, along with an assessment of its overall efficacy across a topological network configuration. This approach not only ensures secure data transmission in the era of quantum computing but also highlights the potential application value of integrating QKD with IPsec, providing valuable insights for the design and implementation of future quantum-secure communication systems.
    Analysis of urban atmospheric influence on free-space quantum key distribution
    Hai-Long Zhang(张海龙), Xing-Ran Chen(陈星燃), and Tan Li(李坦)
    Chin. Phys. B, 2026, 35 (4):  040306.  DOI: 10.1088/1674-1056/ae0bfc
    Abstract ( 54 )   HTML ( 0 )   PDF (741KB) ( 16 )  
    Quantum key distribution (QKD) has been widely deployed in practical applications after decades of development. However, the QKD system is easily affected by the external environment, especially free-space QKD. In this text, we examine two scenarios of free-space QKD in urban environments: satellite to ground and intercity. For satellite to ground QKD, the effects of stray light are analyzed. For intercity link, we discuss the influence of sea salt particles in coastal cities, and insoluble and soot particles in inland cities. Our findings indicate that using a telescope with a smaller field of view (FOV) and larger aperture diameters in satellite-to-ground QKD can effectively reduce errors induced by stray light. However, the diameter cannot be increased infinitely, when exceeding 0.8 m, the number of stray photons entering receiver rises rapidly and the quantum bits error rate (QBER) shows no significant reduction. For intercity QKD, the strength of extinction varies with relative humidity and aerosol particle radius, consequently altering channel transmittance. We investigate the impact of sea salt, insoluble particles, and soot on the key rate, finding that under the number density $N=10^6$ m$^{-3}$, sea salt exhibits the strongest impacts on key rate, especially when radius exceed 2.5 μm. The impacts of insoluble particles are weaker and soot is the weakest, which can be ignored until $N$ reaches $10^9$ m$^{-3}$. For larger particle density, we can get higher key rate and further transmission distances in a soot-dominated environment. Our work could provide a valuable reference for the practical implementation of QKD in urban atmospheres.
    Asymmetric model of the dynamic quantum Cournot duopoly game with asymmetric information and heterogeneous players
    Huaxin Chen(陈华鑫) and Wensheng Jia(贾文生)
    Chin. Phys. B, 2026, 35 (4):  040307.  DOI: 10.1088/1674-1056/ae00af
    Abstract ( 43 )   HTML ( 0 )   PDF (1050KB) ( 18 )  
    Building on the existing symmetric quantization model of the dynamic Cournot duopoly game (CDG) with asymmetric information, we extend it to an asymmetric quantization model and study the stability of the quantum Bayesian Nash equilibrium (QBNE) under heterogeneous expectations. We analyze the influence of various parameters on the stability of QBNE, with a particular focus on the impact of the parameter $\alpha$ on system stability. The results show that when $\alpha < 1$, under the same parameters, the quantum strategy of the asymmetric quantization model is more favorable for stabilizing the market. However, when $\alpha>1$, the quantum strategy of the symmetric quantization model is more conducive to stabilizing the market.
    Generation of cross-cross resonance gates with two fluxonium qubits
    Xinpeng Chen(陈鑫鹏) and Zeliang Xiang(项泽亮)
    Chin. Phys. B, 2026, 35 (4):  040308.  DOI: 10.1088/1674-1056/ae13ea
    Abstract ( 33 )   HTML ( 0 )   PDF (3828KB) ( 6 )  
    The cross-cross resonance (CCR) gate is an extension of the cross-resonance (CR) gate that has been theoretically implemented with transmon qubits. However, the weak anharmonicity of transmon qubits leads to decoherence and leakage errors, which reduce the fidelity of the gate operation. In this work, we propose employing fluxonium qubits to implement the CCR gate. With similar drive amplitudes, our scheme can achieve the required stronger $ZX$ and $XZ$ interactions compared to a transmon qubit system, resulting in shorter gate times. By combining the CCR gate with specific single-qubit gates, a $\sqrt{\text{iSWAP}}$ gate is realized, thereby enabling the construction of the iSWAP and SWAP gates. Moreover, through parameter optimization, these gates built on fluxonium qubits exhibit a significant reduction in operation time while simultaneously achieving higher fidelity. Our results provide valuable insights into achieving fast, low-error-rate swapping operations in superconducting circuits.
    Hierarchical QAOA circuit design framework for distributed quantum computing
    Ting-Yu Luo(骆挺宇) and Yu-Xin Deng(邓玉欣)
    Chin. Phys. B, 2026, 35 (4):  040309.  DOI: 10.1088/1674-1056/ae00ae
    Abstract ( 32 )   HTML ( 0 )   PDF (14340KB) ( 10 )  
    The quantum approximate optimization algorithm (QAOA) is a promising approach for solving combinatorial optimization problems on real quantum devices. As QAOA scales to tackle larger problem instances, the limited qubit capacity of single-chip systems becomes a critical bottleneck. To overcome this limitation, distributed quantum computing (DQC) provides a scalable solution. However, when QAOA circuits are executed in such systems, their performance is significantly hindered by the high cost of remote communication. Motivated by this challenge, we propose $HiQ$-$DF$, a QAOA circuit design framework tailored for DQC systems. By employing a hierarchical optimization strategy, $HiQ$-$DF$ enables comprehensive multi-objective optimization during circuit construction. Experimental results on QAOA circuits solving MaxCut instances show that our framework significantly outperforms baseline methods, achieving an average reduction of $26.12%$ in EPR pair usage (up to $36.85%$), $26.44%$ in circuit latency (up to $35.27%$), and $39.63%$ in circuit depth (up to $49.3%$).
    Entanglement enhancement in a modulated optomechanical system via squeezed vacuum field
    Huan-Huan Cheng(程欢欢), Chen-Rui Yang(杨晨锐), Gao-Feng Jiao(焦高锋), Cheng-Hua Bai(白成华), and Shao-Xiong Wu(武少雄)
    Chin. Phys. B, 2026, 35 (4):  040311.  DOI: 10.1088/1674-1056/ae2d37
    Abstract ( 39 )   HTML ( 0 )   PDF (1283KB) ( 37 )  
    We present a double-cavity optomechanical system with a mechanical oscillator, which is jointly driven by an amplitude-modulated laser field and a weak squeezed vacuum field, aiming to explore quantum entanglement effects under the unresolved-sideband regime. Within our proposed scheme, it is possible not only to surpass the limit of maximum steady-state entanglement ln2 for bipartite entanglement, achieving strong entanglement, but also to significantly enhance tripartite entanglement and improve the system's robustness against thermal noise. Meanwhile, the introduction of the squeezed vacuum field plays a crucial role in entanglement control, enabling not only a several-fold enhancement of entanglement but also continuous and precise manipulation of its strength within specific ranges. The suggested method demonstrates exceptional flexibility and adaptability under a wide range of operating conditions, offering a new pathway for theoretical and experimental investigations of strong bipartite entanglement and tripartite entanglement.
    Low-loss, high-coherence airbridge interconnects fabricated by single-step lithography
    Ji-Bang Fu(付济邦), Bo Ren(任波), Jian-Dong Ouyang(欧阳剑东), Cong Li(李璁), Ke-Cheng-Qi Zhu(朱可承琪), Yong-Gang Che(车永刚), Xiang Fu(付祥), Shi-Chuan Xue(薛诗川), Zhao-Hua Yang(杨钊华), Ming-Tang Deng(邓明堂), and Jun-Jie Wu(吴俊杰)
    Chin. Phys. B, 2026, 35 (4):  040312.  DOI: 10.1088/1674-1056/ae50e2
    Abstract ( 23 )   HTML ( 0 )   PDF (2188KB) ( 4 )  
    Airbridges are essential for creating high-performance, low-parasitic interconnects in integrated circuits and quantum devices. Conventional multi-step fabrication methods hinder miniaturization and introduce process-related defects. We report a simplified process that enables the fabrication of nanoscale airbridges with just one step of electron-beam lithography. By optimizing a multilayer resist stack with a triple-exposure-dose scheme and a thermal reflow step, we achieve burr-free, suspended metallic bridges with sub-micron features that exhibit robust mechanical stability. Fabricated within a gradiometric SQUID design for superconducting transmon qubits, these airbridges introduce no measurable additional loss in the relaxation time $T_1$, while enabling a 2.5-fold enhancement of the dephasing time $T_2^*$. This efficient method offers a practical route toward integrating high-performance three-dimensional interconnects in advanced quantum and nano-electronic devices.
    Impact of altruistic preference on the dynamic decision and coordination of joint emission reduction in low-carbon supply chain
    Jinchai Lin(林金钗), Chunyan Zheng(郑春艳), Ruguo Fan(范如国), Yuanyuan Wang(王圆缘), Yingqing Zhang(张应青), and Han Song(宋寒)
    Chin. Phys. B, 2026, 35 (4):  040501.  DOI: 10.1088/1674-1056/ae0015
    Abstract ( 41 )   HTML ( 0 )   PDF (18019KB) ( 12 )  
    Under the carbon trading mechanism, this study establishes a decision-making model for a low-carbon supply chain comprising a single manufacturer and a retailer. It analyzes the impact of the retailer's altruistic preferences on decision variables, profits, supply chain coordination, and the complexity of the dynamic decision-making model. The study indicates that the continuous increase in the adjustment parameters of decision variables can destabilize the supply chain system, with the adjustment parameter for wholesale price having a greater impact than the adjustment parameter for carbon emission reduction level. An increase in altruistic preferences reduces the stability region of the supply chain system, yet its influence on supply chain profits varies depending on the system's state. When the system is stable, altruistic preferences have a positive impact on overall profits; when the system is unstable, profits first increase and then decrease. Compared to decentralized decision-making, centralized decision-making yields higher profits. Based on this, we innovatively design a side-payment self-enforcing contract mechanism to effectively coordinate the supply chain and promote more efficient cooperation. After implementing this contract, the increase in retailers' altruistic preferences can expand the stability region of the supply chain system, and the impact of the carbon emission reduction level adjustment parameter on system stability is greater than that of the wholesale price adjustment parameter, which is different from the situation before the contract was implemented.
    Quantum thermoelectric diodes and transistors with squeezed reservoir engineering
    Ziming Wang(王子明), Gaoyuan Chen(陈高远), Yongkang Liu(刘永康), Chenhui Yu(俞晨晖), Yue Wu(吴越), Zi Wang(王子), Hongzhao Sun(孙红照), and Jincheng Lu(陆金成)
    Chin. Phys. B, 2026, 35 (4):  040502.  DOI: 10.1088/1674-1056/ae2abb
    Abstract ( 41 )   HTML ( 0 )   PDF (1785KB) ( 19 )  
    This work investigates inelastic thermoelectric systems exhibiting tight relations among electronic charge, electronic heat, and photonic heat currents. By employing a double quantum dot setup interacting with a squeezed photon reservoir, we show that such architectures can operate as high-performance quantum thermoelectric diodes and transistors. Central to this capability is the role of quantum squeezing, which markedly enhances the rectification of both charge and heat currents. Moreover, we demonstrate that a photon-assisted inelastic transport mechanism sustains a thermal transistor effect even within the linear-response regime — a regime where conventional elastic devices typically fail to amplify heat currents. Notably, quantum squeezing further enhances the thermal gain, underscoring its utility in quantum heat control. These results not only deepen our understanding of nonequilibrium quantum thermoelectrics but also provide a viable pathway toward designing devices with tailored energy-conversion functionalities through quantum reservoir engineering.
    Structural optimization of magnetic flux concentrator based on particle swarm optimization algorithm
    Yu-Xiao Wang(王雨潇), Shi-Yu Guan(管世钰), Yi Zhang(张燚), Qi-Yuan Jiang(江奇渊), Bing-Feng Sun(孙兵锋), and Zhong-Qi Tan(谭中奇)
    Chin. Phys. B, 2026, 35 (4):  040701.  DOI: 10.1088/1674-1056/ae0b38
    Abstract ( 45 )   HTML ( 0 )   PDF (1543KB) ( 19 )  
    This study introduces a structural optimization method for magnetic flux concentrators (MFCs) utilizing the particle swarm optimization (PSO) algorithm, addressing inefficiencies and challenges in achieving optimal structures with traditional methods. By integrating the PSO algorithm with COMSOL Multiphysics simulation software, a co-simulation framework is developed to optimize the parameters of a conical MFC. Compared with traditional methods, this approach enhances optimization results by twofold, achieving a magnetic field amplification factor of up to 200 within the defined parameter range. Additionally, an evaluation criterion for concentrator optimization is proposed, offering novel insights for designing concentrators across various scenarios.
    ATOMIC AND MOLECULAR PHYSICS
    Effects of spin-destruction and spin-exchange collisions on alkali-metal relaxation and magnetometric response
    Feng Tang(汤丰), Jianjun Li(李建军), and Nan Zhao(赵楠)
    Chin. Phys. B, 2026, 35 (4):  043401.  DOI: 10.1088/1674-1056/ae37f7
    Abstract ( 40 )   HTML ( 0 )   PDF (954KB) ( 14 )  
    Spin-exchange (SE) and spin-destruction (SD) collisions play a central role in determining the coherence properties of alkali-metal vapors and the performance of alkali-metal magnetometers in external magnetic fields. In this work, we investigate how these collisions influence spin relaxation dynamics and magnetometric response using a generalized Bloch equation that fully accounts for the coupled evolution of spin polarizations in different hyperfine manifolds. Our results show that in the low-field regime, both SE and SD collisions contribute to the suppression of transverse spin relaxation and the slowdown of spin precession, whereas longitudinal relaxation depends weakly on the SE rate and is predominantly governed by SD interactions. Building on the established relationship between spin relaxation rates and magnetometric response, we further analyze how SE and SD collisions affect the performance of two representative magnetometer architectures: the spin-exchange relaxation-free (SERF) magnetometer and the magnetic-resonance Mx-type magnetometer. The SERF magnetometer's response is found to be primarily determined by the SD rate, with only minor dependence on the nuclear spin quantum number. In contrast, the magnetic-resonance Mx-type magnetometer's sensitivity is significantly affected by both the magnetic field strength and the SE rate. While the resonance linewidth decreases with reduced magnetic field, the associated measurement accuracy deteriorates markedly. Consequently, reliable magnetic field reconstruction is only achievable in the high-field regime, where the Larmor frequency greatly exceeds the SE rate.
    Charge transfer processes in low-energy Na+-Na collisions
    Cheng-Cheng Jiang(蒋承呈), Xiao-Xia Wang(王小霞), Kun Wang(王堃), Yi-Zhi Qu(屈一至), Jian-Guo Wang(王建国), Xia Li(李侠), Li Ma(马丽), and Robert J. Buenker
    Chin. Phys. B, 2026, 35 (4):  043402.  DOI: 10.1088/1674-1056/ae15f0
    Abstract ( 51 )   HTML ( 0 )   PDF (1024KB) ( 24 )  
    A comprehensive theoretical study of resonant and non-resonant charge transfer processes in the homonuclear Na$^+$ $+$ Na(3s) collision system is provided. The electronic structure of the quasi-molecular system is calculated using the multireference single- and double-excitation configuration interaction (MRD-CI) method under both one-electron (OEM) and thirteen-electron (TEM) models. The radial and rotational coupling matrix elements are obtained with careful inclusion of electron translation factors (ETFs). Based on these data, fully quantum-mechanical scattering calculations were performed using the fully quantum-mechanical molecular orbital close-coupling (QMOCC) method to derive state-selective and total cross sections for electron capture over a broad energy range (0.2-5600 eV/amu). The calculated resonant charge-transfer cross sections show excellent agreement with available theoretical and experimental results. Non-resonant processes, which involve electron capture into excited states of Na$^+$, are found to become increasingly important above several keV/amu. This work provides the first theoretical predictions for non-resonant state-selective cross sections in this system, offering a valuable reference for future experimental and theoretical studies in atomic collision physics.
    ELECTROMAGNETISM, OPTICS, ACOUSTICS, HEAT TRANSFER, CLASSICAL MECHANICS, AND FLUID DYNAMICS
    Dissipative soliton operation in a mode-locked laser based on thulium-doped fiber
    Wen-Yan Zhang(张文艳), Lei Zheng(郑磊), Tian Zhang(张添), Nan-Nan Liu(刘楠楠), Li-Jie Geng(耿利杰), Kun Yang(杨坤), and Li Zhan(詹黎)
    Chin. Phys. B, 2026, 35 (4):  044201.  DOI: 10.1088/1674-1056/ae063c
    Abstract ( 38 )   HTML ( 2 )   PDF (1228KB) ( 7 )  
    We report a dissipative soliton laser utilizing thulium-doped fiber as the saturable absorber. By adjusting the polarization controller and pump power, a stable fundamental dissipative pulse has been successfully achieved, featuring a center wavelength of 1565.88 nm, a 3-dB bandwidth of 1.20 nm, a repetition frequency of 36.9 MHz, and a signal-to-noise ratio of 64 dB. Combined the gradual increase of the pump power with the intracavity polarization optimization, the spectral morphology evolves into a parabolic shape, $\Pi$-shape, and M-shape. Moreover, through increasing the gain, multiple dissipative pulses include dissipative soliton pairs and triples are manifested because of the peak power clamping effect. The repetition frequencies are 73.8 MHz and 110.7 MHz, respectively, with signal-to-noise ratios both more than 60 dB, indicating that the constructed dissipative soliton laser has excellent stability. This study not only enhances the understanding of the nonlinear dynamic process of dissipative soliton generation, but also offers a novel approach for designing ultrafast lasers characterized by high stability and an all-fiber structure.
    Mode and orbital angular momentum controlling of nonlocal solitons by anisotropic diffraction
    Junying Zhu(朱俊英), Qing Wang(王清), and Jianning Wei(魏健宁)
    Chin. Phys. B, 2026, 35 (4):  044202.  DOI: 10.1088/1674-1056/ae0163
    Abstract ( 37 )   HTML ( 0 )   PDF (1965KB) ( 7 )  
    This study presents a novel approach to control the mode transform between Laguerre-Gaussian solitons and Hermite-Gaussian solitons by designing anisotropic diffraction in nonlocal medium. The anisotropic diffraction can introduce differential phase shifts and amplitude modulations to the optical field, and then leading to the transform of the soliton mode from one to another, while the accompanying orbital angular momentum exhibits a periodic variation. When the anisotropic diffraction is designed to become isotropic at the desired distance, various mode solitons with different rotation speeds and directions can be generated, which implies that the mode transform process and the change law of orbital angular momentum can be controlled. This finding establishes a versatile platform for nonlinear mode transform, offering new possibilities for applications in optical signal processing, topological photonics, optical micro-manipulation, and so on.
    Bistable Goos-Hänchen shift owing to leaky-mode excitation in a slab waveguide with Kerr nonlinear medium
    Yuan-Ping Cai(蔡园平), Li Jiang(姜丽), and Ren-Gang Wan(万仁刚)
    Chin. Phys. B, 2026, 35 (4):  044203.  DOI: 10.1088/1674-1056/ae00b3
    Abstract ( 45 )   HTML ( 0 )   PDF (858KB) ( 16 )  
    We investigate the nonlinear Goos-Hänchen shift of a light beam reflected from a prism-coupled leaky waveguide containing a Kerr medium. As the incident power varies, the system can switch between two states, total internal reflection and frustrated total reflection, owing to the inherent positive feedback arising from the intensity-dependent guiding mode resonance. The reflectance exhibits optical bistability; meanwhile, the lateral shift of the reflected beam also shows hysteresis behavior. It is found that the transition between the two stable states is related to the excitation of a leaky mode in the waveguide, which results from the modulation of the electric field in the nonlinear substrate. We also analyze the effects of system parameters on the bistable Goos-Hänchen shift. The thresholds as well as the width of the hysteresis curve are sensitive to the thicknesses of the gap layer and the guiding layer, which determine the resonance angle. The bistable lateral displacement in the slab waveguide may have potential applications in optical switching, beam steering, etc.
    Role of trajectory symmetry in solid high-order harmonic generation
    Shuang Wang(王爽), Yu Zhao(赵宇), Hui-Rong Wang(王慧荣), Yun-He Xing(邢云鹤), Xiao-Xin Huo(霍晓鑫), and Jun Zhang(张军)
    Chin. Phys. B, 2026, 35 (4):  044204.  DOI: 10.1088/1674-1056/ae04da
    Abstract ( 41 )   HTML ( 0 )   PDF (1218KB) ( 11 )  
    High-order harmonic generation (HHG) from a ZnO crystal has been investigated theoretically using a two-band model driven by a few-cycle laser pulse. We observe that harmonics in the cut-off region exhibit periodic frequency shifts with changes in the carrier envelope phase (CEP) of the laser field. When the CEP of the laser pulse is an integer multiple of $\pi$, the cut-off region is dominated by even-order harmonics rather than odd-order harmonics. To illustrate the physical mechanism behind the even-order harmonics, we track the trajectories of electrons and holes between two successive half-cycles by performing time-frequency analysis and applying the recollision model. The results show that the maximum electron displacement is symmetric between successive half-cycles for odd-order harmonics. In contrast, the half-cycle symmetry of the maximum displacement is broken in the case of even-order harmonics.
    Advancing III-phosphide red light-emitting diode performance through ternary and graded ternary electron blocking layer
    Anum, Muhammad Usman, Usman Habib, and Shazma Ali
    Chin. Phys. B, 2026, 35 (4):  044205.  DOI: 10.1088/1674-1056/ae0639
    Abstract ( 42 )   HTML ( 0 )   PDF (3632KB) ( 4 )  
    Gallium indium phosphide (GaInP)/aluminum gallium indium phosphide (AlGaInP) red-emitting active region has been numerically employed and investigated in III-V light-emitting diodes (LEDs) in this work. We have employed ternary aluminum gallium phosphide (AlGaP) electron blocking layer (EBL) and graded AlGaP EBL (or GEBL) separately in the red-emitting LED. According to the simulation results, improvements in internal quantum efficiency (IQE), radiative recombination rate ($R_{\rm rad})$, and carrier concentrations have been observed. Up to 9% decrease in efficiency droop is observed in red-emitting LEDs with ternary EBLs. Good carrier confinement has resulted in high $R_{\rm rad}$ and, thus, increased optical output. The proposed EBLs may, thus, be adopted due to their high optical output in red-emitting LEDs, particularly for high current applications.
    Temperature-compensated fiber Bragg grating pressure sensor utilizing square diaphragm-based stress transfer structure
    Qinggeng Fan(樊庆赓), Dequan Feng(冯德全), Zhen'an Jia(贾振安), and Muguang Wang(王目光)
    Chin. Phys. B, 2026, 35 (4):  044206.  DOI: 10.1088/1674-1056/ae0162
    Abstract ( 53 )   HTML ( 3 )   PDF (963KB) ( 12 )  
    A fiber Bragg grating (FBG) pressure sensor using square diaphragm, dowel bar, and constant-strength cantilever beam (CSCB) as the stress transfer structure is proposed in this paper. The measurement principle involving pressure to strain transduction is described. Comparative finite element simulations of two diaphragms show square diaphragm's superior pressure responsivity, demonstrating a central deflection approximately 30% greater than that of the circular diaphragm. The performance of this design over the range of 0 to 2 MPa is experimentally evaluated, achieving a pressure sensitivity of 273.72 pm/MPa, excellent coefficient of determination ($R^{2}$) of 0.9992, 0.688% full scale (FS) hysteresis, and 3.368% FS repeatability errors. Furthermore, the utilization of difference in central wavelength shifts between dual Bragg gratings enables effective temperature compensation, resulting in a relative error of 2%. The cost-effective sensor can be adopted for the pressure measurement of gases or liquids within pipelines.
    Supersymmetry-driven segmented tapered laser for stabilized single transverse and longitudinal mode engineering
    Yiwen Lou(楼亦文), Tian Lan(兰天), Jun Qi(齐军), Jinlong Zhao(赵金龙), Ying Li(李颖), Baiyi Qin(覃柏颐), Yuying Liu(刘豫颖), Xuesheng Liu(刘学胜), and Zhiyong Wang (王智勇)
    Chin. Phys. B, 2026, 35 (4):  044207.  DOI: 10.1088/1674-1056/ae29f9
    Abstract ( 36 )   HTML ( 0 )   PDF (1183KB) ( 20 )  
    Tapered lasers are extensively employed in high power single-mode lasing, yet still suffering from the potential formation of higher-order transverse modes in the tapered region, which severely degrades the laser beam quality. Herein, we propose a novel supersymmetric segmented tapered laser to achieve stable fundamental transverse mode operation. Our design features a three-segmented tapered waveguide along the light propagation direction, with sub-waveguides of varying widths flanking each main waveguide segment. The main waveguides measure 8 μm, 12 μm, and 16 μm in width. Specifically, the 8 μm main waveguide has a corresponding subsidiary waveguide of 2.67 μm; the 12 μm main waveguide has two subsidiary waveguides measuring 4.82 μm and 6.63 μm; and the 16 μm main waveguide has two subsidiary waveguides measuring 7.13 μm and 3.68 μm. Using the coupled-mode theory, we systematically analyzed the coupling coefficients under different inter-waveguide spacings, leading to an optimized spacing of 1.2 μm through comprehensive theoretical simulations and fabrication compatibility constraints. Furthermore, phase-shifted gratings were integrated between tapered waveguide segments to enable precise longitudinal mode selection. This synergistic design could successfully realize robust single-mode operation, offering a scalable framework for on-chip integrated high-power, high-beam-quality tapered lasers.
    Simultaneous frequency stabilization of two 1550-nm lasers at single-photon level
    Bo Yu(于波), Zhenqiang Yin(银振强), Weijie Ding(丁伟杰), Hui Yang(杨慧), and Weixin Liu(刘伟新)
    Chin. Phys. B, 2026, 35 (4):  044208.  DOI: 10.1088/1674-1056/ade072
    Abstract ( 40 )   HTML ( 1 )   PDF (3063KB) ( 22 )  
    The twin-field quantum key distribution (TF-QKD) requires that two lasers hundreds of kilometers apart must have the same frequency to achieve the high single-photon interference visibility. This means that both lasers need to be stabilized to the same frequency reference. A simple and robust system is presented for simultaneously stabilizing two 1550-nm lasers at the single-photon level. By utilizing the single-photon multi-frequency modulation technology, both the fiber laser and distributed feedback (DFB) laser are stabilized to the $\pi $-phase shifted fiber Bragg grating at the same time. The frequency fluctuations of fiber laser and DFB laser are bounded within 1.39 MHz and 1.53 MHz over 2000 s, respectively. These two frequency-stabilized 1550-nm lasers could be used for TF-QKD.
    A high-gain optical injection amplification system for coherent fiber links
    Ru Yuan(袁茹), Xiang Zhang(张翔), Qian Zhou(周茜), Qi Zang(臧琦), Bo-Lin Zhang(张林波), Yi-Ting Liu(刘依婷), Dan Wang(王丹), Jie Liu(刘杰), Yu-Can Zhang(张钰灿), Yu-Fang Lei(雷语芳), Tao Liu(刘涛), Rui-Fang Dong(董瑞芳), and Shou-Gang Zhang(张首刚)
    Chin. Phys. B, 2026, 35 (4):  044209.  DOI: 10.1088/1674-1056/ae111a
    Abstract ( 30 )   HTML ( 0 )   PDF (1539KB) ( 9 )  
    We design a high-gain optical amplification system based on optical injection locking (OIL) technology, which has an all-fiber structure and is ideally suited for fiber-based optical frequency transfer system. The paper investigates the relationship between amplification gain and frequency detuning under different injection linewidths, showing that smaller injection linewidths result in higher gains for the same frequency detuning. Preliminary experiments show that with a 5 Hz injection linewidth and sufficiently small frequency detuning, an amplification gain exceeding 60 dB can be achieved. In contrast to previous approaches, we introduce an out-of-loop optical path with an acousto-optic modulator to counteract the additional phase noise introduced by the asymmetric optical paths, achieving a higher-performance optical injection amplification system. After effective phase noise suppression, the noise floor of 1m coherent fiber link constructed based on the optical amplification system achieves a fractional frequency instability floor of $1.6\times 10^{-20}$ at an integration time of 10000 s. Based on this high-performance system, a long-distance coherent transmission experiment over a 200 km spooled fiber link was demonstrated, which showed a fractional frequency instability of $3.4\times 10^{-15}$ at 1 s, scaling down to $3.4\times 10^{-20}$ at 10000 s in terms of modified Allan deviation (Mod-ADEV). This work presents a high-gain optical amplification method for transferring ultra-stable optical frequency standards, reducing the number of repeaters and amplifiers in optical frequency transfer, and simplifying the system complexity.
    Generation of squeezed states of magnons and photons based on the Kerr effect in cavity-magnon hybrid system
    Cheng-Hua Bai(白成华) and Suying Bai(白素英)
    Chin. Phys. B, 2026, 35 (4):  044210.  DOI: 10.1088/1674-1056/ae4b2d
    Abstract ( 38 )   HTML ( 0 )   PDF (3312KB) ( 20 )  
    Based on the magnon Kerr effect, we show how to generate quantum squeezed states of magnons and photons in the cavity-magnon hybrid system. We find that the squeezing of magnons can be successfully induced by the magnon nonlinearity and the larger two-magnon effect strength will be beneficial to achieving the stronger squeezing of magnon. Resorting to the beam-splitter interaction between the magnons and photons, we further show that the squeezing of photons can be also effectively achieved. By properly choosing the system parameters, we demonstrate that the desired direction of the generated squeezing both for magnons and photons can be flexibly switched between orthogonal directions. Our scheme provides an alternative manipulation method to explore the quantum phenomena with nonlinear effects and also has significant potential applications in quantum precision measurement.
    Velocity scaling of granular flow in silos under different discharge modes
    Tongtong Mu(牟彤彤), Quan Chen(陈泉), Wenjing Wang(王文静), Ran Li(李然), Ge Sun(孙歌), and Hui Yang(杨晖)
    Chin. Phys. B, 2026, 35 (4):  044701.  DOI: 10.1088/1674-1056/ae12d7
    Abstract ( 32 )   HTML ( 0 )   PDF (1799KB) ( 7 )  
    Accurately measuring the velocity field of granular flow in silos and elucidating the distribution law under different discharge modes are essential for understanding the mechanisms of granular rheology and optimizing discharge system design. This work investigates the flow characteristics of black electroplated glass beads in a two-dimensional silo under free-fall discharge and conveyor-belt discharge. The particle tracking velocimetry (PTV) method is employed to measure the velocity field, and the distribution characteristics under the two modes are systematically compared and analyzed. The results show that although there are significant differences in the numerical values of granular velocity, the normalized velocity profiles remain highly consistent. On this basis, a quantitative relationship between the velocity profiles under the two discharge modes is established through the kinematic model. This reveals that the differences in velocity profiles caused by the discharge modes essentially correspond to magnitude scaling, while the overall flow characteristics remain invariant. This finding not only provides a predictive model for the velocity field under conveyor-belt discharge in silos but also contributes empirical data to advance the rheological theory of granular flow.
    PHYSICS OF GASES, PLASMAS, AND ELECTRIC DISCHARGES
    BOUT++ simulation study of turbulence transport during n = 4 resonant magnetic perturbation induced edge localized mode suppression phase in EAST
    Ziming Zhen(甄子明), Taihao Huang(黄泰豪), Yuchen Xu(徐宇晨), Hui Sheng(盛回), Tianyuan Liu(刘天元), Xueruoqi Liang(梁雪若棋), Manni Jia(贾曼妮), Xuemin Wu(吴学民), Shifeng Mao(毛世峰), Yanlong Li(李彦龙), Tianyang Xia(夏天阳), Youwen Sun(孙有文), and Minyou Ye(叶民友)
    Chin. Phys. B, 2026, 35 (4):  045201.  DOI: 10.1088/1674-1056/ae04d8
    Abstract ( 28 )   HTML ( 0 )   PDF (2240KB) ( 3 )  
    The effect of the resonant magnetic perturbation (RMP) on the turbulence transport during the edge localized mode (ELM) suppression phase is investigated by the BOUT$++$ six-field two-fluid simulations. Based on the edge plasma profiles during the ELM suppression phase in EAST experiment with $n =4$ RMP ($n$ is the toroidal mode number), the plasma response field is calculated using CLTx and introduced in the BOUT$++$ simulation. Compared with the case without RMP, the simulated flux-surface averaged radial particle flux at the position of peak pressure gradient increases to $\sim 1.5$ times for the case with RMP, which is close to the estimated particle flux according to the experimental plasma profiles. It implies that the turbulence transport could have a dominating contribution to the radial transport for maintaining the pedestal density profile during ELM suppression phase after density pump-out, especially when the stochasticity of the magnetic field is not significant in the pedestal region. The increase in the radial particle flux for the case with RMP is due to the significant increase in electric drift flux, which is partly offset by the magnetic flutter flux. The enhancement of the turbulent electric drift flux is mainly due to the enhanced density and electric potential perturbations. The change in the phase difference between them further enhances the contributions of the medium-$n$ modes and suppresses the contribution of the low-$n$ modes. Further complexity-entropy analysis indicates that the turbulence is more stochastic, which could be related to the enhanced mode-mode coupling due to RMP effect.
    Frequency chirp-induced enhancement of electron-positron pair production in polarized laser fields
    Obulkasim Olugh(吾布力卡斯木·吾鲁克)
    Chin. Phys. B, 2026, 35 (4):  045202.  DOI: 10.1088/1674-1056/ae0a3c
    Abstract ( 52 )   HTML ( 0 )   PDF (7169KB) ( 37 )  
    We investigate electron-positron pair production in frequency-chirped, polarized laser fields using the Dirac-Heisenberg-Wigner formalism. A key theoretical finding is the polarization-dependent critical chirp threshold $b_{\rm c}(\delta)$, which marks the transition between tunneling-dominated and multiphoton pair production regimes: $b_{\rm c}$ doubles as polarization evolves from linear ($\delta=0$, $b_{\rm c}(0)=0.02 {\rm m}^2$) to circular ($\delta=1$, $b_{\rm c}(1)=0.04 {\rm m}^2$). Above this threshold, chirp induces spectral compression with the momentum distribution width scaling as $\Delta q \propto b^{-1/2}$, concentrating pairs into a smaller phase-space volume and enhancing production yields by up to three orders of magnitude, following the universal scaling law $n \propto (b\tau)^{3/2}$. Notably, non-monotonic polarization dependence is observed at intermediate chirp values, where linear polarization temporarily surpasses circular in yield before convergence at large $b$. These results establish chirp as a precise control parameter for optimizing EP pair production in nonperturbative quantum electrodynamics, advancing the theoretical framework for understanding quantum vacuum dynamics and providing a foundation for structured pulse engineering in strong-field quantum electrodynamics.
    Interpretable logistic regression for predicting 1/1 kink-driven regular complete sawtooth phenomenon in EAST tokamak plasmas
    Haipeng Quan(全海鹏), Liqing Xu(徐立清), Chaowei Mai(麦晁玮), Yan Chao(晁燕), Yuhang Wang(王宇航), and EAST Team
    Chin. Phys. B, 2026, 35 (4):  045203.  DOI: 10.1088/1674-1056/ae37f5
    Abstract ( 44 )   HTML ( 0 )   PDF (1086KB) ( 3 )  
    Sawtooth phenomena are a central topic in tokamak fusion research; nevertheless, different sawtooth classes differ markedly in underlying physics, statistical abundance and diagnostic definition. This paper focuses exclusively on regular complete sawtooth — ideal, 1/1 internal-kink-driven events with full magnetic reconnection — which are the most frequent, unambiguously identifiable and theoretically best characterized (hereafter, all references to ``sawtooth'' denote this specific class). Compound crashes, partial-reconnection events and fast-ion-induced giant sawtooth are deliberately excluded because of their limited data volume and still-contested classification criteria, the inclusion of which would introduce intolerable label noise and theoretical ambiguity. To this aim, we propose a machine-learning-based temporal binary-classification framework that converts multi-diagnostic, high-resolution signals into precise labels distinguishing ``oscillation'' from ``quiet'' windows for this specific category, thereby supplying critical timing information for active control. A large-scale database covering 124 discharges and hundreds of millions of samples was constructed, and three representative algorithms — logistic regression, decision tree and random forest — were trained and compared. Among them, logistic regression achieved the best and most robust performance, reaching 95% accuracy on an independent test set and significantly outperforming the other models. Furthermore, shapley additive explanations (SHAP) was innovatively employed to quantify the contribution magnitude and direction of key physical features to the onset of regular 1/1 sawtooth, substantially enhancing model interpretability and physical fidelity. The study provides an efficient and robust predictor for the active intervals of ordinary 1/1 sawtooth; the uncovered correlations between physical drivers and sawtooth behavior lay a solid foundation for deepening the understanding of regular sawtooth evolution and for optimizing control strategies, thereby holding significant promise for improving the operational stability of fusion plasmas.
    CONDENSED MATTER: STRUCTURAL, MECHANICAL, AND THERMAL PROPERTIES
    Entropic force of a fluctuating semiflexible polymer exerted on a nanoparticle
    Shi-Qiang Li(李世强), Yu-Shan Zheng(郑玉山), Xiao-Jing Wan(万晓静), and Kai Li(李凯)
    Chin. Phys. B, 2026, 35 (4):  046101.  DOI: 10.1088/1674-1056/ae2d31
    Abstract ( 32 )   HTML ( 0 )   PDF (1112KB) ( 8 )  
    This study theoretically investigates the force exerted on a nanoparticle (NP) by a clamped semiflexible chain in solution. The force exerted by the semiflexible chain on the NP is related to the chain's conformational entropy, known as the entropic force. Under the weakly bending approximation, we derive an analytical formula for the entropic force using perturbation theory. This force can be divided into two components: parallel ($f_{\rho }$) and perpendicular ($f_{z} $, lifting the NP) to the initial vector at the clamped end. These two components are correlated with the local slope of the NP's cross-section, with the component $f_{z} $ additionally linked to the local curvature. We compare the magnitude of force $f_{z} $ with the Euler buckling threshold $f_{\rm c} $. The study reveals that as the chain becomes more compressed, $f_{z} $ initially peaks at a value exceeding the mechanical limit and subsequently decreases to a steady-state value lower than $f_{\rm c} $. This behavior significantly differs from the entropic force derived under flat wall confinement. In three dimensions, $f_{z} $ always stays below the Euler buckling threshold and in two dimensions it is larger than $f_{\rm c} $ for most of the parameter space.
    Dynamic mechanical response of polystyrene at high strain rates under uniaxial strain ramp loading
    Xuping Zhang(张旭平), Fuli Tan(谭福利), Binqiang Luo(罗斌强), Guiji Wang(王桂吉), Jianheng Zhao(赵剑衡), and Chengwei Sun(孙承纬)
    Chin. Phys. B, 2026, 35 (4):  046201.  DOI: 10.1088/1674-1056/ae0637
    Abstract ( 42 )   HTML ( 0 )   PDF (1000KB) ( 5 )  
    Determination of the yield strength of polymers under dynamic loading has proven to be extremely difficult. Until now, few strength data have been obtained for polymers at strain rates above 10$^{5}$ s$^{-1}$. Based on the electromagnetically driven quasi-isentropic loading technique, the yield strength of polystyrene under high pressure and high strain rate is measured experimentally using a pressure comparison method. In the experiment, a polystyrene window method is used to measure the in-situ particle velocity directly, which reduces the experimental error and obtains reliable high-pressure Lagrangian sound velocity and a quasi-isentropic compression line. The yield stress of polystyrene under quasi-isentropic compression is measured continuously at pressure up to 4 GPa and a strain rate of 10$^{6}$ s$^{-1}$. Combined with strength data under quasi-static and intermediate strain rate loading, the strain rate effect of the yield of polystyrene is analyzed. It is found that the yield strength of polystyrene shows strain rate effects, but the `ùp-turn'' phenomenon is not observed. Additionally, the yield stress of polystyrene from 10$^{-3}$ s$^{-1}$ to 10$^{6}$ s$^{-1}$ strain rate can be fitted using the Eyring model, which provides a reference for the study of the physical properties of polymer materials under high strain rate loading.
    BCS pairing state in an asymmetric binary Bose gas
    Zesheng Shen(沈泽盛) and Lan Yin(尹澜)
    Chin. Phys. B, 2026, 35 (4):  046701.  DOI: 10.1088/1674-1056/ae0160
    Abstract ( 36 )   HTML ( 0 )   PDF (586KB) ( 5 )  
    The BCS pairing state has been predicted to be stable in a symmetric binary Bose gas with the intraspecies repulsion and interspecies attraction. In experiments, the binary Bose gases are generally asymmetric. In this work, we study the pairing state in a dilute asymmetric binary Bose system with the intraspecies repulsions and interspecies attraction and show that it is stable in a certain region of the phase space. We find that there always exists a best density ratio for given total density and coupling constants, where the temperature width of the BCS region is maximized. At the best density ratio, both components have the almost same ideal BEC temperature. We also found that there are two critical density ratios where the BCS phase vanishes. The stability of the BCS state against pairing fluctuations is shown by expanding the Helmholtz free energy of BCS state near the normal state and proving that it is a local minimum point.
    Be-B thin film growth: A deep potential and molecular dynamics study
    Xilei Wang(王熙蕾) and Hong Zhang(张红)
    Chin. Phys. B, 2026, 35 (4):  046801.  DOI: 10.1088/1674-1056/ae0309
    Abstract ( 49 )   HTML ( 0 )   PDF (2537KB) ( 9 )  
    Beryllium-boron (BeB) thin films are important target materials in inertial confinement fusion (ICF) experiments. In this work, molecular dynamics simulations combined with deep learning methods were employed to investigate the deposition behavior and structural evolution of BeB films. The effects of incident angle, incident energy and substrate temperature on the film growth process were systematically studied. A deep learning approach was used to develop interaction potentials based on Be and B elements and the known BeB crystalline phases, enabling an accurate description of cluster growth during deposition. The simulation results indicate that appropriate control of the incident parameters and substrate temperature can significantly improve the surface quality of the films. These findings may offer preliminary insights into the optimization of experimental conditions for the fabrication of high-quality BeB thin films.
    Optical modulation and fabrication of two-dimensional VO2(M)-AgSiO2 shell/core composite photonic crystal structures
    Jiong Wu(吴炯), Zhangyang Zhou(周章洋), Li Zhu(朱黎), Liushun Wang(王六顺), Ming Du(杜明), Hongjun Wu(吴红君), Qingwei Wang(王情伟), Dahua Ren(任达华), Teng Zhang(张腾), Yongdan Zhu(朱永丹), and Jinqiao Yi(易金桥)
    Chin. Phys. B, 2026, 35 (4):  046802.  DOI: 10.1088/1674-1056/ae1569
    Abstract ( 32 )   HTML ( 0 )   PDF (1447KB) ( 2 )  
    The high phase transition temperature, low solar modulation efficiency, and unfavorable brown-yellow color have limited the practical application of VO$_{2}$-based smart windows. By embedding a hexagonal close-packed monolayer array of SiO$_{2}$ into the monoclinic VO$_{2}$(M)-Ag composite film using an electron-beam evaporation system, a two-dimensional VO$_{2}$(M)-AgSiO$_{2}$ shell/core photonic crystal composite material was formed. Due to the increased contact area between Ag and VO$_{2}$(M) within the composite material, the concentration of free electrons in VO$_{2}$(M) increases, causing the phase transition to occur at a lower temperature of 52.2 $^\circ$C. With the embedded SiO$_{2}$ array, the solar modulation efficiency is enhanced to 25.4%, and the visible light modulation efficiency increases by nearly 7 times. Additionally, the grating effect of the photonic crystal significantly diffracts light around the 600 nm wavelength, reducing the strong absorption of VO$_{2}$(M) in the shortwave range and diluting its inherent brown-yellow color. By embedding the SiO$_{2}$ array into the VO$_2$(M)-Ag composite film, this approach simultaneously achieves a reduction in phase transition temperature, enhancement of solar modulation efficiency, and color adjustment of the film, providing a reference for the practical application of VO$_{2}$ in smart windows.
    CONDENSED MATTER: ELECTRONIC STRUCTURE, ELECTRICAL, MAGNETIC, AND OPTICAL PROPERTIES
    ARPES study of Y2O2Bi single crystals: Intrinsic electronic structure of Bi square nets
    Yun-Bo Wu(吴云波), Tong-Rui Li(李彤瑞), Zhi-Peng Cao(曹志鹏), Zhan-Feng Liu(刘站锋), Yu-Liang Li(李昱良), Zheng-Ming Shang(尚政明), Xin Zheng(郑新), Hui Tian(田慧), Zong-Yi Wang(王宗一), Yu-Tong Bi(毕雨桐), Hao-Yang Zhou(周浩洋), Yi Liu(刘毅), Guo-Bin Zhang(张国斌), Zheng-Tai Liu(刘正太), Da-Wei Shen(沈大伟), Li-Dong Zhang(张李东), Sheng-Tao Cui(崔胜涛), and Zhe Sun(孙喆)
    Chin. Phys. B, 2026, 35 (4):  047101.  DOI: 10.1088/1674-1056/ae04d9
    Abstract ( 64 )   HTML ( 1 )   PDF (15720KB) ( 32 )  
    The Bi square net, a structural motif in a diverse array of layered compounds, has emerged as a desirable system for investigating the interplay between strong spin-orbit coupling, reduced dimensionality, and magnetism. We present a comprehensive study of Y$_{2}$O$_{2}$Bi single crystals using high-resolution angle-resolved photoemission spectroscopy (ARPES) and density functional theory (DFT) calculations to elucidate the intrinsic electronic structure of the Bi square net. Our findings reveal a pronounced two-dimensional character of the electronic states, with the Bi square net dominating the low-energy electronic structure. While Y$_{2}$O$_{2}$Bi itself exhibits no topological features, DFT calculations on related Bi square net compounds reveal that the surrounding crystal environment can induce non-trivial topology, as exemplified by the topological insulator LiBi. This comparative study establishes a crucial benchmark for understanding Bi square net physics and informs the design of future Bi square net-based quantum materials.
    Fine electronic structure and 5f-electron localized-itinerant transition in uranium films
    Yun Zhang(张云), Jian Wu(吴健), Ying Jiang(蒋颖), Qiuyun Chen(陈秋云), Wei Feng(冯卫), Xiangfei Yang(杨向飞), Qin Liu(刘琴), Xiegang Zhu(朱燮刚), Dengpeng Yuan(袁登鹏), Qiang Zhang(张强), Xinchun Lai(赖新春), Qunqing Hao(郝群庆), and Shiyong Tan(谭世勇)
    Chin. Phys. B, 2026, 35 (4):  047102.  DOI: 10.1088/1674-1056/ae101a
    Abstract ( 24 )   HTML ( 0 )   PDF (4230KB) ( 8 )  
    Uranium, the heaviest natural element, exhibits rich and complex physical behavior, including three types of charge density wave transitions and superconductivity at low temperatures. It is widely believed that these phenomena are closely linked to the properties of 5f electrons, which are highly susceptible to external perturbations. To elucidate the detailed electronic structure, particularly the 5f electron signatures, we fabricated high-quality single-crystal uranium films on W (110) substrates using molecular beam epitaxy and investigated their fine electronic properties and temperature-dependent evolution by angle-resolved photoemission spectroscopy (ARPES). Our experiments reveal three electron pockets around the $\varGamma $ point and direct hybridization between 5f electrons and conduction electrons at regions distant from $\varGamma $. The Kondo temperature extracted from ARPES and electrical resistance measurements is approximately 131 K, indicating that the 5f electrons transition from a high-temperature localized state to a low-temperature itinerant state in the thin film system. Additionally, we observe another flat band with an energy scale of 148 meV. The detailed electronic structure and direct evidence of the localized-to-itinerant transition of 5f electrons provided in this study advance the understanding of strong electronic correlations in uranium-based materials.
    PT phase transition and non-Hermitian skin effect in vacancy-induced subbands of the Haldane model with gain and loss
    Cui-Xian Guo(郭翠仙), Xiao-Ming Zhao(赵小明), and Su-Peng Kou(寇谡鹏)
    Chin. Phys. B, 2026, 35 (4):  047103.  DOI: 10.1088/1674-1056/ae44f4
    Abstract ( 40 )   HTML ( 0 )   PDF (5735KB) ( 40 )  
    Defects can profoundly alter the properties of quantum materials, inducing emergent phenomena beyond the scope of their parent counterparts. Here, we construct effective models to investigate the properties of vacancy-induced subbands in the Haldane model with gain and loss, revealing that their behaviors are critically dependent on the spatial configuration of the vacancy array. Specifically, a sequence of parity-time ($\mathcal{PT}$) phase transitions occurs for the one-dimensional vacancy array across different sublattices, whereas the non-Hermitian skin effect (NHSE) — with its nontrivial spectral winding — manifests in a chain confined to a single sublattice. Notably, the NHSE arises in this subband even though the parent system lacks it. Our results demonstrate that vacancy defect engineering serves as a powerful approach to generate subsystems whose properties are decoupled from the parent Hamiltonian.
    Strain-engineered anisotropic conductance enhancement in corrugated monolayer MoS2
    Yimai Jiang(蒋伊麦), Jianing Tan(谭家宁), Meng Ge(葛蒙), and Gang Ouyang(欧阳钢)
    Chin. Phys. B, 2026, 35 (4):  047701.  DOI: 10.1088/1674-1056/ae0d59
    Abstract ( 59 )   HTML ( 0 )   PDF (1429KB) ( 13 )  
    To enhance the transport properties of monolayer MoS$_{2}$ (ML-MoS$_{2}$)-based electronic devices, we systematically investigate the curvature-dependent electronic structure and carrier mobility in a corrugated ML-MoS$_{2}$ using density functional theory and the non-equilibrium Green's function method. We reveal that localized strain induces a polarized electric field, which modifies the band structure and delocalizes the electronic states, thereby significantly improving charge transport efficiency. The conductance along the zigzag direction exhibits 10$^{7}$-fold enhancement with increasing curvature. At a maximum local strain of 10%, the electronic mobility reaches 613.68 cm$^{2}\cdot$V$^{-1}\cdot$s$^{-1}$, representing a 9.1-fold improvement over planar ML-MoS$_{2}$. Our results agree well with available evidence and provide crucial insights for designing high-performance devices via strain engineering.
    Topological edge state coupled mode-induced tetra-band tunable spin-dependent perfect absorption
    Ji-Peng Wu(伍计鹏), Xi-Rui Zeng(曾玺瑞), Yu-Lei Liao(廖煜磊), Rong-Zhou Zeng(曾荣周), Hong Wen(文鸿), Xiao-Yu Dai(戴小玉), and Yuan-Jiang Xiang(项元江)
    Chin. Phys. B, 2026, 35 (4):  047801.  DOI: 10.1088/1674-1056/ae00b2
    Abstract ( 38 )   HTML ( 0 )   PDF (839KB) ( 15 )  
    When discussing the spin-dependent optical perfect absorption (PA) phenomenon in a micro-nano structure, the designed structure should contain symmetry-breaking compositions that generally require an applied magnetic field. Fortunately, the multi-Weyl semimetal (mWSM) with natural time-reversal symmetry breaking property provides feasible schemes to investigate the spin-dependent PA without an external magnetic field. Recently, most existing schemes are primarily restricted to single- or dual-band spin-dependent PA in mWSM-based systems. Here, we present a heterostructure comprising five one-dimensional photonic crystals (PCs) and four identical mWSM layers to discuss the tetra-band spin-dependent PA. Results show that, due to the topological edge state-coupled mode and the nonzero off-diagonal term of mWSM, the PA of left-hand circularly polarized and right-hand circularly polarized light is attained at four distinct frequencies, respectively. More importantly, the tetra-band spin-dependent PA phenomenon can be regulated effectively via the tilt degree of Weyl cones, Fermi energy, topological charge, Weyl nodes separation, mWSM thickness, and the periods of the middle three PCs. This study provides an efficient scheme to achieve tetra-band adjustable spin-dependent PA without an external magnetic field, which may have potential applications in spin-dependent photonic devices.
    INTERDISCIPLINARY PHYSICS AND RELATED AREAS OF SCIENCE AND TECHNOLOGY
    High-mobility, low-resistive boron-doped diamond material realized by oxygen assistance
    Gengyou Zhao(赵耕右), Kun Tang(汤琨), Kai Yang(杨凯), Bo Feng(冯博), Liangxue Gu(顾梁雪), Xiang Xiong(熊翔), Tao Tao(陶涛), Bin Liu(刘斌), Jiandong Ye(叶建东), Rong Zhang(张荣), Youdou Zheng(郑有炓), and Shulin Gu(顾书林)
    Chin. Phys. B, 2026, 35 (4):  048101.  DOI: 10.1088/1674-1056/ae0636
    Abstract ( 63 )   HTML ( 0 )   PDF (1604KB) ( 22 )  
    The effect of trace oxygen on the light-doping behavior of boron in diamond films during microwave plasma chemical vapor deposition was experimentally investigated. Boron-doped diamond films were grown continuously under different oxygen concentrations [oxygen/carbon (O/C) = 0%-5%]. When oxygen was added during the diamond doping process, improvements in crystal quality and surface morphology were observed, and residual nitrogen was significantly suppressed. However, further increasing the oxygen concentration could lead to surface defects. We evaluated and discussed the carrier mobility, carrier concentration and boron content of the samples. At room temperature, under the condition of O/C $=$ 4%, the maximum hole mobility reached 1400 cm$^{2}\cdot $V$^{-1}\cdot $s$^{-1}$, and a higher carrier concentration of 1.5 $\times10^{15}$ cm$^{-3}$ was obtained, which is an excellent result compared with all previous studies. In addition, the characteristic peaks that appeared in both low-temperature photoluminescence spectra and absorption spectra were analyzed, and it was found that the characteristic peak at 4.7 eV (270 nm) may correspond to a boron-nitrogen complex, supplementing the effect of boron-doped diamond on defect formation. These findings demonstrate the potential of controlling the boron concentration in diamond films using oxygen concentration in a plasma environment and open avenues for future applications in advanced optoelectronic devices.
    Host-dependent Eu2+/Eu3+ co-luminescence and excitation-tunable multicolor emission of Eu-doped AeF2 (Ae = Ca, Sr, Ba, Ca0.5Sr0.5, Ca0.33Sr0.33Ba0.33) single crystals
    Xiaobo Huang(黄孝波), Ying Quan(全颖), Wudi Wang(王无敌), Qingguo Wang(王庆国), Xiaodong Xu(徐晓东), Huili Tang(唐慧丽), and Jun Xu(徐军)
    Chin. Phys. B, 2026, 35 (4):  048102.  DOI: 10.1088/1674-1056/ae0562
    Abstract ( 49 )   HTML ( 0 )   PDF (1609KB) ( 13 )  
    This study successfully grew a series of mixed-valence Eu$^{2+}$/Eu$^{3+}$ co-activated alkaline-earth fluoride single crystals (CaF$_{2}$, SrF$_{2}$, BaF$_{2}$, Ca$_{0.5}$Sr$_{0.5}$F$_{2}$, and the medium-entropy Ca$_{0.33}$Sr$_{0.33}$Ba$_{0.33}$F$_{2}$) using the vertical Bridgman method. During the high-temperature growth process, Eu$^{3+}$ undergoes spontaneous reduction to form Eu$^{2+}$. X-ray photoelectron spectroscopy (XPS) confirmed the coexistence of both valence states, and their relative ratio exhibits a strong host-dependence; for instance, Eu$^{2+}$ is predominant in SrF$_{2}$, while Eu$^{3+}$ is dominant in BaF$_{2}$. Under ultraviolet excitation, all crystals simultaneously exhibit the broadband emission of Eu$^{2+}$ (400-550 nm) and the narrow-line emission of Eu$^{3+}$ (585-710 nm). The Eu$^{2+}$ emission peak systematically red-shifts from 440 nm in CaF$_{2}$ to 485 nm in BaF$_{2}$ as the host cation radius increases. Efficient resonant energy transfer from Eu$^{2+}$ to Eu$^{3+}$ is evidenced by spectral overlap and opposing fluorescence lifetime trends. By controlling the host's composition, the emission chromaticity of the crystals can be continuously tuned from the deep-blue of CaF$_{2}$ (0.1720, 0.0382) to the warm-white of BaF$_{2}$ (0.4135, 0.3516) under 299 nm excitation. Notably, the medium-entropy Eu: Ca$_{0.33}$Sr$_{0.33}$Ba$_{0.33}$F$_{2}$ crystal can achieve a shift in emission tone from neutral white to warm white simply by changing the excitation wavelength. These findings provide a new design strategy for developing single-activator, wide-gamut, tunable luminescent materials for next-generation solid-state lighting and display technologies.
    High-pressure synthesis and sequential ferrimagnetic ordering and spin glass transition of an Fe/Ru disordered quadruple perovskite CeCu3Fe2Ru2O12
    Sumei Li(李素梅), Gaochao Zhao(赵高超), Meng Wang(王萌), Lihua Yin(尹利华), Peng Tong(童鹏), Xuebin Zhu(朱雪斌), Jie Yang(杨杰), and Yuping Sun(孙玉平)
    Chin. Phys. B, 2026, 35 (4):  048103.  DOI: 10.1088/1674-1056/ae0399
    Abstract ( 48 )   HTML ( 0 )   PDF (1696KB) ( 10 )  
    We successfully prepared an $A$-site-ordered quadruple perovskite oxide CeCu$_{3}$Fe$_{2}$Ru$_{2}$O$_{12}$ by using a high-pressure method (10 GPa, 1400 K). The compound crystallizes in the Im$\bar{3}$ space group, with $A$-site ordering of Ce and Cu ions in a ratio of 1:3, but $B$-site disordered distribution of Fe and Ru ions. Bond-value-sum calculations and x-ray photoelectron spectroscopy measurement manifest that the charge distribution is Ce$^{3.5+}$Cu$^{2+}_{3}$Fe$^{3+}_{2}$Ru$^{4.25+}_{2}$O$_{12}$. A ferrimagnetic phase transition occurs at $T_{\rm C} = 73.6 $ K followed by a spin glass behavior at 50.3 K consistent with the conventional dynamical scaling power law. Electrical transport measurement shows that the intrinsic electrical behavior is semiconducting and the resistivity obey the adiabatic small-polaron model. The specific heat follows a $T^2$ law instead of traditional phonon-dominated $T^{3}$ behavior implying a finite energy gap in the excitation spectrum.
    Effects of different growth conditions on epitaxial growth of (001) Ga2O3 films by MOCVD
    Ke Qin(秦柯), Yun-Long He(何云龙), Zhan Wang(王湛), Jing Sun(孙静), Ying Zhou(周颖), Yang Liu(刘洋), Jin-Wei Liu(刘金炜), Zhuo-Wen Huang(黄卓文), Ji-Wei Jiang(江继伟), Zhu Jin(金竹), Hui Zhang(张辉), Xiao-Li Lu(陆小力), Xue-Feng Zheng(郑雪峰), Xiao-Hua Ma(马晓华), and Yue Hao(郝跃)
    Chin. Phys. B, 2026, 35 (4):  048201.  DOI: 10.1088/1674-1056/ae04cd
    Abstract ( 43 )   HTML ( 0 )   PDF (1366KB) ( 56 )  
    The $\beta $-Ga$_{2}$O$_{3}$ epitaxial thin films were grown on (001) $\beta $-Ga$_{2}$O$_{3}$ substrates using metalorganic chemical vapor deposition (MOCVD), and the effects of key growth parameters — including temperature, pressure, and oxygen-to-gallium ratio (O$_{2}$/Ga) — on the crystalline quality, surface morphology, and electrical properties of the films were systematically investigated. The results show that while variations in these parameters did not alter the (001) preferential orientation of the $\beta $-Ga$_{2}$O$_{3}$ films, they significantly influenced other properties. By optimizing the growth parameters, films with a surface roughness as low as 1.5 nm and the full width at half maximum (FWHM) of 33.7 arcsec were achieved. X-ray photoelectron spectroscopy (XPS) analysis showed that the oxygen vacancy concentration was significantly reduced under the optimized O$_{2}$/Ga ratio of 820. Schottky barrier diodes (SBDs) were fabricated from three different $\beta $-Ga$_{2}$O$_{3}$ films grown under distinct O$_{2}$/Ga ratios. The SBD fabricated under the optimized O$_{2}$/Ga ratio of 820, exhibits a low turn-on voltage of 0.5 V, low on-resistance of 0.022 m$\Omega \cdot$cm$^{2}$, and a high forward current density of 678.16 A/cm$^{2}$ at 3 V. These results provide essential material and theoretical foundations for the development of $\beta $-Ga$_{2}$O$_{3}$ based high-power electronic devices.
    Effect of a deep virtual guard ring on performance of a miniaturized high-photosensitivity silicon single-photon avalanche diode
    Enle Zhou(周恩乐), Dajing Bian(卞大井), and Yue Xu(徐跃)
    Chin. Phys. B, 2026, 35 (4):  048501.  DOI: 10.1088/1674-1056/ae0164
    Abstract ( 54 )   HTML ( 0 )   PDF (1405KB) ( 8 )  
    We developed a miniaturized high-sensitivity single-photon avalanche diode (SPAD) device based on 180 nm bipolar complementary metal-oxide-semiconductor double-diffused metal-oxide-semiconductor technology and investigated the effect of a deep virtual guard ring (VGR) on device performance. To mitigate the degradation in photon detection efficiency (PDE) and dark count rate (DCR) induced by device scaling, we innovatively implemented a P-type implant/high-voltage n-well SPAD structure. This configuration deepens and widens the multiplication region to broaden the spectral response, while the specialized adoption of the P-type epitaxial VGR technology suppresses premature edge breakdown and reduces dark noise. Furthermore, a unique layout was devised to maximize the photosensitive area and increase the fill factor of the device. Through technology computer-aided design simulations, the effect of the guard ring width on the electric field distribution inside the device was systematically studied. Experimental results demonstrate that the fill factor of the device reaches 31.5% when the pitch is scaled down to 8.5 μm. The novel device achieves a high peak PDE of 24% at 555 nm and an ultralow DCR of 0.41 cps$\cdot μ$m$^{-2}$ at 5 V excess bias voltage.
    Cryogenic low-noise amplifiers of low power dissipation for space terahertz astronomy
    Jie Liu(刘洁), Dong Liu(刘冬), Kun Zhang(张坤), Ming Yao(姚明), Jun-Da Jin(金骏达), Qi-Jun Yao(姚骑均), Jing Li(李婧), and Sheng-Cai Shi(史生才)
    Chin. Phys. B, 2026, 35 (4):  048502.  DOI: 10.1088/1674-1056/ae0019
    Abstract ( 41 )   HTML ( 0 )   PDF (740KB) ( 17 )  
    Cryogenic low-noise amplifiers (CLNAs) are of particular interest for applications such as radio astronomy and quantum information science. Here we report on the design and characterization of low-power-dissipation wideband CLNAs for a terahertz spectrometer onboard China's Space Station Telescope (CSST). A simple small-signal and noise model is established based on the DC and RF characteristics of SiGe heterojunction-bipolar-transistors (HBTs) adopted for this development. The developed SiGe HBT CLNAs at 4 K demonstrate an average noise temperature of 4.5 K and a gain of exceeding 35 dB in the frequency range of 0.1 GHz-1.1 GHz. With the power dissipation as low as 3 mW, the average noise temperature is still as low as 6.8 K. The combination of low power dissipation and low noise temperature is rather beneficial to applications in space instruments and complex systems.
    Photo-response enhancement in longitudinal porous GaN-based UV
    Jing Li(李京), Shaolong Shi(师少龙), Yutong Chen(陈昱潼), Zhanhong Ma(马占红), Xia Li(李霞), Yang Liu(刘洋), and Tiangui Hu(胡天贵)
    Chin. Phys. B, 2026, 35 (4):  048503.  DOI: 10.1088/1674-1056/ae0018
    Abstract ( 36 )   HTML ( 0 )   PDF (1049KB) ( 5 )  
    Gallium nitride (GaN), as a typical wide bandgap semiconductor, is an excellent candidate to fabricate the high-performance UV photodetector, due to its excellent intrinsic nature. However, the weak light absorption of conventional bulk GaN limits the further improvement of photo-response of GaN-based photodetectors. Here, we have prepared a longitudinal porous GaN using a simple electrochemical etching process, and then fabricated a porous GaN-based photodetector (Porous PD). The photo-response in the Porous PD has been improved significantly compared to the control planar GaN-based photodetector (Planar PD). At $-1.2 $ V, the photo current ($I_{\rm photo}$) in the Porous PD is $\sim 75$ times higher than that of Planar PD, and the maximum responsivity of the Porous PD can reach $3.11\times10^{4}$ A/W, which is attributed to the large internal gain ($>1.06\times10^{5}$). The maximum specific detectivity of the Porous PD has also been calculated to be $5.22\times10^{13}$ Jones, two orders of magnitude higher than that of the Planar PD. Our work paves the way to develop high-performance GaN-based PDs for detecting weak optical signals.
    Enhancement of rectification by quantum interference in co-oligomer molecular diodes
    Han-Shuang Zhang(张含双), Han Ma(马晗), Hui-Qing Zhang(张惠晴), Xiao-Bei Zhang(张晓蓓), Jun-Feng Ren(任俊峰), Guang-Ping Zhang(张广平), and Gui-Chao Hu(胡贵超)
    Chin. Phys. B, 2026, 35 (4):  048504.  DOI: 10.1088/1674-1056/ae0b3d
    Abstract ( 32 )   HTML ( 0 )   PDF (752KB) ( 1 )  
    We investigate the rectification property theoretically in co-oligomer diodes integrating a destructive quantum interference (DQI) feature. The results demonstrate that compared to a similar co-oligomer diode without DQI, the rectification ratio is enhanced by one order of magnitude in the presence of the DQI feature. Mechanism analysis indicates that the high rectification ratio benefits from the strong suppression of transmission in the off-state of the diode by the DQI dip. The strong rectification is attributed to the distinctly asymmetric shift of the DQI dip under bias voltages, which comes out as a result of both bias-induced shift of eigenvalues and redistribution of wave functions of all orbitals. The effect of energy level alignment between the two segments of the co-oligomer on the rectification is also discussed. This work provides a valid way to enhance the performance of intrinsic co-oligomer diodes, a promising approach for molecular circuit design.
    Inhibitory effect of Relatlimab on LAG3-FGL1 interaction investigated by molecular dynamics simulation
    Qing Xie(谢晴), Xue-Feng Liu(刘雪峰), Yu-Qing Wang(王雨晴), and Chen-Xiang Wang(王辰祥)
    Chin. Phys. B, 2026, 35 (4):  048701.  DOI: 10.1088/1674-1056/ae0308
    Abstract ( 33 )   HTML ( 0 )   PDF (1863KB) ( 6 )  
    As immunotherapy becomes increasingly integrated into cancer treatment, LAG3 (lymphocyte activation gene 3) has been recognized as an immune checkpoint that plays an important role in tumor immune evasion. FGL1 (fibrinogen-like protein 1) has been identified as a ligand of LAG3 that mediates immunosuppressive effects through their interaction. While experimental evidence suggests that Relatlimab can block this interaction, the underlying molecular mechanism remains poorly understood. To investigate this, we performed molecular dynamics simulations to analyze the LAG3/FGL1 complex and its interaction with Relatlimab. Our results demonstrate that Relatlimab binding destabilizes the LAG3/FGL1 complex by inducing conformational changes, thereby weakening the overall interaction. Further analysis of key residues reveals that Relatlimab disrupts the LAG3/FGL1 binding, particularly affecting the ARG residues of LAG3 and the GLU and ASP residues of FGL1. These findings provide new insights into the mechanism by which Relatlimab inhibits immune evasion, offering potential for modulating the structure and stability of the LAG3/FGL1 complex. Additionally, we investigated the effect of Favezelimab on the LAG3/FGL1 interaction and observed an effect similar to that of Relatlimab. This study advances our understanding of the roles of Relatlimab and Favezelimab in regulating immune responses and provides valuable theoretical support for the development of cancer therapies targeting the LAG3 signaling pathway.
    Identification of key functional sites for ATPase activity in the OBC protein complex using artificial intelligence approaches
    Lei Hua(花蕾), Yuhang He(贺宇航), Peng Zhao(赵澎), Jiayao Liu(刘嘉瑶), and Kun Shang(尚坤)
    Chin. Phys. B, 2026, 35 (4):  048702.  DOI: 10.1088/1674-1056/ae0891
    Abstract ( 46 )   HTML ( 0 )   PDF (5369KB) ( 3 )  
    Microorganisms evolve diverse immune defense systems to protect against phage and viral invasion. The bacteriophage exclusion (BREX) system represents a common bacterial genomic defense mechanism, and preliminary studies indicate that the interaction between BrxC and OrbA proteins (forming the OBC complex) can alter the aggregation pattern of defense system components and modulate immune function. Notably, the adenosine triphosphatase (ATPase) domain of this system plays a pivotal role. This study employs optimized network screening (ONS), an artificial intelligence-based integrated analytical approach combining machine learning and deep learning, to identify critical enzymatic active sites in target macromolecular complexes and to provide crucial insights for potential drug target discovery. Through comprehensive ONS analysis of multiple sites, we identified lysine (K73) as a key residue governing the ATPase activity of this protein complex. Following plasmid construction and expression, we successfully purified the OrbA-BrxC (OBC) complex, along with newly engineered OBCK (K73A mutant of the OBC complex) and the negative control OBCE (E255A mutant of the OBC complex). ATPase activity assays demonstrated complete loss of enzymatic function in the OBCK mutant, confirming K73 as the essential catalytic site for BREX system ATPase activity. Comparative analysis revealed minimal differences between OBC and OBCE complexes, but significant divergence from OBCK. The single K73 mutation alone was sufficient to abolish critical enzymatic activity and disrupt BREX system function, achieving efficient complex engineering without requiring multiple mutations. Building on this artificial intelligence methodology, we further analyzed potential functional sites and antigenic epitopes in OBC and OBCK complexes, thereby establishing a research foundation for developing anti-drug-resistant pathogen therapeutics.
    The 1-MeV electron irradiation effect and damage mechanism analysis of GaInP/GaAs heterojunction solar cells
    Kelun Zhao(赵克伦), Jiaming Zhou(周佳明), Yanqing Zhang(张延清), Qiang Kang(康强), Yang Liu(刘洋), Xinyi Li(李欣益), Chaoming Liu(刘超铭), Tianqi Wang(王天琦), and Mingxue Huo(霍明学)
    Chin. Phys. B, 2026, 35 (4):  048801.  DOI: 10.1088/1674-1056/ae0638
    Abstract ( 37 )   HTML ( 0 )   PDF (965KB) ( 6 )  
    This study explore the radiation damage effects on GaInP/GaAs heterojunction (HJT) solar cells when subjected to 1-MeV electron irradiation. Light $I$-$V$ measurements show that $V_{\rm oc}$, $J_{\rm sc}$, and $P_{\rm max}$ of the cells exhibit a logarithmic degradation pattern with increasing electron irradiation fluence. Under identical irradiation conditions, the degradation of $J_{\rm sc}$ is substantially less pronounced than that of $V_{\rm oc}$. Under the same conditions, the heterojunction cell shows better radiation resistance, mainly as its $V_{\rm oc}$ degradation rate with fluence increase is lower than the homojunction cell. Spectral response analysis reveals that 1-MeV electron radiation mainly causes longwave zone damage in the GaInP/GaAs HJT cells, which intensifies as irradiation fluence accumulates. Dark characteristic analysis indicates that both recombination and diffusion currents in the cells rise with increasing irradiation fluence, with recombination current dominating the dark current. Deep level transient spectroscopy tests show that 1-MeV electron irradiation introduces four defects (H$_{1}$-H$_{4}$) in the cells, located at H$_{1}$ ($E_{\rm v}+0.717$ eV)/${\rm H}_{1}^{\ast }$ ($E_{\rm v}+0.744$ eV), H$_{2}$ ($E_{\rm v}+0.369 $ eV), H$_{3}$ ($E_{\rm v}+0.282 $ eV), and H$_{4}$ ($E_{\rm v}+0.032 $ eV). Among these, the concentration H$_{1}$ of defects increases most drastically with fluence and directly correlates with the rapid degradation of cell performance under high fluence, making it the crucial factor responsible for the swift degradation of GaInP/GaAs HJT cells under high fluence 1-MeV electron irradiation.
ISSN 1674-1056   CN 11-5639/O4
, Vol. 35, No. 4

Previous issues

1992 - present