Loading...

Table of contents

    17 July 2025, Volume 34 Issue 8 Previous issue    Next issue
    SPECIAL TOPIC — A celebration of the 90th Anniversary of the Birth of Bolin Hao
    Duality symmetry, two entropy functions, and an eigenvalue problem in generalized Gibbs' theory
    Jeffrey Commons, Ying-Jen Yang(杨颖任), and Hong Qian(钱纮)
    Chin. Phys. B, 2025, 34 (8):  080201.  DOI: 10.1088/1674-1056/adbed7
    Abstract ( 294 )   HTML ( 2 )   PDF (503KB) ( 194 )  
    We generalize the convex duality symmetry in Gibbs' statistical ensemble formulation, between the Gibbs entropy $\varphi_{V,N}(E)$ as a function of mean internal energy $E$ and Massieu's free entropy $\varPsi_{V,N}(\beta)$ as a function of inverse temperature $\beta$. The duality in terms of Legendre-Fenchel transform tells us that Gibbs' thermodynamic entropy is to the law of large numbers (LLN) for arithmetic sample mean values what Shannon's information entropy is to the LLN for empirical counting frequencies in independent and identically distributed data. Proceeding with the same mathematical logic, we identify the energy of the state $\{u_i\}$ as the conjugate variable to the counting of statistical occurrence $\{m_i\}$ and find a Hamilton-Jacobi equation for the Shannon entropy analogous to an equation of state in thermodynamics. An eigenvalue problem that is reminiscent of certain features in quantum mechanics arises in the entropy theory of statistical counting frequencies of Markov correlated data.
    Enhancing phase separation of double-chiral particles by regulating inter-chiral frustration
    Yi-Chen Lu(陆羿辰), Wan-Rou Cai(蔡婉柔), Meng-Chu Wang(王梦楚), Ya-Li Liu(刘雅莉), Tong Zhu(朱童), Yi-Lin Zhou(周怡琳), Tian-Chen Yu(余天晨), Yun-Xuan Ji(纪蕴轩), Ming-Qian Ao(敖明茜), Chen-Lu Li(李晨璐), Cheng-Xu Yan(颜乘旭), and Zhi-Gang Zheng(郑志刚)
    Chin. Phys. B, 2025, 34 (8):  080506.  DOI: 10.1088/1674-1056/ade06f
    Abstract ( 238 )   HTML ( 2 )   PDF (2189KB) ( 148 )  
    Chiral active matter exhibits a variety of collective behaviors, including phase separation, which is governed by the rule of "like chiralities attract, while opposite chiralities repel". In this work, we investigate the chiral demixing strategy of double-chiral partial mixture with inter-chiral frustration. We find that the inter-chiral frustration can significantly enhance the chiral demixing of active particles with different chiralities, both during the transient and in the steady state, not only accelerating the progress, but also improving the degree of phase separation. This phenomenon is reminiscent of the phase separation of binary mixtures in condensed matter physics, where the inter-chiral frustration can play a crucial role in the formation of the phase-separated states. We construct the phase diagram of the system and discuss the critical frustration for the enhancement of chiral demixing. Our work presents the first systematic investigation of inter-chiral frustration in self-propelled chiral active matter, filling a critical gap in the field.
    Spiral trajectories of asymmetric molecules
    Nan Sheng(盛楠), Shiqi Sheng(盛世奇), Yu-Song Tu(涂育松), Rong-Zheng Wan(万荣正), Zuo-Wei Wang(王作维), Zhanchun Tu(涂展春), and Hai-Ping Fang(方海平)
    Chin. Phys. B, 2025, 34 (8):  080507.  DOI: 10.1088/1674-1056/adcea0
    Abstract ( 249 )   HTML ( 2 )   PDF (1333KB) ( 182 )  
    Spiral patterns widely exist in both macroscopic and microscopic systems such as hearts, bacteria, and active matters but have never been reported at molecular length scale. The emergence of spiral patterns has considerable impacts on the trajectories of the objects and thus usually relates to various physical, chemical, biological and physiological processes. In this paper, we show that, down to the length scale of only several Angstroms, asymmetric molecules exhibit spiral patterns in their trajectories within finite time based on the under-damped Langevin equation and demonstrated by molecular dynamics simulation. The key to this observation lies in the asymmetric molecular architecture that leads to a translation-rotation coupling. This finding enriches the knowledge of spiral patterns to the molecular length scale, provides a new insight into the understanding of various processes at the molecular level, and may evoke new ideas on the understanding of the vortices in turbulence.
    Exploring clogging of interacting particles with hydrodynamic memory in a corrugated channel: A promising sensor of non-Brownian diffusion
    Yuhui Luo(罗玉辉), Chunhua Zeng(曾春华), and Tao Huang(黄韬)
    Chin. Phys. B, 2025, 34 (8):  080508.  DOI: 10.1088/1674-1056/adecfc
    Abstract ( 183 )   HTML ( 0 )   PDF (1489KB) ( 153 )  
    Particle transport is a fundamental aspect of various systems, from artificial to biological. A common assumption is that particle motion follows Markovian (memoryless) processes in the absence of interaction between particles. However, hydrodynamic memory and the interaction between particles are ubiquitous, leaving many fundamental questions unanswered regarding transport of interacting particles involving hydrodynamic drag in corrugated channels, as described by the fractional Langevin equation. This study examines the hydrodynamic transport of interacting non-Brownian particles moving within a corrugated channel. We propose a method that relies on factors such as temperature, the driving force to alternate between no transport and finite net transport. Of importance is to note that the absence of transport results from the clogging, while the transport consists of collective motion and independent motion. The transport systems investigated in this work suggest the potential for sensor functionality within the system. Our findings may prove valuable for exploring the transport with hydrodynamic memory in various fields, including biology, physics, and chemistry.
    Analysis of spatiotemporal dynamic patterns of gene expression during mouse embryonic development based on Moran's I and spatial transcriptomics
    Qi-Chao Li(李啟超), Hai Lin(林海), Peng Wang(王鹏), Qiutong Dong(董秋彤), Kun Wang(王坤), Jian-Wei Shuai(帅建伟), and Fang-Fu Ye(叶方富)
    Chin. Phys. B, 2025, 34 (8):  088703.  DOI: 10.1088/1674-1056/ade427
    Abstract ( 241 )   HTML ( 0 )   PDF (3085KB) ( 499 )  
    Spatial transcriptomics technology provides novel insights into the spatial organization of gene expression during embryonic development. In this study, we propose a method that integrates analysis across both temporal and spatial dimensions to investigate spatial transcriptomics data from mouse embryos at different developmental stages. We quantified the spatial expression pattern of each gene at various stages by calculating its Moran's I. Furthermore, by employing time-series clustering to identify dynamic co-expression modules, we identified several developmentally stage-specific regulatory gene modules. A key finding was the presence of distinct, stage-specific gene network modules across different developmental periods: Early modules focused on morphogenesis, mid-stage on organ development, and late-stage on neural and tissue maturation. Functional enrichment analysis further confirmed the core biological functions of each module. The dynamic, spatially-resolved gene expression model constructed in this study not only provides new biological insights into the programmed spatiotemporal reorganization of gene regulatory networks during embryonic development but also presents an effective approach for analyzing complex spatiotemporal omics data. This work provides a new perspective for understanding developmental biology, regenerative medicine, and related fields.
    CVTree for 16S rRNA: Constructing taxonomy-compatible all-species living tree effectively and efficiently
    Yi-Fei Lu(卢逸飞), Xiao-Yang Zhi(职晓阳), and Guang-Hong Zuo(左光宏)
    Chin. Phys. B, 2025, 34 (8):  088704.  DOI: 10.1088/1674-1056/add508
    Abstract ( 186 )   HTML ( 1 )   PDF (683KB) ( 176 )  
    The composition vector tree (CVTree) method, developed under the leadership of Professor Hao Bailin, is an alignment-free algorithm for constructing phylogenetic trees. Although initially designed for studying prokaryotic evolution based on whole-genome, it has demonstrated broad applicability across diverse biological systems and gene sequences. In this study, we employed two methods, InterList and Hao, of CVTree to investigate the phylogeny and taxonomy of prokaryote based on the 16S rRNA sequences from All-Species Living Tree Project. We have established a comprehensive phylogenetic tree that incorporates the majority of species documented in human scientific knowledge and compared it with the taxonomy of prokaryotes. And the performance of CVTree was also compared with multiple sequence alignment-based approaches. Our results revealed that CVTree methods achieve computational speeds 1-3 orders of magnitude faster than conventional alignment methods while maintaining high consistency with established taxonomic relationships, even outperforming some multiple sequence alignment methods. These findings confirm CVTree's effectiveness and efficiency not only for whole-genome evolutionary studies but also for phylogenetic and taxonomic investigations based on genes.
    Role of active stress and actin alignment in cell division: A hydrodynamic perspective
    Kunhao Dong(董堃昊), Menglong Feng(冯梦龙), and Rui Ma(马锐)
    Chin. Phys. B, 2025, 34 (8):  088705.  DOI: 10.1088/1674-1056/adcd44
    Abstract ( 185 )   HTML ( 1 )   PDF (918KB) ( 70 )  
    Cell division is a fundamental biological process in which a parent cell divides into two daughter cells. The cell cortex, a thin layer primarily composed of actin filaments and myosin motors beneath the plasma membrane, plays a critical role in ensuring proper cell division. In this study, we apply a hydrodynamic model to describe the actin cortex as an active nematic surface, incorporating orientational order arising from actin filament alignment and anisotropic active stress produced by myosin motors. By analyzing the linearized dynamics, we investigate how shape, flow, and stress regulators evolve over time when the surface deviates slightly from a sphere. Our findings reveal that the active alignment of actin filaments, often overlooked in previous studies, is crucial for successful division. Furthermore, we demonstrate that a cortical chiral flow naturally emerges as a consequence of this active alignment. Overall, our results provide a mechanistic explanation for key phenomena observed during cell division, offering new insights into the role of active stress and filament alignment in cortical dynamics.
    Shape transformation of vesicles induced by orientational arrangement of membrane proteins
    Menglong Feng(冯梦龙), Kunhao Dong(董堃昊), Yuansheng Cao(曹远胜), and Rui Ma(马锐)
    Chin. Phys. B, 2025, 34 (8):  088706.  DOI: 10.1088/1674-1056/adc36d
    Abstract ( 169 )   HTML ( 0 )   PDF (2702KB) ( 97 )  
    Vesicles of lipid bilayer can adopt a variety of shapes due to different coating proteins. The ability of proteins to reshape membrane is typically characterized by inducing spontaneous curvature of the membrane at the coated area. BAR family proteins are known to have a crescent shape and can induce membrane curvature along their concaved body axis but not in the perpendicular direction. We model this type of proteins as a rod-shaped molecule with an orientation and induce normal curvature along its orientation in the tangential plane of the membrane surface. We show how a ring of these proteins reshapes an axisymmetric vesicle when the protein curvature or orientation is varied. A discontinuous shape transformation from a protrusion shape without a neck to a one with a neck is found. Increasing the rigidity of the protein ring is able to smooth out the transition. Furthermore, we show that varying the protein orientation is able to induce an hourglass-shaped neck, which is significantly narrower than the reciprocal of the protein curvature. Our results offer a new angle to rationalize the helical structure formed by many proteins that carry out membrane fission functions.
    Reconfiguration of B-DNA structure induced by ethanol
    Yue Huang(黄悦), Yipeng Chen(陈以鹏), Jing Li(李静), Rongri Tan(谈荣日), and Huanhuan Qiu(邱环环)
    Chin. Phys. B, 2025, 34 (8):  088707.  DOI: 10.1088/1674-1056/adbed9
    Abstract ( 165 )   HTML ( 0 )   PDF (764KB) ( 350 )  
    Solution environment can influence the flexible structure of DNA under specific conditions, thereby affecting the stability of nucleic acids and ultimately impacting critical biological processes such as replication and transcription. Intracellular solution environment is variable, and previous studies have demonstrated that it can enhance the stability of DNA structures under certain circumstances. In this work, molecular dynamics simulations were conducted on B-DNA (1ZEW, with a nucleotide sequence of CCTCTAGAGG) derived from human breast cancer cells (MDA-MB231) to explore the effects of ethanol solution on DNA configuration transformation at different temperatures and concentrations. The calculated results indicate that ethanol facilitates the transition of 1ZEW from B-DNA to A-DNA at lower temperature. Furthermore, it is observed that temperature affects DNA structure to some extent, thereby modifying the trend in DNA configuration transformation. At low temperatures, the ethanol can promote the transformation of B-DNA into A-DNA at higher concentrations. While at higher temperatures, the DNA could be in a state of thermal melting. These conclusions presented here can give valuable insights into how ethanol affects B-DNA configuration transformations.
    Force-dependent unfolding dynamics of spectrin R16: Resolving experimental contradiction and unveiling model consistency
    Wanxing Zhang(张万星), Zhuwei Zhang(张珠伟), Zhenyong Xue(薛振勇), Yuhang Zhang(张宇航), Shimin Le(乐世敏), and Hu Chen(陈虎)
    Chin. Phys. B, 2025, 34 (8):  088708.  DOI: 10.1088/1674-1056/adbdbf
    Abstract ( 191 )   HTML ( 0 )   PDF (2069KB) ( 208 )  
    Spectrin domains, characterized by a distinctive triple helix structure, are crucial in physiological processes, particularly in maintaining membrane shape and crosslinking cytoskeletons. Previous research on the 16th domain of $\alpha$-spectrin repeats (R16) has yielded conflicting results: bulk experiments showed an unfolding rate approximately two orders of magnitude faster than the zero-force result extrapolated from single-molecule force spectroscopy experiments using atomic force microscopy (AFM). To address this discrepancy, we investigated the folding and unfolding rates of R16 across a broader range of forces using magnetic tweezers (MT). Our findings reveal that AFM results at higher forces cannot be directly extrapolated to the low-force regime due to a nonlinear relationship between force and the logarithm of the unfolding rate. We demonstrated that two-dimensional model, structural-elastic model, and two-pathway model can all effectively explain the experimental data when they capture the core physics of the short unfolding distance at low forces. Our study provides a more comprehensive understanding of the unfolding dynamics of the spectrin domain, resolves previous contradictory experimental results, and highlights the common basis of different theoretical models.
    RLsite: Integrating 3D-CNN and BiLSTM for RNA-ligand binding site prediction
    Yan Zou(邹艳), Lang Yang(杨浪), Yanhui Liu(刘艳辉), and Yuyu Feng(冯玉宇)
    Chin. Phys. B, 2025, 34 (8):  088709.  DOI: 10.1088/1674-1056/adea9b
    Abstract ( 289 )   HTML ( 7 )   PDF (1516KB) ( 280 )  
    Accurate identification of RNA-ligand binding sites is essential for elucidating RNA function and advancing structure-based drug discovery. Here, we present RLsite, a novel deep learning framework that integrates energy-, structure- and sequence-based features to predict nucleotide-level binding sites with high accuracy. RLsite leverages energy-based three-dimensional representations, obtained from atomic probe interactions using a pre-trained ITScore-NL potential, and models their contextual features through a 3D convolutional neural network (3D-CNN) augmented with self-attention. In parallel, structure-based features, including network properties, Laplacian norm, and solvent-accessible surface area, together with sequence-based evolutionary constraint scores, are mapped along the RNA sequence and used as sequential descriptors. These descriptors are modeled using a bidirectional long short-term memory (BiLSTM) network enhanced with multi-head self-attention. By effectively fusing these complementary modalities, RLsite achieves robust and precise binding site prediction. Extensive evaluations across four diverse RNA-ligand benchmark datasets demonstrate that RLsite consistently outperforms state-of-the-art methods in terms of precision, recall, Matthews correlation coefficient (MCC), area under the curve (AUC), and overall robustness. Notably, on a particularly challenging test set composed of RNA structures containing junctions, RLsite surpasses the second-best method by 7.3% in precision, 3.4% in recall, 7.5% in MCC, and 10.8% in AUC, highlighting its potential as a powerful tool for RNA-targeted molecular design.
    A comprehensive evaluation of RNA secondary structure prediction methods
    Xinlong Chen(陈昕龙), En Lou(娄恩), Zouchenyu Zhou(周邹辰毓), Ya-Lan Tan(谭雅岚), and Zhi-Jie Tan(谭志杰)
    Chin. Phys. B, 2025, 34 (8):  088710.  DOI: 10.1088/1674-1056/adea9c
    Abstract ( 238 )   HTML ( 3 )   PDF (1838KB) ( 503 )  
    RNAs have important biological functions and the functions of RNAs are generally coupled to their structures, especially their secondary structures. In this work, we have made a comprehensive evaluation of the performances of existing top RNA secondary structure prediction methods, including five deep-learning (DL) based methods and five minimum free energy (MFE) based methods. First, we made a brief overview of these RNA secondary structure prediction methods. Afterwards, we built two rigorous test datasets consisting of RNAs with non-redundant sequences and comprehensively examined the performances of the RNA secondary structure prediction methods through classifying the RNAs into different length ranges and different types. Our examination shows that the DL-based methods generally perform better than the MFE-based methods for RNAs with long lengths and complex structures, while the MFE-based methods can achieve good performance for small RNAs and some specialized MFE-based methods can achieve good prediction accuracy for pseudoknots. Finally, we provided some insights and perspectives in modeling RNA secondary structures.
    TOPICAL REVIEW — Artificial intelligence and smart materials innovation: From fundamentals to applications
    High-entropy alloys in synergistic electrocatalytic conversion applications
    Hui Zhang(张辉), Zhengxiong Liu(刘争雄), Le Fang(方乐), Yin Wang(王音), Shuai Chen(陈帅), and Wei Ren(任伟)
    Chin. Phys. B, 2025, 34 (8):  086109.  DOI: 10.1088/1674-1056/ade8e6
    Abstract ( 0 )   HTML ( 0 )   PDF (1805KB) ( 827 )  
    High-entropy alloys (HEAs), with multi-principal-element composition, are gaining attention for their structural stability and mechanical properties. Extensive research has focused on using HEAs as electrocatalysts in the conversion of single-component reactions, such as hydrogen evolution reaction (HER), oxygen evolution reaction (OER), carbon dioxide reduction reaction (CO$_2$RR), etc. However, their potential in the application of synergistic conversion of pollutants (e.g., carbon dioxide (CO$_2$) and nitrogen oxides (NO$_x$)) has been largely overlooked. This review overviews HEAs' fundamental concepts and characteristics, and delves into their advantages in transition metals and optimization strategies for the synergistic conversion process. It offers a novel approach for sustainable environmental remediation and resource utilization.
    SPECIAL TOPIC — Artificial intelligence and smart materials innovation: From fundamentals to applications
    Strain modulation of second harmonic generation in new tetrahedral transition metal dichalcogenide monolayers
    Hu Chen(陈虎), Shi-Qi Li(李仕琪), Yuqing Wu(吴雨晴), Xiaozhendong Bao(鲍晓振东), Zhijie Lei(雷志杰), Hongsheng Liu(柳洪盛), Yuee Xie(谢月娥), Junfeng Gao(高峻峰), Yuanping Chen(陈元平), and Xiaohong Yan(颜晓红)
    Chin. Phys. B, 2025, 34 (8):  084206.  DOI: 10.1088/1674-1056/addaa3
    Abstract ( 0 )   HTML ( 0 )   PDF (1144KB) ( 307 )  
    Designing novel two-dimensional structures and precisely modulating their second harmonic generation (SHG) attributes are key to advancing nonlinear photonic technologies. In this work, through first-principles calculations, we propose a novel tetrahedral phase of transition metal dichalcogenides (TMDs) and validate its structural feasibility in a family of compounds, i.e., $ZX_2$ ($Z = {\rm Ti}$, Zr, Hf; $X ={\rm S}$, Se, Te). Cohesive energy and phonon dispersion calculations further demonstrate that eight of nine possible $ZX_2$ monolayers are dynamically stable. All the $ZX_2$ monolayers exhibit pronounced out-of-plane SHG with nonlinear susceptibility components reaching the order of 10$^2$ pm/V. Strain engineering imposes a profound influence on the SHG response of $ZX_2$ monolayers by reducing symmetry and modifying nonlinear susceptibility components. The redshift and significant enhancement of the prominent peak in SHG spectra are also revealed due to strain-induced charge redistribution and band gap reduction. Intriguingly, strain-driven nonlinear optical switching effects are realized in the $ZX_2$ monolayers, with a reversible switching of SHG component ordering under tensile and compressive strain. In such a case, the anisotropic SHG pattern transforms from fourfold to twofold symmetry under the strain. Our work demonstrates the efficacy of strain engineering in precisely enhancing SHG, paving the way for the integration of novel TMD structures into tunable and flexible nonlinear optical devices.
    Hyperparameter optimization and force error correction of neuroevolution potential for predicting thermal conductivity of wurtzite GaN
    Zhuo Chen(陈卓), Yuejin Yuan(袁越锦), Wenyang Ding(丁文扬), Shouhang Li(李寿航), Meng An(安盟), and Gang Zhang(张刚)
    Chin. Phys. B, 2025, 34 (8):  086110.  DOI: 10.1088/1674-1056/add905
    Abstract ( 0 )   HTML ( 0 )   PDF (2506KB) ( 92 )  
    As a representative of wide-bandgap semiconductors, wurtzite gallium nitride (GaN) has been widely utilized in high-power devices due to its high breakdown voltage and low specific on-resistance. Accurate prediction of wurtzite GaN's thermal conductivity is a prerequisite for designing effective thermal management systems for electronic applications. Machine learning-driven molecular dynamics simulation offers a promising approach to predicting the thermal conductivity of large-scale systems without requiring predefined parameters. However, these methods often underestimate the thermal conductivity of materials with inherently high thermal conductivity due to the large predicted force error compared with first-principles calculations, posing a critical challenge for their broader application. In this study, we successfully developed a neuroevolution potential for wurtzite GaN and accurately predicted its thermal conductivity, 259$\pm$6 W/(m$\cdot$K) at room temperature, achieving excellent agreement with reported experimental measurements. The hyperparameters of the neuroevolution potential (NEP) were optimized based on a systematic analysis of reproduced energy and force, structural features, and computational efficiency. Furthermore, a force error correction method was implemented, effectively reducing the error caused by the additional force noise in the Langevin thermostat by extrapolating to the zero-force error limit. This study provides valuable insights and holds significant implications for advancing efficient thermal management technologies in wide-bandgap semiconductor devices.
    Enhanced photothermal performance of dielectric silicon attached with multiple plasmonic gold nanoparticles
    Xiangyu Tong(佟翔宇), Ning Chen(陈宁), Xiaowen Chen(陈晓文), Bin Zhang(张斌), and Xiaohu Wu(吴小虎)
    Chin. Phys. B, 2025, 34 (8):  087803.  DOI: 10.1088/1674-1056/add90b
    Abstract ( 0 )   HTML ( 0 )   PDF (1143KB) ( 112 )  
    The photothermal properties of dielectric materials at the nanoscale have garnered significant attention, especially in fields such as optical heating, photothermal therapy, and solar utilization. However, although dielectric materials can concentrate and manipulate light at the nanoscale, they cannot provide sufficient photothermal efficiency in a direct absorption solar collector. Combining plasmonic metal nanoparticles with dielectric nanostructures enables the fabrication of hybrid nanomaterials with excellent photothermal performance. This study presents a novel approach involving uniformly adhering plasmonic gold nanoparticles onto dielectric silicon nanoparticles to enhance the absorption peak, leading to a substantial enhancement of photothermal conversion efficiency. The results demonstrate that the absorption peak of silicon-gold hybrid nanoparticles exceeds that of pure silicon nanoparticles, achieving a 38% increase in photothermal conversion efficiency within a 10 ppm aqueous solution under a 20 mm optical path. The coupling of localized surface plasmon resonance and quadrupole resonance effects enhances the electric field, causing a temperature rise in both the hybrid nanoparticles and the surrounding aqueous solution. Nanostructural modulation studies reveal that the photothermal efficiency of silicon-gold hybrid nanoparticles is positively correlated with gold nanoparticle size but negatively correlated with silicon nanoparticle size. Combining multiple plasmonic nanoparticles with dielectric materials can effectively enhance photothermal performance and hold great application potential in direct absorption solar collectors and solar thermal utilization.
    TOPICAL REVIEW — Structures and properties of materials under high pressure
    High-pressure studies on quasi-one-dimensional systems
    Wenhui Liu(刘雯慧), Jiajia Feng(冯嘉嘉), Wei Zhou(周苇), Sheng Li(李升), and Zhixiang Shi(施智祥)
    Chin. Phys. B, 2025, 34 (8):  088104.  DOI: 10.1088/1674-1056/ade8dd
    Abstract ( 180 )   HTML ( 2 )   PDF (3857KB) ( 153 )  
    Quasi-one-dimensional systems provide a unique platform for the exploration of novel quantum states due to their enhanced electronic correlations, strong anisotropy, and dimensional confinement. Among various external tuning methods, physical pressure has been experimentally demonstrated to be an exceptionally potent and precise method for modulating both the structural and electronic properties of quasi-one-dimensional systems. In this review, we focus on the application of pressure to construct pressure-temperature phase diagrams of quasi-one-dimensional materials and explore the intricate relationships among quantum phenomena between superconductivity and other electronic states, such as charge density wave, topological quantum states, and antiferromagnetism. By analyzing representative examples across distinct material families, we demonstrate how pressure can be used not only to induce superconductivity but also to reveal underlying quantum critical points and drive topological phase transitions. We emphasize the significant potential of pressure as a crucial tuning parameter for revealing novel quantum phenomena and driving the progress in advanced low-dimensional quantum materials.
    SPECIAL TOPIC — Structures and properties of materials under high pressure
    High pressure synthesis, crystal structure and electronic properties of Ba3Hf(Se1-xTex)5 (x = 0-1)
    Zelong Wang(王泽龙), Guodong Wang(王国东), Wenmin Li(李文敏), Runteng Chen(陈润滕), Lei Duan(段磊), Jianfa Zhao(赵建发), Zheng Deng(邓正), Jianfeng Zhang(张建丰), Tingjiang Yan(颜廷江), Jun Zhang(张俊), Xiancheng Wang(望贤成), and Changqing Jin(靳常青)
    Chin. Phys. B, 2025, 34 (8):  086101.  DOI: 10.1088/1674-1056/adcea2
    Abstract ( 216 )   HTML ( 0 )   PDF (2585KB) ( 143 )  
    Quasi one-dimensional polycrystalline samples of Ba$_{3}$Hf(Se$_{1-x}$Te$_{x}$)$_{5}$ ($x = 0$-1) are synthesized under high-temperature and high-pressure conditions. Using the powder x-ray diffraction technique and first-principles calculations, Ba$_{3}$HfSe$_{5}$ is identified as having a hexagonal structure with a space group of $P$6$_{3}$/mcm (193) and lattice constants of $a = 9.5756(1) $ Å, $c =6.3802(7) $ Å. The structure is composed of Hf(Se$_{1}$)$_{6}$ chains and Se$_{2}$ linear chains extending along the $c$-axis. As the doping content of Te increases, the lattice expands and leads to 5.8% and 7.3% increases of the $a$ and $c$ values and a 20.1% increase of the unit cell volume of Ba$_{3}$HfTe$_{5}$ compared to Ba$_{3}$HfSe$_{5}$. The detailed structural refinements show that the Hf vacancies decrease gradually as Te doping increases in the Ba$_{3}$Hf(Se$_{1-x}$Te$_{x}$)$_{5}$ ($x = 0$-1) materials, which leads to a decrease of electronic localization. In addition, the lower electronegativity of Te and the more extended orbitals with respect to Se contribute to orbital overlap between the inter chains. All these dominate the enhanced electron hopping, leading to a reduction of the bandgap from 1.95 eV to 0.23 eV for Ba$_{3}$Hf(Se$_{1-x}$Te$_{x}$)$_{5}$ ($x = 0$-1) materials as the Ba$_{3}$HfSe$_{5}$ evolves to Ba$_{3}$HfTe$_{5}$.
    Structural evolution and bandgap modification of a robust mixed-valence compound Eu9MgS2B20O41 under pressure
    Boyang Fu(符博洋), Wenfeng Zhou(周文风), Fuyang Liu(刘扶阳), Luhong Wang(王鲁红), Haozhe Liu(刘浩哲), Sheng-Ping Guo(郭胜平), and Weizhao Cai(蔡伟照)
    Chin. Phys. B, 2025, 34 (8):  086102.  DOI: 10.1088/1674-1056/add4e1
    Abstract ( 212 )   HTML ( 0 )   PDF (3136KB) ( 110 )  
    The recently discovered mixed-valence compound Eu$_{9}$MgS$_{2}$B$_{20}$O$_{41}$ is composed of triple-kagomé-layers separated by nonmagnetic Mg$^{2+}$ ions, and intervalence charge transfer has been observed in the mixed Eu$^{2+}$ and Eu$^{3+}$ ions within the kagomé layers, exhibiting similar characteristics typical of a quantum spin liquid. In this study, high-pressure in situ x-ray diffraction measurements on Eu$_{9}$MgS$_{2}$B$_{20}$O$_{41}$ were conducted within the range of 0.1 MPa to 64.4 GPa. The results revealed that the stabilization of the ambient-pressure phase, with no transition from mixed valence to single valence observed within the studied pressure range. The bulk modulus of the sample was determined to be 167.3(28) GPa and 180.8(17) GPa, for the single-crystal and powder x-ray diffraction data at room temperature, respectively. These values correspond to approximately 40% of the bulk modulus of diamond. Moreover, absorption spectroscopy measurements were carried out up to 37.9 GPa, revealing a $\sim 20$% reduction in the energy band gap, mainly due to the shortened Eu-O bond lengths. The relationship between pressure and band gap demonstrates a nearly linear trend, with a slope of $-0.013$ eV/GPa. The findings of the present study imply that the studied sample demonstrates considerable robustness under extreme pressures.
    Low-temperature photoluminescence study of optical centers in HPHT-diamonds
    Liangchao Chen(陈良超), Xinyuan Miao(苗辛原), Zhuangfei Zhang(张壮飞), Biao Wan(万彪), Yuewen Zhang(张跃文), Qianqian Wang(王倩倩), Longsuo Guo(郭龙锁), and Chao Fang(房超)
    Chin. Phys. B, 2025, 34 (8):  086103.  DOI: 10.1088/1674-1056/add8ff
    Abstract ( 196 )   HTML ( 1 )   PDF (1576KB) ( 227 )  
    The properties and creation of optical centers in diamond are essential for applications in quantum technology. Here, we study the photoluminescence (PL) spectroscopy behavior at low temperatures of diamond subjected to electron irradiation and annealing heat treatment. Through temperature variation testing, it was found that the NV$^{-}$ center intensity of diamond with a nitrogen content of 150 ppm before treatment is insensitive to the experimental temperature, but significantly increases with decreasing temperature after treatment, showing sensitivity to temperature. In addition, the H3 center also shows an increasing trend with decreasing temperature. The results of annealing diamond with a nitrogen content of 730 ppm showed that even at a low temperature of 93 K, no NV$^{-}$ centers were detected, but there were a large number of Ni-N related centers, especially NE8 centers. Our findings can promote a deeper understanding of the behavioral characteristics of HPHT-diamond optical centers in low-temperature environments.
    Heterogeneous TiC-based composite ceramics with high toughness
    Xiaoci Ma(马孝慈), Yufei Ge(葛雨非), Yutong Hou(侯语同), Keyu Shi(施柯羽), Jiaqi Zhang(张佳琪), Gaoping Yue(岳高平), Qiang Tao(陶强), and Pinwen Zhu(朱品文)
    Chin. Phys. B, 2025, 34 (8):  086104.  DOI: 10.1088/1674-1056/add5c8
    Abstract ( 262 )   HTML ( 0 )   PDF (2470KB) ( 299 )  
    Electrically conductive carbide ceramics with high hardness and fracture toughness are promising for advanced applications. However, enhancing both electrical conductivity and fracture toughness simultaneous is challenging. This study reports the synthesis of (Ti$_{0.2}$W$_{0.2}$Ta$_{0.2}$Hf$_{0.2}$Mo$_{0.2}$)C-diamond composites with varying densities using high-pressure and high-temperature (HPHT) method. The carbides are uniformly dispersed in a titanium carbide matrix, forming conductive channels that reduce resistivity to 4.6$\times10^{-7}$ $\Omega $$\cdot$m. These composite materials exhibit metallic conductivity with a superconducting transition at 8.5 K. Superconducting behavior may result from d-p orbital hybridization and electron-phonon coupling in transition metal carbides, such as TaC, Mo$_{2}$C, and MoC. Optimizing intergranular bonding improves the fracture toughness without compromising hardness. The highest indentation toughness value is $10.1 \pm 0.4 $ MPa$\cdot$m$^{1/2}$, a 130% increase compare to pure TiC. Enhanced toughness arises from transgranular and intergranular fracture modes, multiple crack bridging, and large-angle crack deflection, which dissipate fracture energy and inhibit crack propagation. This study introduces a novel microstructure engineering strategy for carbide ceramics to achieve superior mechanical and electrical properties.
    Synergistic improvements in mechanical and thermal performance of TiB2 solid-solution-based composites
    Zhuang Li(李壮), Cun You(由存), Zhihui Li(李志慧), Xuepeng Li(李雪鹏), Guiqian Sun(孙贵乾), Xinglin Wang(王星淋), Qi Jia(贾琪), Qiang Tao(陶强), and Pinwen Zhu(朱品文)
    Chin. Phys. B, 2025, 34 (8):  086105.  DOI: 10.1088/1674-1056/add00c
    Abstract ( 213 )   HTML ( 0 )   PDF (3253KB) ( 151 )  
    Continuously improving the mechanical properties of ultra-high-temperature ceramics (UHTCs) is a key requirement for their future applications. However, the mechanical properties of conventional UHTCs, HfB$_{2}$ and ZrB$_{2}$, remain unsatisfactory among transition metal light-element (TMLE) compounds. TiB$_{2}$ has superior mechanical properties compared to both HfB$_{2}$ and ZrB$_{2}$, but suffers from inherent brittleness and limited oxidation resistance. In this work, low-content solid-solution strengthening was used to fabricate dense samples of Ti$_{x}$(Hf/Zr)$_{1-x}$B$_{2}$ (THZ) under high pressure and high temperature (HPHT). Compared to pure TiB$_{2}$, Ti$_{0.94}$(Hf/Zr)$_{0.06}$B$_{2}$ exhibits a significant 38.8% increase in oxidation resistance temperature (950 $^\circ$C), while Ti$_{0.91}$(Hf/Zr)$_{0.09}$B$_{2}$ shows a notable 28% enhancement in fracture toughness (5.8 MPa$\cdot$m$^{1/2}$). The synergistic effect of a dual-atom solid-solution results in local internal stress and anomalous lattice contraction. This lattice contraction helps resist oxygen invasion, thereby elevating the oxidation resistance threshold. Additionally, the internal stress induces crack deflection within individual grains, enhancing toughness through energy dissipation. This work provides a new strategy for fabricating robust UHTCs within TMLE systems, demonstrating significant potential for future high-temperature applications.
    Pressure-induced band gap closing of lead-free halide double perovskite (CH3NH3)2PtI6
    Siyu Hou(侯思羽), Jiaxiang Wang(王家祥), Yijia Huang(黄乙甲), Ruijing Fu(付瑞净), and Lingrui Wang(王玲瑞)
    Chin. Phys. B, 2025, 34 (8):  086106.  DOI: 10.1088/1674-1056/adce9e
    Abstract ( 235 )   HTML ( 0 )   PDF (1675KB) ( 250 )  
    Lead-free halide double perovskites have recently attracted significant attention due to their exceptional stability and favorable band gaps, making them promising candidates for solar cell applications. However, the relationship between their structural characteristics and intrinsic band gap remains under-explored. This study presents a method to investigate the structure-band gap correlation in a typical halide double perovskite, MA$_{2}$PtI$_{6}$ (MA$^{+} =$CH$_{3}$NH$_{3}^{+}$), using high pressure techniques. The band gap of MA$_{2}$PtI$_{6}$ is effectively reduced at two different rates of 0.063 eV/GPa and 0.079 eV/GPa before and after 1.2 GPa, and progressively closes as pressure further increases. These optical changes are closely related to the pressure induced structural evolution of MA$_{2}$PtI$_{6}$. Moreover, a phase transition from trigonal ($R$-3$m$) to monoclinic ($P$2/$m$) occurs at 1.2 GPa and completes by 2.0 GPa, driven by pressure-induced distortion of the [PtI$_{6}$]$^{2-}$ octahedra, which is responsible for the variation of the band gap. These promising findings pave the way for potential applications in the structural and band gap tuning of halide double perovskites.
    First-principles study on structural, electronic, and superconducting properties of Laves-phase alloy HfZn2 under pressure
    Xiao Ma(马晓), Tao Wang(王涛), Jianfeng Wen(文剑锋), Zhenwei Zhou(周振玮), and Hongyu Zhu(朱红玉)
    Chin. Phys. B, 2025, 34 (8):  086108.  DOI: 10.1088/1674-1056/ade5a1
    Abstract ( 194 )   HTML ( 0 )   PDF (802KB) ( 246 )  
    Laves-phase are among the most abundant groups of alloys with chemical formula AB2, known for their high-temperature strength and potential application in hydrogen storage. The Laves-phase generally acts as a strengthening agent, which enhances the strength and durability of alloys at extreme conditions. Consequently, the properties of Laves-phase alloys at extreme conditions attract wide attention. In this study, we investigated the high-pressure phase diagram of Laves-phase alloy HfZn$_{2}$, and discovered a phase transition from $C$15 (space group $Fd\overline{3}m$) phase to $C$14 (space group $P$6$_{3}$/mmc) phase at a pressure above 20 GPa. Based on ab initio simulations, the mechanical, chemical bonding and superconducting properties of high-pressure phase HfZn$_{2}$ were predicted. The ratio of bulk modulus to shear modulus ($B/G$), a key indicator of mechanical properties in alloys, increases from 1.86 to 4.09 within the pressure range of 50-250 GPa, indicating excellent ductility of the $ C$14 phase of HfZn$_{2}$ under high pressure. Additionally, Zn gains approximately 0.43 electron from Hf at 10 GPa, and the superconducting critical temperature of HfZn$_{2}$ is estimated to be around 0.55 K at 50 GPa. Given that both $C$14 and $C$15 phases are common structures in Laves-phase alloys, elucidating the high-pressure behaviors of $C$14 and $C$15 phases of HfZn$_{2}$ will enhance the fundamental understanding of properties and potential applications at extreme conditions of Laves-phase alloys.
    A novel metastable structure and superconductivity of hydrogen-rich compound CdH6 under pressure
    Yan Yan(闫岩), Chengao Jiang(蒋成澳), Wen Gao(高稳), Rui Chen(陈蕊), Xiaodong Yang(杨晓东), Runru Liu(刘润茹), Lihua Yang(杨丽华), and Lili Wang(王丽丽)
    Chin. Phys. B, 2025, 34 (8):  086201.  DOI: 10.1088/1674-1056/add902
    Abstract ( 264 )   HTML ( 0 )   PDF (1348KB) ( 223 )  
    The particle swarm optimization algorithm has predicted a series of binary cadmium hydrides that could be dynamically stable at pressures between 100 GPa and 300 GPa. These low-energy phases are composed of both Cd atoms and H$_{2}$ molecules. Here, we propose a hitherto unknown metastable Cmcm-CdH$_{6}$ phase, consisting of one-dimensional zigzag graphite-like hydrogenic H$_{6}$ chains, quasimolecular H$_{2}$ units and Cd atoms, which is metallic above 290 GPa. Due to H$_{2} \sigma \to {\rm Cd}$ d donation and Cd $\rm d \to H_{2} \sigma^{\ast } $ back-donation, the electrons occupy antibonding orbitals for both types of hydrogen atoms. This results in weakened chemical bonds in the Cmcm-CdH$_{6}$ phase via a Kubas-like mechanism, promoting the emergence of high superconductivity, which is estimated to be up to $\sim 60 $ K at 290 GPa. This work will inspire the search for superconductivity in materials based on group IIB hydrides under pressure.
    Theoretical investigation on the H sublattice in CaH6 and energetic performance
    Zhihong Huang(黄植泓), Nan Li(李楠), Jun Zhang(张俊), Xiuyuan Li(李修远), Zihuan Peng(彭梓桓), Chongwen Jiang(江崇文), and Changqing Jin(靳常青)
    Chin. Phys. B, 2025, 34 (8):  086202.  DOI: 10.1088/1674-1056/ade1c3
    Abstract ( 209 )   HTML ( 2 )   PDF (869KB) ( 130 )  
    Metal superhydride compounds (MSHCs) have attracted much attention in the fields of high-pressure physics due to the superconductivity properties deriving from the metallic-hydrogen-like characteristics and relatively mild synthesis conditions. However, their energetic performance and related potential applications are still open issues till now. In this study, CaH$_{6}$ and NbH$_{3}$, which exhibit evidently differences in their geometric and electronic structures, were chosen as examples of MSHCs to investigate their energetic performance. The structure, bonding features and energetic performance of CaH$_{6}$ and NbH$_{3}$ were predicted based on first-principles calculations. Our results reveal that high-pressure MSHCs always exhibit high energy densities. The range of theoretical energy density of CaH$_{6}$ was predicted as 2.3-5.3 times of TNT, while the value for NbH$_{3}$ was predicted as 1.2 times of TNT. Our study further uncover that CaH$_{6}$ has outstanding energetic properties, which are ascribed to the three-dimensional (3D) aromatic H sublattice and the strong covalent bonding between the H atoms. Moreover, the detonation process and products of rapid energy-release stage of CaH$_{6}$ were simulated via AIMD method, based on which its superior combustion performance was predicted and its specific impulse was calculated as 490.66 s. This study not only enhances the chemical understanding of MSHCs, but also extends the paradigm of traditional energetic materials and provides a new route to design novel high energy density materials.
    Structure and properties of MgO melt at high pressure: A first-principles study
    Min Wu(吴旻) and Zhongsen Sun(孙忠森)
    Chin. Phys. B, 2025, 34 (8):  086301.  DOI: 10.1088/1674-1056/add4e2
    Abstract ( 203 )   HTML ( 0 )   PDF (1261KB) ( 199 )  
    MgO is one of the most abundant minerals in the Earth's interior, and its structure and properties at high temperature and pressure are important for us to understand the composition and behavior in the deep Earth. In the present work, first-principles molecular dynamics calculations were performed to investigate the pressure-induced structural evolution of the MgO melts at 4000 K and 5000 K. The results predicted the liquid-solid phase boundaries, and the calculated viscosities of the melts may help us to understand the transport behavior under the corresponding Earth conditions.
    Ab initio prediction of ground-state magnetic ordering and high-pressure magnetic phase transition of uranium mononitride
    Jing-Jing Zheng(郑晶晶), Yuxi Chen(陈禹西), Chengxiang Zhao(赵承祥), Junfeng Zhang(张均锋), Ping Zhang(张平), Bao-Tian Wang(王保田), and Jiang-Jiang Ma(马江将)
    Chin. Phys. B, 2025, 34 (8):  087101.  DOI: 10.1088/1674-1056/add4e6
    Abstract ( 183 )   HTML ( 0 )   PDF (5263KB) ( 399 )  
    The ground-state magnetic ordering of uranium mononitride (UN) remains a contentious topic due to the unexpected lack of crystallographic distortion in the traditionally accepted $1\bm{k}$ antiferromagnetic (AFM) state. This discrepancy casts doubt on the validity of the $1\bm{k}$ magnetic ordering of UN. Here, we investigate the crystal structure, high-pressure phase transitions, and dynamical and mechanical properties of UN in its $1\bm{k}$ and $3\bm{k}$ AFM ground states using density functional theory (DFT). Our results reveal that the undistorted $3\bm{k}$ AFM state of Fm$\overline{3}$m within the ${\rm DFT}+{U}+{\rm SOC}$ scheme is more consistent with experimental results. The Hubbard U and spin-orbit coupling (SOC) are critical for accurately capturing the crystal structure, high-pressure structural phase transition, and dynamical properties of UN. In addition, we have identified a new high-pressure magnetic phase transition from the nonmagnetic (NM) phase of R$\overline{3}$m to the P$6_{3}$/mmc AFM state. Electronic structure analysis reveals that the magnetic ordering in the ground state is primarily linked to variations in partial 5f orbital distributions. Our calculations provide valuable theoretical insights into the complex magnetic structures of a typical strongly correlated uranium-based compound. Moreover, they provide a framework for understanding other similar actinide systems.
    High thermoelectric performance of SnS under high pressure and high temperature
    Yuqi Gao(高语崎), Xinglin Wang(王星淋), Cun You(由存), Dianzhen Wang(王殿振), Nan Gao(高楠), Qi Jia(贾琪), Zhihui Li(李志慧), Qiang Tao(陶强), and Pinwen Zhu(朱品文)
    Chin. Phys. B, 2025, 34 (8):  087201.  DOI: 10.1088/1674-1056/addbc8
    Abstract ( 176 )   HTML ( 0 )   PDF (1572KB) ( 264 )  
    Tin sulfide (SnS) is a promising non-toxic thermoelectric (TE) material to replace SnSe (Se is toxic), due to its similar structure and low thermal conductivity ($\kappa$) comparable to SnSe. However, the poor electrical conductivity ($\sigma$) of SnS results in lower TE performance. In this work, high pressure was utilized to regulate the electronic structure, thereby mediating the conflict of electron and phonon transport to optimize the TE performance. In situ measurements of thermoelectric properties for SnS under high pressure and high temperature revealed that although the Seebeck coefficient ($S$) and $\kappa$ slightly decrease with increasing pressure, the $\sigma$ dramatically increases with increasing pressure, finally increasing the dimensionless figure of merit ($ZT$). The $\sigma $ increases from 2135 S$\cdot$m$^{-1}$ to 83549 S$\cdot$m$^{-1}$ as the pressure increases from 1 GPa to 5 GPa at 325 K, representing an increase of an order of magnitude. The high $\sigma $ of SnS leads to an increase in the $PF$ to 1436 μW$\cdot$m$^{-1}\cdot$K$^{-2}$ at 5 GPa and 652 K. The maximum $ZT$ value of 0.77 at 5 GPa and 652 K was obtained, which is 4 times the maximum $ZT$ under ambient pressure and is comparable to that of doped SnS. The increase in $\sigma$ is due to the fact that pressure modulates the band structure of SnS by narrowing the band gap from 1.013 eV to 0.712 eV. This study presents a valuable guide for searching new high TE performance materials using high pressure.
    Magnetotransport properties of two-dimensional tellurium at high pressure
    Huiyuan Guo(郭慧圆), Jialiang Jiang(姜家梁), Boyu Zou(邹博宇), Jie Cui(崔杰), Qinglin Wang(王庆林), Haiwa Zhang(张海娃), Guangyu Wang(王光宇), Guozhao Zhang(张国召), Kai Wang(王凯), Yinwei Li(李印威), and Cailong Liu(刘才龙)
    Chin. Phys. B, 2025, 34 (8):  087301.  DOI: 10.1088/1674-1056/add5c9
    Abstract ( 169 )   HTML ( 1 )   PDF (1034KB) ( 176 )  
    Two-dimensional tellurium (2D-Te) exhibits strong spin-orbit coupling and a chiral structure. Studying its magnetotransport properties is crucial for the development of spintronic technologies and the exploration of novel device applications. The magnetotransport properties of 2D-Te under varying temperatures and high pressures warrant further study. In this paper, the magnetotransport behavior of 2D-Te under low-temperature and high-pressure conditions is investigated. At room temperature, the magnetoresistance (${\rm MR}$) increases with increasing magnetic field, exhibiting positive ${\rm MR}$ behavior below 4.3 GPa. During decompression, ${\rm MR}$ is almost constant with decreasing pressure. ${\rm MR}$ is more sensitive to pressure at lower temperatures.
    Superconductivity in YbN4H12 under low pressures
    Xiang Wang(汪翔), Chenlong Xie(谢晨龙), Haohao Hong(洪浩豪), Yanliang Wei(魏衍亮), Zhao Liu(刘召), and Tian Cui(崔田)
    Chin. Phys. B, 2025, 34 (8):  087401.  DOI: 10.1088/1674-1056/add908
    Abstract ( 227 )   HTML ( 0 )   PDF (2291KB) ( 215 )  
    The emergence of high-temperature superconductivity in hydrogen-rich compounds has opened up promising avenues for investigating unique hydrogen motifs that exhibit exceptional superconducting properties. Nevertheless, the requirement for extremely high synthesis pressures poses significant barriers to experimentally probing potential physical properties. Here, we have designed a structure wherein NH$_{3}$ tetrahedra are intercalated into the body-centered cubic lattice of Yb, resulting in the formation of Yb(NH$_{3}$)$_{4}$. Our first-principles calculations reveal that metallic behavior emerges from the ionization of sp$^{3}$-hybridized $\sigma$-bonds in NH$_{3}$, which is enabled by electron transfer from ytterbium orbitals to NH$_{3}$ anti-bonding $\sigma$-orbitals. A distinctive feature of this structure is the Fermi surface nesting, which leads to optical phonon softening and consequently enhances electron-phonon coupling. The subsequent density-functional theory (DFT) calculations demonstrate that this $I$-43$m$ phase of Yb(NH$_{3}$)$_{4}$ exhibits a superconducting critical temperature ($T_{\rm c}$) of 17.32 K under a modest pressure of 10 GPa. Our investigation presents perspectives on achieving phonon-mediated superconductivity at relatively low pressures, thereby opening up extensive possibilities for the attainment of high-temperature superconductivity in hydrogen-based superconducting systems with specific ionized molecular groups.
    Pressure distribution imaging through wide-field optical detected magnetic resonance
    Chaofan Lv(吕超凡), Kai Ma(马凯), Feihu Lei(雷飞虎), Yidan Qu(屈怡丹), Qilong Wu(吴琦隆), Wuyou Zhang(张吾优), Yingjie Zhang(张英杰), Huihui Yu(余辉辉), Xuanming Shen(申炫铭), Yuan Zhang(张元), Xigui Yang(杨西贵), and Chongxin Shan(单崇新)
    Chin. Phys. B, 2025, 34 (8):  087601.  DOI: 10.1088/1674-1056/addbc9
    Abstract ( 178 )   HTML ( 0 )   PDF (2214KB) ( 105 )  
    Non-hydrostatic stress plays a significant role in shaping the properties of materials under compression. High-pressure effects such as yielding deformation, phase transitions, and volume contraction can alter the pressure distribution within the pressure chamber. However, due to the inherent size limitation of the diamond anvil cell (DAC), in situ high-pressure studies usually assume a hydrostatic environment, equaling the pressure of samples to a pressure calibrator inside the chamber. Accurately imaging pressure distribution within the DAC chamber remains challenging, particularly as the material undergoes phase transitions. Here, we present a method for mapping pressure distribution with high spatial resolution using wide-field optically detected magnetic resonance (ODMR) of nanodiamonds. The pressure gradients during the high-pressure transition of zinc oxide (ZnO) were compared using both the multiple rubies technique and wide-field ODMR. The latter technique demonstrated superior spatial resolution, easier operation, and more detailed information. These results highlight the potential of wide-field ODMR as a powerful tool for precise pressure sensing, particularly in studies involving non-hydrostatic pressure conditions.
    Pressure dependent excited state dynamics behavior in CzCNDSB
    Guang-Jing Hou(侯广静), Ting-Ting Wang(王亭亭), Cun-Fang Feng(冯存方), Hong-Yu Tu(屠宏宇), Yu Zhang(张宇), Fang-Fei Li(李芳菲), Ying-Hui Wang(王英惠), Ping Lu(路萍), Tian Cui(崔田), and Ling-Yun Pan(潘凌云)
    Chin. Phys. B, 2025, 34 (8):  087801.  DOI: 10.1088/1674-1056/add679
    Abstract ( 188 )   HTML ( 0 )   PDF (1281KB) ( 135 )  
    High pressure can alter the properties of matter and modulate the excited-state relaxation behavior of materials without chemical intervention. In this study, high pressure was combined with steady-state absorption and fluorescence spectroscopy, as well as transient spectroscopy techniques, to investigate its effect on the optical properties of the stimuli-responsive material (2Z,2$'$Z)-2,2$'$-(1,4-phenylene)bis(3-(4-(9H-carbazol-9-yl)phenyl)acrylonitrile) (CzCNDSB). With increasing pressure, the steady-state absorption and fluorescence peaks of CzCNDSB crystals exhibit red shifts, which are fully reversible. At the same time, pressure causes the molecules to pack more closely, leading to an increase in both the number and energy of multiplet self-trapped state, while the energy of local excited state decreases. The steady-state and transient results provide information on electronic energy levels, excited-state dynamics, and other properties of CzCNDSB, which show strong pressure dependence. These findings highlight the potential of CzCNDSB for practical applications such as photodetectors and solar energy conversion.
    High pressure growth of transition-metal monosilicide RhGe single crystals
    Xiangjiang Dong(董祥江), Bowen Zhang(张博文), Xubin Ye(叶旭斌), Peng Wei(魏鹏), Lei Lian(廉磊), Ning Sun(孙宁), Youwen Long(龙有文), Shangjie Tian(田尚杰), Shouguo Wang(王守国), Hechang Lei(雷和畅), and Runze Yu(于润泽)
    Chin. Phys. B, 2025, 34 (8):  088101.  DOI: 10.1088/1674-1056/add7ab
    Abstract ( 227 )   HTML ( 2 )   PDF (1689KB) ( 184 )  
    Transition-metal monosilicide RhGe has been reported to exhibit weak itinerant ferromagnetism, superconductivity, and topological properties. In this study, we report the high-pressure growth of high-quality RhGe single crystals up to millimeter size using a flux method. Transport measurements reveal metallic behavior in RhGe from 2 K to 300 K with Fermi liquid behavior at low temperatures. However, no superconductivity was observed with variations in the Ge composition. Magnetic characterizations indicate that RhGe exhibits paramagnetic behavior between 2 K and 300 K. The high-quality and large-size RhGe single crystals pave the way for further investigation of their topological properties using spectroscopic techniques.
    Pressure-induced metallization and Lifshitz transition in quasi-one-dimensional TiSe3 single crystal
    Zhenhai Yu(于振海), Yunguan Ye(叶运观), Pengtao Yang(杨芃焘), Yiming Wang(王弈铭), Liucheng Chen(陈刘城), Chenglin Li(李承霖), Jian Yuan(袁健), Ziyi Liu(刘子儀), Zhiwei Shen(申志伟), Shaojie Wang(王邵杰), Mingtao Li(李明涛), Chaoyang Chu(楚朝阳), Xia Wang(王霞), Jun Li(李俊), Lin Wang(王霖), Wenge Yang(杨文革), and Yanfeng Guo(郭艳峰)
    Chin. Phys. B, 2025, 34 (8):  088102.  DOI: 10.1088/1674-1056/adce9d
    Abstract ( 206 )   HTML ( 0 )   PDF (4836KB) ( 107 )  
    The transition metal trichalcogenides (TMTs) with quasi-one-dimensional (quasi-1D) layered crystal structure represent a unique platform to explore intriguing physical properties. Herein, we report the successful growth of a new TMT TiSe$_{3}$ single crystal by using a high-pressure and high-temperature technique. The crystal structure of TiSe$_{3}$ was determined by measuring the single-crystal x-ray diffraction and selected area electron diffraction. The 1D chain-like structure along the $b$-axis is formed by the TiSe$_{6}$ prisms which share their tops and bottoms with each other. TiSe$_{3}$ is a narrow band gap semiconductor with electron-type carriers under ambient conditions identified by the electrical and Hall effect measurements. It exhibits a pressure-induced semiconductor-to-metal transition around 4 GPa. As the pressure further increases to $\sim 6 $ GPa, a pressure-induced Lifshitz transition occurs, as indicated by the electrical transport measurements, high-pressure crystal structure characterizations, and electronic band structure calculations.
    Solubility parameters of supercritical CO2 and CO2+H2O fluids: A molecular dynamics study
    Junliang Wang(王军良), Jiaqing Fang(方佳清), Ting Wu(吴婷), Quanyuan Wang(王泉源), Zhiyan Pan(潘志彦), Mian Hu(胡沔), and Min Wu(吴旻)
    Chin. Phys. B, 2025, 34 (8):  088201.  DOI: 10.1088/1674-1056/adcc85
    Abstract ( 195 )   HTML ( 0 )   PDF (1061KB) ( 566 )  
    Understanding the solubility of supercritical CO$_{2}$ and its mixtures with other fluids at various temperatures and pressures conditions is critical for their applications, such as extraction processes, material design, and carbon capture. In the present study, the solubility parameters of supercritical CO$_{2}$, H$_{2}$O, and their mixtures were calculated by molecular dynamics simulations. The results show that the solubility parameters decrease with increasing temperature and increase with increasing pressure and are linearly proportional to the density. Furthermore, the intermolecular interactions, including the hydrogen bonds, significantly affect the solubility parameter of the CO$_{2}$-H$_{2}$O system.
    SPECIAL TOPIC — Computational programs in complex systems
    Analysis and design of multivalued many-to-one associative memory driven by external inputs
    Qiang Fang(方强) and Hao Zhang(张浩)
    Chin. Phys. B, 2025, 34 (8):  080701.  DOI: 10.1088/1674-1056/add24b
    Abstract ( 160 )   HTML ( 0 )   PDF (976KB) ( 114 )  
    This paper proposes a novel multivalued recurrent neural network model driven by external inputs, along with two innovative learning algorithms. By incorporating a multivalued activation function, the proposed model can achieve multivalued many-to-one associative memory, and the newly developed algorithms enable effective storage of many-to-one patterns in the coefficient matrix while maintaining the indispensability of inputs in many-to-one associative memory. The proposed learning algorithm addresses a critical limitation of existing models which fail to ensure completely erroneous outputs when facing partial input missing in many-to-one associative memory tasks. The methodology is rigorously derived through theoretical analysis, incorporating comprehensive verification of both the existence and global exponential stability of equilibrium points. Demonstrative examples are provided in the paper to show the effectiveness of the proposed theory.
    Evolutionary role of startups and its relevance to the success in the blockchain field based on temporal information networks
    Ying Wang(王颖) and Qing Guan(管青)
    Chin. Phys. B, 2025, 34 (8):  088901.  DOI: 10.1088/1674-1056/add247
    Abstract ( 137 )   HTML ( 0 )   PDF (1936KB) ( 325 )  
    Startups form an information network that reflects their growth trajectories through information flow channels established by shared investors. However, traditional static network metrics overlook temporal dynamics and rely on single indicators to assess startups' roles in predicting future success, failing to comprehensively capture topological variations and structural diversity. To address these limitations, we construct a temporal information network using 14547 investment records from 1013 global blockchain startups between 2004 and 2020, sourced from Crunchbase. We propose two dynamic methods to characterize the information flow: temporal random walk (sTRW) for modeling information flow trajectories and temporal betweenness centrality (tTBET) for identifying key information hubs. These methods enhance walk coverage while ensuring random stability, allowing for more effective identification of influential startups. By integrating sTRW and tTBET, we develop a comprehensive metric to evaluate a startup's influence within the network. In experiments assessing startups' potential for future success—where successful startups are defined as those that have undergone M&A or IPO—incorporating this metric improves accuracy, recall, and F1 score by 0.035, 0.035, and 0.042, respectively. Our findings indicate that information flow from key startups to others diminishes as the network distance increases. Additionally, successful startups generally exhibit higher information inflows than outflows, suggesting that actively seeking investment-related information contributes to startup growth. Our research provides valuable insights for formulating startup development strategies and offers practical guidance for market regulators.
    Six-degree gravity centrality for detecting influential nodes in networks
    Jianbo Wang(王建波), Bohang Lin(林渤杭), Zhanwei Du(杜占玮), Ping Li(李平), and Xiao-Ke Xu(许小可)
    Chin. Phys. B, 2025, 34 (8):  088902.  DOI: 10.1088/1674-1056/adec62
    Abstract ( 157 )   HTML ( 0 )   PDF (7872KB) ( 301 )  
    Identifying critical nodes is a pivotal research topic in network science, yet the efficient and accurate detection of highly influential nodes remains a challenge. Existing centrality measures predominantly rely on local or global topological structures, often overlooking indirect connections and their interaction strengths. This leads to imprecise assessments of node importance, limiting practical applications. To address this, we propose a novel node centrality measure, termed six-degree gravity centrality (SDGC), grounded in the six degrees of separation theory, for the precise identification of influential nodes in networks. Specifically, we introduce a set of node influence parameters—node mass, dynamic interaction distance, and attraction coefficient—to enhance the gravity model. Node mass is calculated by integrating K-shell and closeness centrality measures. The dynamic interaction distance, informed by the six-degrees of separation theory, is determined through path searches within six hops between node pairs. The attraction coefficient is derived from the difference in K-shell values between nodes. By integrating these parameters, we develop an improved gravity model to quantify node influence. Experiments conducted on nine real-world networks demonstrate that SDGC significantly outperforms nine existing classical and state-of-the-art methods in identifying the influential nodes.
    LETTER
    New progress on DC H2+ beam generation: Tens of mA output and 70% fraction from a 2.45 GHz microwave driven ion source Hot!
    Bujian Cui(崔步坚), Shixiang Peng(彭士香), Jianbin Zhu(朱建斌), Yicheng Dong(董宜承), Zhiyu Guo(郭之虞), and Jiaer Chen(陈佳洱)
    Chin. Phys. B, 2025, 34 (8):  085203.  DOI: 10.1088/1674-1056/adf1ec
    Abstract ( 303 )   HTML ( 11 )   PDF (791KB) ( 444 )  
    Recently H$_{2}^{+}$ ion beam finds widespread use in many fields, and the demand of high-current H$_{2}^{+}$ ion sources is urgent for numerous applications. However, there are currently almost no reported ion sources capable of generating a direct-current (DC) H$_{2}^{+}$ beam with tens of mA current. In previous work at Peking University (PKU), H$_{2}^{+}$ ion beams with a current of over 40 mA have been obtained in pulse mode, and a current of 16 mA was achieved in DC mode. In this paper, we report the generation of a DC H$_{2}^{+}$ ion beam with a current of 22 mA extracted from an improved miniaturized microwave driven ion source (MMDIS). Beam analysis shows that the H$_{2}^{+}$ fraction in the extracted beam is about 70%. The emittance of the mixed hydrogen beam is about 0.12 $\pi \cdot {\rm mm}\cdot {\rm mrad}$. These results provide references for the applications of H$_{2}^{+}$ beam and the design of H$_{2}^{+}$ ion source.
    RAPID COMMUNICATION
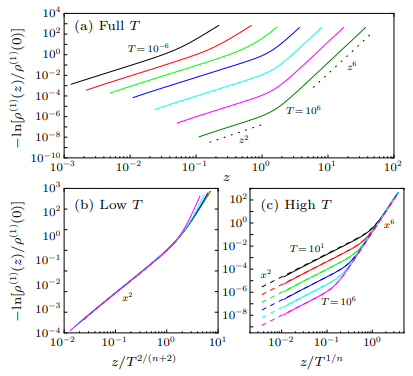
    Thermodynamics of classical one-dimensional generalized nonlinear Klein-Gordon lattice model Hot!
    Hu-Wei Jia(贾虎伟) and Ning-Hua Tong(同宁华)
    Chin. Phys. B, 2025, 34 (8):  080501.  DOI: 10.1088/1674-1056/add50f
    Abstract ( 360 )   HTML ( 10 )   PDF (1243KB) ( 480 )  
    We study the thermodynamic properties of the classical one-dimensional generalized nonlinear Klein-Gordon lattice model ($n \ge 2$) by using the cluster variation method with linear response theory. The results of this method are exact in the thermodynamic limit. We present the single-site reduced density $\rho^{(1)}(z)$, averages such as $\langle z^2 \rangle$, $\langle |z^n|\rangle$, and $\langle (z_1-z_2)^2\rangle$, the specific heat $C_{\rm v}$, and the static correlation functions. We analyze the scaling behavior of these quantities and obtain the exact scaling powers at the low and high temperatures. Using these results, we gauge the accuracy of the projective truncation approximation for the $\phi^{4}$ lattice model.
    Euler-modified pulley-type microring on lithium niobate platform
    Wen-Hui Song(宋文慧), Dong-Jie Guo(郭东洁), Ran Yang(杨然), Jia-Chen Duan(端家晨), Zi-Shuo Gu(顾子硕), Ji Tang(汤济), Zhilin Ye(叶志霖), Xiao-Hui Tian(田晓慧), Kunpeng Jia(贾琨鹏), Zhong Yan(严仲), Zhijun Yin(尹志军), Yan-Xiao Gong(龚彦晓), Zhenda Xie(谢臻达), Zhenlin Wang(王振林), and Shi-Ning Zhu(祝世宁)
    Chin. Phys. B, 2025, 34 (8):  084205.  DOI: 10.1088/1674-1056/adee8b
    Abstract ( 182 )   HTML ( 0 )   PDF (1399KB) ( 477 )  
    Microring resonators, as essential components of photonic integrated circuits, offer compact size, wavelength selectivity, and strong resonance effects, making them invaluable in optical computing, on-chip interconnects, and quantum photonics. The proposal of the pulley-type microring enhances the coupling strength, but also brings about issues such as mode mismatch and the excitation of higher-order modes. Here, a lithium niobate microring resonator coupled with a pulley bus waveguide based on modified Euler curves is proposed. This Euler-modified pulley bus minimizes mode mismatch at bending junctions, effectively suppressing higher-order mode excitation. The design achieves a high $Q$ factor (exceeding $10^5$) and strong coupling efficiency (83%) within a compact structure of 70 μm radius. Due to its simple structure and ease of fabrication, the Euler-modified pulley-type microring holds practical value for applications requiring high-quality microring resonators.
    Lattice and phonon properties in semiconductors FeSb2 and RuSb2 Hot!
    Meng Zhang(张萌), Shengnan Dai(戴胜男), Ranran Zhang(张冉冉), Mingfang Shu(舒明方), Wei Xu(徐威), Jinfeng Zhu(朱金峰), Xianglin Liu(刘祥麟), Yixuan Luo(罗伊轩), Toru Ishigaki, Bo Duan(段波), Yanfeng Guo(郭艳峰), Zhe Qu(屈哲), Jiong Yang(杨炯), and Jie Ma(马杰)
    Chin. Phys. B, 2025, 34 (8):  086302.  DOI: 10.1088/1674-1056/adda0e
    Abstract ( 332 )   HTML ( 11 )   PDF (2009KB) ( 254 )  
    The family of transition-metal dipnictides, $MX_{2}$ ($M$: metal, $X$: N, P, As, Sb, and Bi), has emerged as an important quantum material system due to its unique physical properties, such as large magnetoresistance, colossal Seebeck coefficients, and Weyl semimetal characteristics. In order to study the $M$-site ions effect on the lattice structure and the related dynamics, we compared two isostructural compounds, FeSb$_{2}$ and RuSb$_{2}$. Neutron diffraction, specific heat, and Raman scattering spectra of RuSb$_{2}$ were measured. We found that the thermal expansion coefficients are isotropic for RuSb$_{2}$, in contrast to the anisotropic behavior reported previously in FeSb$_{2}$. Moreover, the specific heat of RuSb$_{2}$ shows a boson-like anomaly around 25 K. Four of the six predicted vibrational modes were identified by polarized Raman scattering spectra and successfully simulated by ab initio calculations. Meanwhile, the temperature-dependent linewidths reveal that phonon-phonon interactions might dominate above 50 K, while electron-phonon coupling remains relatively weak.
    First-principles calculations on strain tunable hyperfine Stark shift of shallow donors in Si Hot!
    Zi-Kai Zhou(周子凯) and Jun Kang(康俊)
    Chin. Phys. B, 2025, 34 (8):  087102.  DOI: 10.1088/1674-1056/addeba
    Abstract ( 314 )   HTML ( 12 )   PDF (707KB) ( 277 )  
    Control of hyperfine interaction strength of shallow donors in Si is one of the central issues in realizing Kane quantum computers. First-principles calculations on the hyperfine Stark shift of shallow donors are challenging since large supercells are needed to accommodate the delocalized donor wave functions. In this work, we investigated the hyperfine Stark shift and its strain tunability for shallow donors P and As in Si using the potential patching method based on first-principles density functional theory calculations. The good agreement between our calculations and experimental results confirms that the potential patching method is a feasible and accurate first-principles approach for studying wave-function-related properties of shallow impurities, such as the Stark shift parameter. It is further shown that the application of strain expands the range of hyperfine Stark shift and helps improve the response of shallow donor based qubit gates. The results could be useful for developing quantum computing architectures based on shallow donors in Si.
    Multiple anomalous Hall effect in kagome metal TbV5MnSn6 Hot!
    Zi-Cheng Tao(陶咨成), Yi-Xuan Luo(罗伊轩), Shi-Hao Zhang(张世豪), and Yan-Feng Guo(郭艳峰)
    Chin. Phys. B, 2025, 34 (8):  087103.  DOI: 10.1088/1674-1056/add5cc
    Abstract ( 200 )   HTML ( 3 )   PDF (1295KB) ( 263 )  
    The kagome lattice hosts unique electronic structure with Dirac fermions, van Hove singularities, and flat bands, which has been subjected to intensive study in recent years. We report herein the observation of significantly enhanced magnetism including a very large coercive magnetic field up to 4.7 T, optimized magnetic energy product with the maximum value of 45 kJ/m$^{3}$, and an increased magnetic ordering temperature reaching 113 K in Mn-substituted kagome metal TbV$_{6}$Sn$_{6}$, namely, TbV$_{5}$MnSn$_{6}$. Besides, both topological Hall-like and anomalous Hall effects are detected, with the latter being primarily dominated by intrinsic Berry curvature as indicated by our data analysis and theoretical calculations. Our work establishes an effective route for engineering the physical properties of kagome magnets. The results also provide valuable insights into the interplay between magnetism and topological states of the kagome lattice.
    Manipulating the magnetic properties of MnBi2Te4 through electrochemical organic molecule intercalation Hot!
    Yu Du(杜钰), Heng Zhang(张恒), Fuwei Zhou(周福伟), Tianqi Wang(王天奇), Jiajun Li(李佳骏), Wuyi Qi(戚无逸), Yiying Zhang (张祎颖), Yefan Yu(俞业凡), Fucong Fei(费付聪), and Fengqi Song(宋凤麒)
    Chin. Phys. B, 2025, 34 (8):  087302.  DOI: 10.1088/1674-1056/add5cf
    Abstract ( 492 )   HTML ( 17 )   PDF (1388KB) ( 596 )  
    MnBi$_{2}$Te$_{4}$, which is emerging as an intrinsic antiferromagnetic (AFM) topological insulator, provides a unique platform to investigate the interplay between magnetism and topology. Modulating its magnetic properties enables the observation of exotic quantum phenomena such as the quantum anomalous Hall effect, axion insulator states, and Majorana fermions. While the intercalation of Bi$_{2}$Te$_{3}$ can tune its magnetism, synthesizing pure-phase MnBi$_{2}$Te$_{4}$ with uniform Bi$_{2}$Te$_{3}$ intercalation remains challenging, and the fixed interlayer spacing of Bi$_{2}$Te$_{3}$ limits magnetic coupling tunability. Here, we utilize electrochemical organic molecule intercalation to expand the van der Waals gap of MnBi$_{2}$Te$_{4}$ and modulate its magnetic properties. Through x-ray diffraction (XRD) characterizations, we confirm that the interlayer spacing of MnBi$_{2}$Te$_{4}$ is expanded from 13.6 Å to 30.5 Å and 61.0 Å by intercalating quaternary ammonium cations (THA$^{+}$ and CTA$^{+}$), respectively. The THA-MnBi$_{2}$Te$_{4}$ exhibits dual complex magnetic behavior, combining AFM ordering with a Néel temperature ($T_{\rm N}$) of 12 K and a small ferromagnetic hysteresis loop at 2 K. The CTA-MnBi$_{2}$Te$_{4}$ shows robust ferromagnetism, with a Curie point ($T_{\rm C}$) of 15 K, similar to that of the MnBi$_{2}$Te$_{4}$ monolayer. These results demonstrate that remarkable changes in the magnetic properties of MnBi$_{2}$Te$_{4}$ can be achieved via electrochemical intercalation, providing new insights into manipulating magnetism in layered magnetic materials.
    Observation of distinct Kondo effect and anomalous Hall effect in V self-intercalated layered antiferromagnet V5S8 crystals
    Yaofeng Xie(谢耀锋), Senhao Lv(吕森浩), Qi Qi(齐琦), Guojing Hu(胡国静), Ke Zhu(祝轲), Zhen Zhao(赵振), Guoyu Xian(冼国裕), Yechao Han(韩烨超), Ruwen Wang(王汝文), Chenyu Bai(白晨宇), Lihong Bao(鲍丽宏), Xiao Lin(林晓), Hui Guo(郭辉), Haitao Yang(杨海涛), and Hong-Jun Gao(高鸿钧)
    Chin. Phys. B, 2025, 34 (8):  087303.  DOI: 10.1088/1674-1056/add5cd
    Abstract ( 167 )   HTML ( 0 )   PDF (4075KB) ( 204 )  
    Vanadium-based transition metal chalcogenides V$_{{m}}{X}_{{n}}$ ($X ={\rm S}$, Se, Te) with their distinctive quantum effects, tunable magnetism, spin-orbit coupling, and high carrier mobility are a valuable platform to explore the interplay between magnetism and electronic correlations, especially with tunable structural phases and magnetic properties through stoichiometric variations, making them ideal candidates for advanced device applications. Here, we report the synthesis of high-quality V$_{{5+x}}$S$_{8}$ single crystals with different concentrations of self-intercalated vanadium. V$_{{5+x}}$S$_{{8}}$ crystals show an antiferromagnetic behavior and a spin-flop-like transition below $T_{\rm N}$ of 30.6 K. The high-quality V$_{{5+x}}$S$_{{8}}$ single crystals exhibit a large negative magnetoresistance of 12.3% at 2 K. Interestingly, V$_{{5+x}}$S$_{{8}}$ crystals show an obvious low-temperature resistance upturn that gradually levels off with the increasing magnetic field, attributed to the Kondo effect arising from the interaction between conduction electrons and embedded vanadium magnetic impurities. With increasing V doping, the antiferromagnetic interactions intensify, weakening the coupling between the local moments and conduction electrons, which in turn lowers the Kondo temperature ($T_{\rm K}$). Furthermore, the anomalous Hall effect is observed in V$_{{5.73}}$S$_{{8}}$, with an anomalous Hall conductivity (AHC) of 50.46 $\Omega^{{-1}}\cdot$cm$^-1$ and anomalous Hall angle of 0.73% at 2 K. Our findings offer valuable insights into the mechanisms of the Kondo effect and anomalous Hall effect in self-intercalated transition metal chalcogenides with complex magnetism and electronic correlation effects.
    Molecular simulation study on phase separation of immunoglobulin G
    Lv-Meng Hu(胡吕梦), Yuan-Qiang Chen(陈远强), Hong-Ming Ding(丁泓铭), and Yu-Qiang Ma(马余强)
    Chin. Phys. B, 2025, 34 (8):  088701.  DOI: 10.1088/1674-1056/add50b
    Abstract ( 180 )   HTML ( 0 )   PDF (2044KB) ( 299 )  
    Understanding the liquid-liquid phase separation (LLPS) of immunoglobulin G (IgG) is crucial, as it profoundly influences IgG's biological activity and stability. In this study, we employed coarse-grained molecular dynamics simulations to systematically investigate the phase separation behavior of IgG. We first constructed two types of IgG models: all-pair IgG model and partial-pair IgG model, and compared the coexistence curve from our simulations with experimental data. Our results showed that the partial-pair IgG model aligns better with the experimental critical temperature and critical density. Using this model, we then calculated the temperature-dependent variations of IgG's radius of gyration, surface tension, viscosity, etc. More importantly, we demonstrated that variations in the interaction strengths among IgG molecules significantly influence their phase separation behavior. Specifically, a higher standard deviation of interaction strength at different temperatures is found to lead to more stable phase-separated states. Furthermore, we observed that the introduction of repulsive polymers and strongly attractive polymers consistently enhances IgG phase separation, while weakly attractive polymers exhibit a dual regulatory effect on the phase separation. Overall, this study provides valuable insights into the mechanisms governing IgG phase behavior, with potential implications for optimizing biopharmaceutical products.
    Single-molecule investigation of the impacts of fluorescent DNA-binding proteins on DNA mechanical properties Hot!
    Yaxi Cheng(成雅茜), Shang Gao(高上), Xianqi Ye(叶贤其), Chuang Tan(谭创), and Jie Ma(马杰)
    Chin. Phys. B, 2025, 34 (8):  088702.  DOI: 10.1088/1674-1056/addcbd
    Abstract ( 267 )   HTML ( 10 )   PDF (8484KB) ( 264 )  
    DNA imaging and visualization techniques are crucial in biological experiments and have also emerged as a powerful method for single-molecule studies. Traditional intercalating dyes (e.g., SYTOX, EtBr, GelRed) can stain DNA but may alter its structure and mechanical properties, and cause photocleavage. Recently, a novel fluorescent DNA-binding protein (FP-DBP) was introduced, which can stain DNA without sequence preference and without inducing photocleavage. In this study, using a custom-built magnetic tweezers system, we performed DNA stretching, twisting and unzipping experiments to compare the mechanical properties of DNA with and without two kinds of intercalating dyes (SYTOX Orange and GelRed) and mCherry FP-DBP. Our results show that mCherry FP-DBP does not affect DNA structure or mechanics, unlike SYTOX Orange and GelRed, making FP-DBP a promising tool for DNA visualization in single-molecule experiments.
    GENERAL
    Optimal multi-parameter quantum metrology for frequencies of magnetic field
    Zhenhua Long(龙振华) and Shengshi Pang(庞盛世)
    Chin. Phys. B, 2025, 34 (8):  080301.  DOI: 10.1088/1674-1056/add4e7
    Abstract ( 183 )   HTML ( 0 )   PDF (1275KB) ( 1439 )  
    Multi-parameter quantum estimation has attracted considerable attention due to its broad applications. Due to the complexity of quantum dynamics, existing research places significant emphasis on estimating parameters in time-independent Hamiltonians. Here, our work makes an effort to explore multi-parameter estimation with time-dependent Hamiltonians. In particular, we focus on the discrimination of two close frequencies of a magnetic field by using a single qubit. We optimize the quantum controls by employing both traditional optimization methods and reinforcement learning to improve the precision for estimating the frequencies of the two magnetic fields. In addition to the estimation precision, we also evaluate the robustness of the optimization schemes against the shift of the control parameters. The results demonstrate that the hybrid reinforcement learning approach achieves the highest estimation precision, and exhibits superior robustness. Moreover, a fundamental challenge in multi-parameter quantum estimation stems from the incompatibility of the optimal control strategies for different parameters. We demonstrate that the hybrid control strategies derived through numerical optimization remain effective in enhancing the precision of multi-parameter estimation in spite of the incompatibilities, thereby mitigating incompatibilities between control strategies on the estimation precision. Finally, we investigate the trade-offs in estimation precision among different parameters for different scenarios, revealing the inherent challenges in balancing the optimization of multiple parameters simultaneously and providing insights into the fundamental distinction between quantum single-parameter estimation and multi-parameter estimation.
    Optimal convex approximations of qubit states based on l1-norm of coherence
    Li-Qiang Zhang(张立强), Yan-Dong Du(杜彦东), and Chang-Shui Yu(于长水)
    Chin. Phys. B, 2025, 34 (8):  080302.  DOI: 10.1088/1674-1056/adeb5d
    Abstract ( 218 )   HTML ( 0 )   PDF (704KB) ( 212 )  
    Determining the minimal distance between the target state and the convex combination of given states is a fundamental problem in quantum resource theory, offering critical guidance for experimental implementations. In this paper, we embark on an in-depth exploration of the use of a quantum state prepared by the convex combination of given qubit states to optimally approximate the ${l_1}$-norm of coherence of the target quantum state, striving to make the prepared state and the target state as similar as possible. Here, we present the analytical solution for the optimal distance for any $N$ given quantum states. We find that the optimal approximation problem for any $N>4$ quantum states can be transformed into an optimal approximation problem for no more than four quantum states, which not only significantly streamlines the problem but also proves advantageous for laboratories in terms of material conservation. Ultimately, a one-to-one comparison between the analytical and numerical solutions verifies the effectiveness of our approach.
    Dark-gap solitons with mixed nonlinear and linear lattices
    Xue-Fei Zhang(张雪菲), Xiao-Yang Wang(王笑阳), Hui-Lian Wei(魏慧莲), and Tian-Fu Xu(徐天赋)
    Chin. Phys. B, 2025, 34 (8):  080303.  DOI: 10.1088/1674-1056/add4dd
    Abstract ( 172 )   HTML ( 0 )   PDF (1040KB) ( 146 )  
    We study the existence and stability of dark-gap solitons in linear lattice and nonlinear lattices. The results indicate that the combination of linear and nonlinear lattices gives dark-gap solitons unique properties. The linear lattice can stabilize dark-gap solitons, while the nonlinear lattice reduces the stability of dark-gap solitons. On the basis of numerical analysis, we investigate the effects of lattice depth, chemical potential, nonlinear lattice amplitude, and nonlinear lattice period on the soliton in mixed lattices with the same and different periods. The stability of dark-gap soliton is studied carefully by means of real-time evolution and linear stability analysis. Dark-gap solitons can exist stably in the band gap, but the solitons formed by the mixed lattices are slightly different when the period is the same or different.
    Interacting bosons in a three-dimensional lattice
    Dian-Cheng Zhang(张典承) and Shi-Jie Yang(杨师杰)
    Chin. Phys. B, 2025, 34 (8):  080304.  DOI: 10.1088/1674-1056/add008
    Abstract ( 215 )   HTML ( 1 )   PDF (530KB) ( 243 )  
    We theoretically investigate the extended Bose-Hubbard model using a three-dimensional cubic lattice. In the framework of the dynamical Gutzwiller mean-field theory, we identify a checkerboard supersolid phase. By considering the repulsive interactions between next-nearest-neighbor lattice sites, we further discover an exotic type of supersolid state, whose site occupancies show a stereoscopically arrayed and staggered distribution rather than checkerboard ordering. Intriguingly, if the physical observations of two neighboring layers were superimposed, they would give rise to a checkerboard configuration. This novel structure is convincingly induced by the simultaneous existence of nearest-neighbor and next-nearest-neighbor interactions. We also identify arrayed stripes in the ground state, as well as arrayed holes in the pattern of occupancies.
    Generation of multitype, multicavity chaotic attractors via impulse-function-based state variable extension
    Xiaoyu Hu(胡晓宇), Siteng Wang(王思腾), Panpan Wu(邬盼盼), Hongbo Cao(曹红博), Tianwei Yang(杨天纬), and Zhongshuo Dong(董忠硕)
    Chin. Phys. B, 2025, 34 (8):  080502.  DOI: 10.1088/1674-1056/add249
    Abstract ( 157 )   HTML ( 0 )   PDF (19434KB) ( 261 )  
    This paper proposes a universal impulse-function-based method for extending discrete chaotic maps, enabling flexible construction of multicavity chaotic attractors. The proposed method achieves one-directional (1D) /two-directional (2D) extensions without introducing additional nonlinear terms or altering system stability. Theoretically, the cavity quantity in arbitrary directions is controlled by adjusting impulse levels $N$, while the amplitude regulation is implemented through modifications to the proportionality parameter $\rho$. Theoretical analyses, including Lyapunov exponents (LEs) and bifurcation diagrams, are conducted, confirming that the extended maps retain the intrinsic dynamics of five rational map classes. The field-programmable gate array (FPGA) implementation results are consistent with the numerical simulation results, verifying the correctness of the theoretical analysis. The method enables the expansion of unipolar attractors and enhances entropy metrics, offering a robust framework for applications in secure communication, encryption, and chaos-based technologies.
    Chaos of cavity optomechanical system with Coulomb coupling
    Yingjia Yang(杨应佳), Liwei Liu(刘利伟), Lianchun Yu(俞连春), Weizheng Kong(孔伟正), Haiyan Jiao(焦海燕), Xiaoyan Deng(邓小燕), and Xiaoyong Li(李小勇)
    Chin. Phys. B, 2025, 34 (8):  080503.  DOI: 10.1088/1674-1056/add509
    Abstract ( 162 )   HTML ( 0 )   PDF (2079KB) ( 304 )  
    This study theoretically investigates chaos in a cavity optomechanical system with Coulomb coupling. The system consists of a Fabry-Pérot cavity with a movable mirror, where Coulomb interactions arise from charging the two movable mirrors. We examine the chaotic dynamics under the influence of both single and bichromatic laser fields. The single laser field represents a system driven exclusively by the pump field, whereas the bichromatic field represents simultaneous driving by both the pump and probe fields. In addition to conventional chaos-inducing methods through parameter variations, we demonstrate that increasing the Coulomb coupling strength enhances the system's nonlinearity and induces chaotic behavior. Furthermore, we propose several strategies for generating and controlling chaos, while also identifying the parameter ranges necessary for the resonance of the two mechanical oscillators. Interestingly, when adjusting the driving power in a system driven solely by the pump field, we unexpectedly observe the emergence of high-order sidebands. These findings contribute to the development of chaotic behavior in future cavity optomechanical systems and provide a theoretical basis for applications in physical random number generation and secure communication.
    A novel baseline perspective visibility graph for time series analysis
    Huang-Jing Ni(倪黄晶), Zi-Jie Song(宋紫婕), Jiao-Long Qin(秦姣龙), Ye Wu(吴烨), Shi-Le Qi(戚世乐), and Ming Song(宋明)
    Chin. Phys. B, 2025, 34 (8):  080504.  DOI: 10.1088/1674-1056/adce9a
    Abstract ( 196 )   HTML ( 0 )   PDF (1470KB) ( 364 )  
    The natural visibility graph method has been widely used in physiological signal analysis, but it fails to accurately handle signals with data points below the baseline. Such signals are common across various physiological measurements, including electroencephalograph (EEG) and functional magnetic resonance imaging (fMRI), and are crucial for insights into physiological phenomena. This study introduces a novel method, the baseline perspective visibility graph (BPVG), which can analyze time series by accurately capturing connectivity across data points both above and below the baseline. We present the BPVG construction process and validate its performance using simulated signals. Results demonstrate that BPVG accurately translates periodic, random, and fractal signals into regular, random, and scale-free networks respectively, exhibiting diverse degree distribution traits. Furthermore, we apply BPVG to classify Alzheimer's disease (AD) patients from healthy controls using EEG data and identify non-demented adults at varying dementia risk using resting-state fMRI (rs-fMRI) data. Utilizing degree distribution entropy derived from BPVG networks, our results exceed the best accuracy benchmark (77.01%) in EEG analysis, especially at channels F4 (78.46%) and O1 (81.54%). Additionally, our rs-fMRI analysis achieves a statistically significant classification accuracy of 76.74%. These findings highlight the effectiveness of BPVG in distinguishing various time series types and its practical utility in EEG and rs-fMRI analysis for early AD detection and dementia risk assessment. In conclusion, BPVG's validation across both simulated and real data confirms its capability to capture comprehensive information from time series, irrespective of baseline constraints, providing a novel method for studying neural physiological signals.
    Graph neural networks unveil universal dynamics in directed percolation
    Ji-Hui Han(韩继辉), Cheng-Yi Zhang(张程义), Gao-Gao Dong(董高高), Yue-Feng Shi(石月凤), Long-Feng Zhao(赵龙峰), and Yi-Jiang Zou(邹以江)
    Chin. Phys. B, 2025, 34 (8):  080702.  DOI: 10.1088/1674-1056/add505
    Abstract ( 235 )   HTML ( 0 )   PDF (1192KB) ( 322 )  
    Recent advances in statistical physics highlight the significant potential of machine learning for phase transition recognition. This study introduces a deep learning framework based on graph neural network to investigate non-equilibrium phase transitions, specifically focusing on the directed percolation process. By converting lattices with varying dimensions and connectivity schemes into graph structures and embedding the temporal evolution of the percolation process into node features, our approach enables unified analysis across diverse systems. The framework utilizes a multi-layer graph attention mechanism combined with global pooling to autonomously extract critical features from local dynamics to global phase transition signatures. The model successfully predicts percolation thresholds without relying on lattice geometry, demonstrating its robustness and versatility. Our approach not only offers new insights into phase transition studies but also provides a powerful tool for analyzing complex dynamical systems across various domains.
    M2ANet: Multi-branch and multi-scale attention network for medical image segmentation
    Wei Xue(薛伟), Chuanghui Chen(陈创慧), Xuan Qi(戚轩), Jian Qin(秦健), Zhen Tang(唐振), and Yongsheng He(何永胜)
    Chin. Phys. B, 2025, 34 (8):  080703.  DOI: 10.1088/1674-1056/adce96
    Abstract ( 201 )   HTML ( 3 )   PDF (3828KB) ( 324 )  
    Convolutional neural networks (CNNs)-based medical image segmentation technologies have been widely used in medical image segmentation because of their strong representation and generalization abilities. However, due to the inability to effectively capture global information from images, CNNs can easily lead to loss of contours and textures in segmentation results. Notice that the transformer model can effectively capture the properties of long-range dependencies in the image, and furthermore, combining the CNN and the transformer can effectively extract local details and global contextual features of the image. Motivated by this, we propose a multi-branch and multi-scale attention network (M2ANet) for medical image segmentation, whose architecture consists of three components. Specifically, in the first component, we construct an adaptive multi-branch patch module for parallel extraction of image features to reduce information loss caused by downsampling. In the second component, we apply residual block to the well-known convolutional block attention module to enhance the network's ability to recognize important features of images and alleviate the phenomenon of gradient vanishing. In the third component, we design a multi-scale feature fusion module, in which we adopt adaptive average pooling and position encoding to enhance contextual features, and then multi-head attention is introduced to further enrich feature representation. Finally, we validate the effectiveness and feasibility of the proposed M2ANet method through comparative experiments on four benchmark medical image segmentation datasets, particularly in the context of preserving contours and textures. The source code of M2ANet will be released at https://github.com/AHUT-MILAGroup/M2ANet.
    ATOMIC AND MOLECULAR PHYSICS
    Polarization impact on sensitivity of Rydberg atom-based microwave sensors
    Minghao Cai(蔡明皓), Aomao Wei(魏奥贸), Shanshan Chen(陈珊珊), and Yuming Huang(黄聿铭)
    Chin. Phys. B, 2025, 34 (8):  083201.  DOI: 10.1088/1674-1056/add005
    Abstract ( 228 )   HTML ( 0 )   PDF (897KB) ( 105 )  
    We investigate the sensitivity of a Rydberg atom-based microwave sensor under two polarization configurations as a function of local oscillator (LO) microwave field strength. By employing parallel and perpendicular alignments of laser and microwave polarizations in our experimental setup, we study the Autler-Townes (AT) splitting spectrum and optical response of probe transmission, and analyze their sensing effects. The results show that the parallel polarization configuration offers higher gain and better sensitivity than the perpendicular configuration. We achieve a sensitivity of 4.150(69) $\mathrm{nV}\cdot {\mathrm{cm}}^{-1}\cdot {\mathrm{Hz}}^{-1/2}$ at an LO microwave field strength of 1.74 mV/cm. This work demonstrates the significant role of polarization alignment on the performance of Rydberg atom-based microwave sensors.
    Theoretical investigation of elliptical high-order harmonic generation from H2+ in two-color cross-linearly-polarized laser fields
    Cai-Ping Zhang(张彩萍), Si-Hui Wang(王思慧), Yu-Zhi Chen(陈育之), Xin-Ru Du(杜欣茹), and Xiang-Yang Miao(苗向阳)
    Chin. Phys. B, 2025, 34 (8):  083301.  DOI: 10.1088/1674-1056/add00a
    Abstract ( 161 )   HTML ( 1 )   PDF (5249KB) ( 161 )  
    We theoretically investigate the elliptical high-order harmonic generation from H$_{2}^{+}$ in two-color cross-linearly-polarized laser fields by numerically solving the two-dimensional time-dependent Schrödinger equation. Numerical simulations show that the crossing-angle-dependent harmonic ellipticity exhibits a prominent antisymmetric structure, which tends to disappear as the internuclear distance increases. Furthermore, ground-state electrons experience resonant transitions to the first excited state at larger internuclear distances, where the disruption of symmetric electron motion suppresses the antisymmetric structure. Additionally, a near-circularly-polarized attosecond pulse can be obtained by modulating the crossing angle.
    ELECTROMAGNETISM, OPTICS, ACOUSTICS, HEAT TRANSFER, CLASSICAL MECHANICS, AND FLUID DYNAMICS
    Dynamic and polarization-independent high-Q guided resonances in metasurfaces with phase change material
    Guozhong Zhang(张国忠), Mimi Zhou(周秘密), Hong Xiang(向红), and Dezhuan Han(韩德专)
    Chin. Phys. B, 2025, 34 (8):  084201.  DOI: 10.1088/1674-1056/add1bb
    Abstract ( 153 )   HTML ( 1 )   PDF (4751KB) ( 150 )  
    Using periodic refractive index perturbations, the Brillouin zone is folded, transforming the guided modes in a metasurface into guided resonances with arbitrarily high quality-factors. The incorporation of phase change materials within the metasurface enables dynamic modulation of the guided modes. The system's symmetry ensures a polarization-independent response under normal incidence. Furthermore, the metasurface exhibits excellent sensing performance, demonstrating its potential for advanced photonic applications.
    Quasi-two-dimensional isotropic laser cooling of atoms for quantum sensing
    Xiao Zhang(张孝), Yi Song(宋屹), Yuan Sun(孙远), and Liang Liu(刘亮)
    Chin. Phys. B, 2025, 34 (8):  084202.  DOI: 10.1088/1674-1056/add4f7
    Abstract ( 143 )   HTML ( 1 )   PDF (1791KB) ( 316 )  
    Isotropic laser cooling (ILC) is widely recognized for its distinct advantages and demonstrates significant potential in quantum precision measurements and quantum sensing technologies. The morphology and density distribution of the cold atomic cloud generated by ILC are strongly influenced by the distribution of cooling light and the structural geometry of the cavity, making precise characterization and optimization of cold atom distribution essential for practical applications. In this paper, we present an innovative flat diffuse cavity design with the dimensions approximating a quasi-two-dimensional configuration, which generates a sheet-like isotropic laser field inside the cavity through diffuse reflections. We thoroughly characterized the system's performance under different optical parameter settings. A two-dimensional (2D) movable detection system was employed to detect the quasi-two-dimensional distribution of cold atoms. These results demonstrate the ability of ILC to produce diverse morphological and density distributions of cold atoms, which we anticipate will be suitable for quantum sensing.
    Simultaneous second and third harmonics generation in periodically poled lithium niobate: Coupling and competition
    Junming Liu(刘峻铭), Liqiang Liu(刘励强), Lihong Hong(洪丽红), and Zhiyuan Li(李志远)
    Chin. Phys. B, 2025, 34 (8):  084203.  DOI: 10.1088/1674-1056/add24a
    Abstract ( 168 )   HTML ( 0 )   PDF (1285KB) ( 209 )  
    Conventional approaches for obtaining the second and third harmonics typically employ several nonlinear crystals to generate them, which is restricted in application due to the complexity of the optical path and the bulkiness of the device. In this work, we present a comprehensive theoretical and numerical investigation of the simultaneous generation and competition between the second harmonic waves (SHW) and the third harmonic waves (THW) in a single nonlinear crystal. Through analyzing both small-signal and large-signal regimes, we reveal the complex coupling mechanisms between SHW and THW generation processes. Using periodically poled lithium niobate as an example, we demonstrate that the relative conversion efficiencies between SHW and THW can be freely adjusted by controlling the input fundamental wave power. This work provides new insights for designing efficient frequency converters capable of generating both SHW and THW outputs with controllable intensity ratios.
    Generation ofWatt-level Kerr-lens mode-locked Yb:CYA laser at 1-GHz repetition rate
    Guodong Zhao(赵国栋), Junyi Ma(马骏逸), Hainian Han(韩海年), Zhaohua Wang(王兆华), and Zhiyi Wei(魏志义)
    Chin. Phys. B, 2025, 34 (8):  084204.  DOI: 10.1088/1674-1056/adcf8b
    Abstract ( 150 )   HTML ( 0 )   PDF (631KB) ( 167 )  
    We report on a Kerr-lens mode-locked (KLM) femtosecond Yb:CaYAlO$_{4}$ (Yb:CYA) laser operating at a repetition rate of 1.04 GHz, pumped by a single-mode fiber laser. The laser delivers an average output power of 1.37 W with a pulse duration of 109 fs. Potential improvements, including scaling the pump power, increasing the repetition rate, and further reducing the pulse duration, are discussed. This study contributes to the advancement of Watt-level GHz femtosecond laser generation and its applications.
    Stabilized adaptive waveform inversion for enhanced robustness in Gaussian penalty matrix parameterization and transcranial ultrasound imaging
    Jun-Jie Zhao(赵俊杰), Shan-Mu Jin(金山木), Yue-Kun Wang(王月坤), Yu Wang(王裕), and Ya-Hui Peng(彭亚辉)
    Chin. Phys. B, 2025, 34 (8):  084301.  DOI: 10.1088/1674-1056/add4f3
    Abstract ( 177 )   HTML ( 0 )   PDF (4128KB) ( 189 )  
    Achieving high-resolution intracranial imaging in a safe and portable manner is critical for the diagnosis of intracranial diseases, preoperative planning of craniotomies and intraoperative management during craniotomy procedures. Adaptive waveform inversion (AWI), a variant of full waveform inversion (FWI), has shown potential in intracranial ultrasound imaging. However, the robustness of AWI is affected by the parameterization of the Gaussian penalty matrix and the challenges posed by transcranial scenarios. Conventional AWI struggles to produce accurate images in these cases, limiting its application in critical medical settings. To address these issues, we propose a stabilized adaptive waveform inversion (SAWI) method, which introduces a user-defined zero-lag position for the Wiener filter. Numerical experiments demonstrate that SAWI can achieve accurate imaging under Gaussian penalty matrix parameter settings where AWI fails, perform successful transcranial imaging in configurations where AWI cannot, and maintain the same imaging accuracy as AWI. The advantage of this method is that it achieves these advancements without modifying the AWI framework or increasing computational costs, which helps to promote the application of AWI in medical fields, particularly in transcranial scenarios.
    PHYSICS OF GASES, PLASMAS, AND ELECTRIC DISCHARGES
    Simulation of capacitively coupled Ar/O2 discharges based on global/equivalent circuit model and an extended reaction set
    Yi Wang(王怡), Wan Dong(董婉), Yi-Fan Zhang(张逸凡), Liu-Qin Song(宋柳琴), and Yuan-Hong Song(宋远红)
    Chin. Phys. B, 2025, 34 (8):  085201.  DOI: 10.1088/1674-1056/add4e5
    Abstract ( 150 )   HTML ( 0 )   PDF (794KB) ( 257 )  
    Radio frequency capacitively coupled plasmas (RF CCPs) operated in Ar/O$_{2}$ gas mixtures which are widely adopted in microelectronics, display, and photovoltaic industry, are investigated based on an equivalent circuit model coupled with a global model. This study focuses on the effects of singlet metastable molecule $\mathrm{O}_{2}\big( {\rm b}^{1}\mathrm{\Sigma }_{\rm g}^{+} \big)$, highly excited Herzberg states $\mathrm{O}_{2}\big( {\mathrm{A}{}^{3}\mathrm{\Sigma }_{\mathrm{u}}^{+}, {\rm A}}{}^{3}\mathrm{\Delta }_{\mathrm{u}},\mathrm{c}^{1}\mathrm{\Sigma }_{\mathrm{u}}^{-} \big)$, and the negative ion $\mathrm{O}_{2}^{-}$, which are usually neglected in simulation studies. Specifically, their impact on particle densities, electronegativity, electron temperature, voltage drop across the sheath, and absorbed power in the discharge is analyzed. The results indicate that $\mathrm{O}_{2}\left( {\rm b}^{1}\mathrm{\Sigma }_{\rm g}^{+} \right)$ and $\mathrm{O}_{2}^{-}$ exhibit relatively high densities in argon-oxygen discharges. While $\mathrm{O}_{2}\big( {\mathrm{A}{}^{3}\mathrm{\Sigma }_{\mathrm{u}}^{+}, {\rm A}}{}^{3}\mathrm{\Delta }_{\mathrm{u}},\mathrm{c}^{1}\mathrm{\Sigma }_{\mathrm{u}}^{-} \big)$ play a critical role in $\mathrm{O}_{2}\left( {\rm b}^{1}\mathrm{\Sigma }_{\rm g}^{+} \right)$ production, especially at higher pressure. The inclusion of these particles reduces the electronegativity, electron temperature, and key species densities, especially the $\mathrm{O}^{-}$ and $\mathrm{O}^{\ast}$ densities. Moreover, the sheath voltage drop, as well as the inductance and resistance of the plasma bulk are enhanced, while the sheath dissipation power and total absorbed power decrease slightly. With the increasing pressure, the influence of these particles on the discharge properties becomes more significant. The study also explores the generation and loss of main neutral species and charged particles within the pressure range of 20 mTorr-100 mTorr (1 Torr = 1.33322$\times10^2$ Pa), offering insights into essential and non-essential reactions for future low-pressure O$_{2}$ and Ar/O$_{2}$ CCP discharge modeling.
    Influence of grid on the extraction characteristics of different charged ions in mixed ion beams
    Ao Xu(徐翱), Xiang Wan(万翔), and Pingping Gan(甘娉娉)
    Chin. Phys. B, 2025, 34 (8):  085202.  DOI: 10.1088/1674-1056/add4e0
    Abstract ( 158 )   HTML ( 0 )   PDF (1441KB) ( 84 )  
    The extraction characteristics of multi-charged ions produced by ion sources are important for some useful applications. In this paper, the extraction process of Cu$^{+}$, Cu$^{2+}$, Cu$^{3+}$, and Cu$^{4+}$ mixed ions is simulated by setting ideal physical parameters in a two-dimensional particle-in-cell (PIC) code, and the evolution characteristics of density and velocity distributions of different charged ions during plasma (density about 10$^{15}$ m$^{-3}$) motion and extraction are presented. Besides, the effects of grid thickness and grid aperture on the motion behavior of different charged ions and the extracted ion current are analyzed. The results showed that the ion diffusion increases with the increase of the ion charge, and higher charged ions are more likely to be affected by the grid. This provides support for further understanding of the extraction characteristics of multi-charged mixed ion beams.
    CONDENSED MATTER: STRUCTURAL, MECHANICAL, AND THERMAL PROPERTIES
    Optimization of glass-forming ability and synergistic enhancement of strength plasticity in Cu50Zr46Al4 metallic glasses through Ag additions
    Dongmei Li(李冬梅), Zhongyi Zhang(张忠一), Bolin Shang(尚博林), Rui Feng(丰睿), Xuefeng Li(李雪枫), and Peng Yu(余鹏)
    Chin. Phys. B, 2025, 34 (8):  086107.  DOI: 10.1088/1674-1056/adcea1
    Abstract ( 176 )   HTML ( 1 )   PDF (1912KB) ( 161 )  
    Bulk metallic glasses (BMGs) are typically characterized by high strength and elasticity. However, they generally demonstrate a deficiency in plastic deformation capability at room temperatures. In this work, Cu$_{50-x}$Zr$_{46}$Al$_{4}$Ag$_{x}$ ($x=0$, 1, 2, 3, 4) alloys were prepared by arc melting and copper mold casting to investigate their structure, glass-forming ability, and mechanical properties. The results show that the addition of Ag can increase the parameter of $\Delta T_{x}$ and $\gamma $ in Cu$_{50}$Zr$_{46}$Al$_{4}$ alloy by 116% and 1.5% respectively, effectively enhancing its thermal stability and glass-forming ability. Compressive fracture tests reveal that the addition of Ag can significantly improve the yield strength, ultimate strength, and plasticity of the Cu$_{50}$Zr$_{46}$Al$_{4}$ alloy. Specifically, with the Ag addition of 1 at.%, the alloy's ultimate strength and plasticity increased by 71.8% and 21 times, respectively. Furthermore, the introduction of Ag can effectively control the free volume content in the Cu$_{50}$Zr$_{46}$Al$_{4}$ alloy, thereby tuning the hardness of the material. This work provides valuable insights into improving the mechanical performance of BMGs through micro-alloying approaches.
    Quantum phase transitions with eigen microstate approach in one-dimensional transverse-field Ising model
    Zhongshan Su(苏中山), Yuan Jiang(江源), Gaoke Hu(胡高科), Yue-Hua Su(苏跃华), Liangsheng Li(李粮生), Wen-Long You(尤文龙), Maoxin Liu(刘卯鑫), and Xiaosong Chen(陈晓松)
    Chin. Phys. B, 2025, 34 (8):  086401.  DOI: 10.1088/1674-1056/add1c0
    Abstract ( 184 )   HTML ( 0 )   PDF (738KB) ( 137 )  
    We propose an eigen microstate approach (EMA) for analyzing quantum phase transitions in quantum many-body systems, introducing a novel framework that does not require prior knowledge of an order parameter. Using the transverse-field Ising model (TFIM) as a case study, we demonstrate the effectiveness of EMA by identifying key features of the phase transition through the scaling behavior of eigenvalues and the structure of associated eigen microstates. Our results reveal substantial changes in the ground state of the TFIM as it undergoes a phase transition, as reflected in the behavior of specific components $\xi^{(k)}_i$ within the eigen microstates. This method is expected to be applicable to other quantum systems where predefining an order parameter is challenging.
    CONDENSED MATTER: ELECTRONIC STRUCTURE, ELECTRICAL, MAGNETIC, AND OPTICAL PROPERTIES
    Anisotropic displacement threshold energy and defect distribution in diamond: PKA energy and temperature effect
    Ke Wu(吴可), Zeyi Du(杜泽依), Hongyang Liu(刘洪洋), Nanyun Bao(包南云), Chengke Xu(许成科), Hongrui Wang(王泓睿), Qunchao Tong(童群超), Bo Chen(陈博), Dongdong Kang(康冬冬), Guang Wang(王广), and Jiayu Dai(戴佳钰)
    Chin. Phys. B, 2025, 34 (8):  087104.  DOI: 10.1088/1674-1056/add4f8
    Abstract ( 213 )   HTML ( 0 )   PDF (1157KB) ( 327 )  
    Diamond is a promising semiconductor material for future space exploration, owing to its unique atomic and electronic structures. However, diamond materials and related devices still suffer from irradiation damage under space irradiation involving high-energy irradiating particles. The study of the generation and evolution of point defects can help understand the irradiation damage mechanisms in diamond. This study systematically investigated the defect dynamics of diamond in 162 crystallographic directions uniformly selected on a spherical surface using molecular dynamics simulations, with primary knock-on atom (PKA) energies up to 20 keV, and temperatures ranging from 300 K to 1800 K. The results reveal that the displacement threshold energy of diamond changes periodically with crystallographic directions, which is related to the shape of potential energy surface along that direction. Additionally, the number of residual defects correlates positively with PKA energy. However, temperature has dual competing effects: while it enhances the probability of atomic displacement, it simultaneously suppresses the probability of defect formation by accelerating defect recombination. The calculation of sparse radial distribution function indicates that the defect distribution shows a certain degree of similarity in the short-range region across different PKA energies. As the PKA energy increases, defect clusters tend to become larger in size and more numerous in quantity. This study systematically investigates the anisotropy of displacement threshold energy and elucidates the relationship between various irradiation conditions and the final states of irradiation-induced defects.
    Ground state of electron-doped t-t0-J model on cylinders: An investigation of finite size and boundary condition effects
    Yang Shen(沈阳), Xiangjian Qian(钱湘坚), and Mingpu Qin(秦明普)
    Chin. Phys. B, 2025, 34 (8):  087105.  DOI: 10.1088/1674-1056/add00b
    Abstract ( 243 )   HTML ( 0 )   PDF (1468KB) ( 311 )  
    We perform a comprehensive study of the electron-doped $t$-$t'$-$J$ model on cylinders with density matrix renormalization group (DMRG). We conduct a systematic study on the finite-size and boundary condition effects on $t$-$t'$-$J$ model on cylinders. Periodic and anti-periodic boundary conditions are implemented along the circumference direction, with the system's width extending up to as large as 8 lattice units. We study doping levels of $1/6$, $1/8$, and $1/12$, which represent the most interesting region in the phase diagram of electron-doped cuprates. We find that for width-4 and width-6 systems, the ground state for fixed doping switches between anti-ferromagnetic Neel state and stripe state under different boundary conditions and system widths, indicating the presence of large finite size effect in the $t$-$t'$-$J$ model. We also have a careful analysis of the d-wave pairing correlations which also change quantitatively with boundary conditions and widths of the system. However, the pairing correlations are enhanced when the system becomes wider for all dopings, suggesting the existence of possible long-range superconducting order in the thermodynamic limit. The width-8 results are found to be dependent on the starting state in the DMRG calculation for the kept states we can reach. For the width-8 system, only Neel (stripe) state can be stabilized in DMRG calculation for $1/12$ ($1/6$) doping, while both stripe and Neel states are stable in the DMRG sweep for $1/8$ doping, regardless of the boundary conditions. These results indicate that $1/8$ doping is likely to lie on the boundary of a phase transition between the Neel phase with lower doping and the stripe phase with higher doping, consistent with the previous study. The sensitivity of the ground state on boundary conditions and size observed for narrow systems is similar to that found in the $t'$-Hubbard model, where the $t'$ term introduces frustration and makes the stripe state fragile. The study of different boundary conditions provides a useful tool to check the finite size effect in the future DMRG calculations.
    Effect of side group on mechanically induced conductance switching in 4,40-dipyridyl-based single-molecule junctions
    Zhen Wan(万振), Chang-Feng Zheng(郑长风), Lin Liu(刘琳), Yun-Long Ge(葛云龙), Guang-Ping Zhang(张广平), Shuai Qiu(邱帅), Hui Wang(王辉), and Zong-Liang Li(李宗良)
    Chin. Phys. B, 2025, 34 (8):  087202.  DOI: 10.1088/1674-1056/adce98
    Abstract ( 194 )   HTML ( 0 )   PDF (3162KB) ( 136 )  
    The forming processes of $4,4^{\prime}$-dipyridyl-based single-molecule junctions and mechanically induced conductance switching as well as the side-group effects are systematically investigated by applying the ab initio-based adiabatic geometric optimization method and the one-dimensional transmission combined with three-dimensional correction approximation (OTCTCA) method. The numerical results show that for the $4,4^{\prime}$-dipyridyl with a $\pi$-conjugated phenyl-phosphoryl or diphenylsilyl side group, the pyridyl vertically anchors on the second atomic layer of the pyramid-shaped Au tip electrode at small inter-electrode distances by laterally pushing the apical Au atom aside, which induces stronger pyridyl-electrode coupling and high-conductance state of the formed junctions. As the inter-electrode distance increases, the pyridyl shifts to the apical Au atom of the tip electrode. This apical Au atom introduces additional scatterings to the tunneling electrons and significantly decreases the conductance of the junctions. Furthermore, for the $4,4^{\prime}$-dipyridyl with a phenyl-phosphoryl side group, the probability of manifesting the high-conductance state is decreased due to the oxygen atom reducing the probability of the pyridyl adsorbing on the second layer of Au tip electrode. In contrast, for the $4,4^{\prime}$-dipyridyl with a non-conjugated cyclohexyl-phosphoryl side group, the steric hindrance from the bulky cyclohexyl group leads the molecule to preferentially form the O-Au contact, which prevents both the high conductance and mechanically induced conductance switching of the junction. Our results provide a theoretical understanding of the side-group effects on electronic transport properties of single-molecule junctions, offering an alternative explanation for the experimental observations.
    Quantum oscillations in TaCo2Te2 thin flakes
    Ruiyang Jiang(蒋睿阳), Tian Le(乐天), Yunteng Shi(石云腾), Changcun Li(李长存), Xinyi Zheng(郑新义), Xingchen Guo(郭兴宸), Bingbing Tong(仝冰冰), Peiling Li(李沛岭), Ziwei Dou(窦子威), Xiaohui Song(宋小会), Jie Shen(沈洁), Zhaozheng Lyu(吕昭征), Guangtong Liu(刘广同), Fucai Liu(刘富才), Li Lu(吕力), and Fanming Qu(屈凡明)
    Chin. Phys. B, 2025, 34 (8):  087307.  DOI: 10.1088/1674-1056/add5ce
    Abstract ( 136 )   HTML ( 1 )   PDF (1025KB) ( 205 )  
    The ternary transition-metal telluride TaCo$_{2}$Te$_{2}$ has been reported to host a topological band structure characterized by a nontrivial Berry phase. While transport properties have been investigated in both bulk crystals and thick flakes ($>$150 nm), studies on thin flakes ($< 100 $ nm) of this van der Waals (vdW) material remain scarce. We investigate the low-temperature transport properties of TaCo$_{2}$Te$_{2}$ thin flakes by fabricating Hall bar devices on mechanically exfoliated flakes with different thicknesses (15 nm and 90 nm). Temperature-dependent resistance measurements reveal that the 15-nm-thick sample exhibits a lower residual resistivity ratio and Debye temperature compared to the 90-nm-thick one. Magnetotransport measurements under perpendicular magnetic fields up to $\pm 14$ T demonstrate lower magnetoresistance, carrier concentration, and mobility in the thinner sample, suggesting increased phonon scattering due to defect-induced disorder. Remarkably, pronounced Shubnikov-de Haas (SdH) oscillations are observed above 8 T in both samples in spite of the defect-induced disorder. Analysis of the Landau fan diagram yields a non-zero Berry phase in both samples, indicating the existence of a topologically non-trivial phase in TaCo$_{2}$Te$_{2}$ thin flakes. Our findings establish TaCo$_{2}$Te$_{2}$ as a promising candidate for exploring intrinsic topological states in layered materials.
    Surface reconstruction modulated superconductivity on quasi-2D iron pnictide superconductor KCa2Fe4As4F2
    Wenjing Zeng(曾文静), Zongyuan Zhang(张宗源), Xiaoyan Dong(董晓燕), Yubing Tu(涂玉兵), Yanwei Wu(吴彦玮), Teng Wang(王腾), Fan Zhang(张凡), Shuai Shao(邵帅), Jie Hou(侯杰), Xingyuan Hou(侯兴元), Ning Hao(郝宁), Gang Mu(牟刚), and Lei Shan(单磊)
    Chin. Phys. B, 2025, 34 (8):  087402.  DOI: 10.1088/1674-1056/add5cb
    Abstract ( 188 )   HTML ( 0 )   PDF (1812KB) ( 149 )  
    Iron-based superconductors (FeSCs) feature a complex phase diagram, and their diverse cleavage terminations offer a versatile platform for modulating surface electronic states and investigating the underlying superconducting mechanisms. In this study, we explore the surface modulation of KCa$_{2}$Fe$_{4}$As$_{4}$F$_{2}$ using scanning tunneling microscopy/spectroscopy. Cryogenically cleaved surfaces reveal multiple configurations, including $\sqrt 2 \times \sqrt 2$ reconstruction, $1 \times 2$ and $1 \times 3$ stripes, as well as nanoscale vacancies. Reducing potassium coverage induces hole doping, which shifts the density of states peak toward the Fermi level and suppresses the superconducting gap from 4.8 meV to 3.2 meV. This behavior is reminiscent of the Van Hove singularity observed in hole-doped 122-type FeSCs. The band structure does not undergo a simple rigid shift, and the evolution of superconductivity can be attributed to the interplay between surface carriers and electronic correlations. Additionally, a V-shaped gap is observed at a unique location preserving the FeAs bilayer structure, where interlayer coupling effects are likely involved. The diversity of surface structures and electronic states in K12442 enhances our understanding of FeSCs and facilitates the modulation and application of FeAs superconducting layers.
    Effect of interlayer interaction on magnon properties of vdW honeycomb heterostructures
    Jun Shan(单俊), Lichuan Zhang(张礼川), Huasu Fu(付华宿), Yuee Xie(谢月娥), Yuriy Mokrousov, and Yuanping Chen(陈元平)
    Chin. Phys. B, 2025, 34 (8):  087501.  DOI: 10.1088/1674-1056/adce97
    Abstract ( 171 )   HTML ( 0 )   PDF (5412KB) ( 128 )  
    Interlayer interactions in bilayer or multilayer electron systems have been studied extensively, and many exotic physical phenomena have been revealed. However, systematic investigations of the impact of interlayer interactions on magnonic physics are very few. Here, we use a van der Waals (vdW) honeycomb heterostructure as a platform to investigate the modulation of magnon properties in honeycomb AA- and AB-stacking heterostructures with ferromagnetic and antiferromagnetic interlayer interactions, including topological phases and thermal Hall conductivity. Our results reveal that interlayer interactions play a crucial role in modulating the magnonic topology and Hall transport properties of magnetic heterostructures, with potential for experimental realization.
    Wideband near-infrared emission from GaScO3:Cr3+ phosphors with a perovskite structure
    Chong Li(李翀), Mengyu Zhang(张梦宇), Chuancheng Zhang(张传成), Wenzhi Su(宿文志), Yong Zou(邹勇), Shoujun Ding(丁守军), and Qingli Zhang(张庆礼)
    Chin. Phys. B, 2025, 34 (8):  087502.  DOI: 10.1088/1674-1056/add506
    Abstract ( 165 )   HTML ( 0 )   PDF (2777KB) ( 197 )  
    Cr$^{3+}$-activated phosphors have attracted significant attention for their tunable emission, spanning narrow-band red to broadband near-infrared (NIR) luminescence, depending on the crystal field environment. Here, we report the realization of wideband NIR emission in Cr$^{3+}$-doped GaScO$_{3}$ (GaScO$_{3}$:Cr$^{3+}$) phosphors with perovskite structure. The phosphors were synthesized by traditional solid-state reaction method. The first-principles calculations were conducted and the results demonstrate that the octahedral [GaO$_6$] sites exhibit relatively weak crystal field strength ($Dq/B\approx 2.2$), facilitating efficient spin-allowed transitions of Cr$^{3+}$ from the $^{4}$T$_{2}$ state to the $^{4}$A$_{2}$ state. The photoluminescence spectroscopy revealed an exceptionally broad NIR emission band from a range of 700 nm-1200 nm with full width at half maximum (FWHM) of 145 nm under 465-nm excitation. Overall, these results highlight the viability of GaScO$_{3}$:Cr$^{3+}$ as a highly promising material for wideband NIR applications.
    Investigation of magnetic domain evolutions and microstructural changes in Pr-Dy-Cu modified Nd-Fe-B magnets
    Peng Shen(沈鹏), Hui-Dong Qian(千辉东);, Jingzhi Han(韩景智);, Tao Liu(刘涛), Zhen Yan(闫震), Ming Ji(姬明), Lei Zhou(周磊), Weiqiang Liu(刘卫强), Shunquan Liu(刘顺荃), Wenyun Yang(杨文云), Yan Li(李岩), Huihui Cao(曹慧慧), Ming Yue(岳明), Jinbo Yang(杨金波);, and Yingchang Yang(杨应昌)
    Chin. Phys. B, 2025, 34 (8):  087503.  DOI: 10.1088/1674-1056/adda0c
    Abstract ( 141 )   HTML ( 0 )   PDF (4335KB) ( 151 )  
    The enhancement of coercivity in Nd-Fe-B sintered magnets modified by Pr$_{58}$Dy$_{10}$Cu$_{32}$ alloy was investigated through scanning electron microscope (SEM) and in-situ magneto-optic Kerr effect (MOKE) microscopy. The modification treatment resulted in the formation of a smooth and continuous weakly magnetic grain boundary layer and the (Nd,Pr,Dy)$_{2}$Fe$_{14}$B main phase with a high magnetocrystalline anisotropy field, leading to an increased coercivity of 23 kOe. MOKE observations revealed that the dynamic evolution of the maze domain area under an external magnetic field varied significantly between the original and modified magnets. Compared with the original magnets, the modified magnets exhibited a slower decrease in maze domain area during magnetization and a slower increase during reverse magnetization, contributing to the observed coercivity enhancement.
    Improved ferroelectricity in Mn-doped HfO2 (111) epitaxial thin films through controlled doping and substrate orientation
    Jiayi Gu(顾嘉仪), Haiyi Zhang(张海义), Weijin Pan(潘炜进), Haifeng Bu(卜海峰), Zhijian Shen(沈志健), Shengchun Shen(沈胜春), Yuewei Yin(殷月伟), and Xiaoguang Li(李晓光)
    Chin. Phys. B, 2025, 34 (8):  087701.  DOI: 10.1088/1674-1056/add1bc
    Abstract ( 194 )   HTML ( 0 )   PDF (1062KB) ( 360 )  
    Doped HfO$_2$ as an emerging ferroelectric material, holds considerable promise for non-volatile memory applications. Epitaxial growth of doped HfO$_2$ thin films is widely adopted as an effective technique for revealing the intrinsic ferroelectric properties. In this study, based on systematic structural, chemical and electrical investigations, the influences of Mn doping and substrate orientation on ferroelectric properties of Mn-doped HfO$_2$ epitaxial thin films are investigated. The results demonstrate that Mn-doped HfO$_2$ thin films with orthorhombic phase can be epitaxially grown along [111] out-of-plane direction on both SrTiO$_{3}$ (001) and (110) substrates, and 10% Mn-doping significantly stabilizes the orthorhombic polar phase and enhances the ferroelectric polarization. Interestingly, compared to the films on SrTiO$_{3}$ (001) substrate, the better crystallinity and reduction of oxygen vacancy amount in Mn-doped HfO$_2$ films grown on the SrTiO$_{3}$ (110) substrate are observed, which enhance the remanent polarization and reduce the coercive field. It provides an effective approach for the controllable regulation of defects and the enhancement of intrinsic ferroelectricity in HfO$_2$-based materials.
    Piezo-phototronic effect on intersubband optical absorption in ZnO/MgZnO quantum wells
    Yuchang Liu(刘羽畅), Jiuzhou Chen(陈九州), Yonglong Yang(杨永龙), Xiaolong Pan(潘小龙), Xin Xue(薛鑫), Minjiang Dan(但敏江), Zhengwei Xiong(熊政伟), and Zhipeng Gao(高志鹏)
    Chin. Phys. B, 2025, 34 (8):  087802.  DOI: 10.1088/1674-1056/adce93
    Abstract ( 146 )   HTML ( 0 )   PDF (822KB) ( 178 )  
    Intersubband transition in ZnO/MgZnO quantum well has been exploited for infrared and terahertz optoelectronic applications due to its large band offset and fascinating material properties. Here, we theoretically demonstrate piezo-phototronic effect as another way to control the intersubband absorption wavelength through quantum-confined Stark effect. The intersubband optical absorption properties under different stresses are obtained by solving the eight-band $k\cdot p$ Hamiltonian and coupled Schrödinger-Poisson equations self-consistently. By combining stress control and quantum well structure, the absorption wavelength can show infrared blueshift or redshift phenomena in a wide range. This work can provide an effective avenue to control and utilize quantum-confined Stark effect in intersubband infrared absorption and promote the relative potential optoelectronic devices.
    INTERDISCIPLINARY PHYSICS AND RELATED AREAS OF SCIENCE AND TECHNOLOGY
    Phase-field modeling of effect of Ni on formation and phase transformation of Cu-rich phase in Fe-Cu-Ni alloys
    Ming-Guang Wei(位明光), Zhong-Wen Zhang(张中文), Min Cui(崔敏), Yuan-Bin Zhang(张元彬), and Tong-Guang Zhai(翟同广)
    Chin. Phys. B, 2025, 34 (8):  088103.  DOI: 10.1088/1674-1056/add501
    Abstract ( 131 )   HTML ( 0 )   PDF (1726KB) ( 195 )  
    A phase-field model integrated with the thermodynamic databases was constructed to investigate the impact of Ni content on the precipitation kinetics and phase transformation of the Cu-rich phase in Fe-Cu-Ni alloy at 773 K. The results demonstrated that the Cu core-Ni shell structures form via the decomposition of Cu-Ni co-clusters, which is consistent with previous experimental results. As the Ni content increases, both the volume fraction and number density of Cu-rich precipitates increase, while their size decreases. With the increase in Ni content, the transformation from $\alpha $ Cu to 9R Cu is accelerated, which is the opposite to the result of increasing Mn content. Magnetic energy can increase the nucleation rate of the Cu-rich phase, but it does not affect the phase transformation driving force required for its crystal structure transformation.
    Microstructural evolution and magnetocaloric properties of off-stoichiometric La1.2Fe11.6Si1.4 alloys with interstitial C atoms
    Huiyan Zhang(张慧燕), Ye Zhu(朱叶), Fucheng Zhu(朱福成), Yang Xu(许旸), Yunbo Chen(陈云博), Hailing Li(李海玲), Weihua Gu(顾未华), Zhiyuan Liu(刘志愿), Weihuo Li(李维火), and Ailin Xia(夏爱林)
    Chin. Phys. B, 2025, 34 (8):  088202.  DOI: 10.1088/1674-1056/adce94
    Abstract ( 137 )   HTML ( 2 )   PDF (2853KB) ( 145 )  
    This study investigated the effects of interstitial carbon doping on the microstructural and magnetocaloric properties of off-stoichiometric La$_{1.2}$Fe$_{11.6}$Si$_{1.4}$C$_{x}$ ($x = 0$, 0.25, 0.5, 0.75, 1) alloys. The alloys were prepared by melt-spinning following vacuum arc-melting. For the as-prepared and annealed samples, the carbon existed in the La$_{2}$Fe$_{2}$Si$_{2}$C and NaZn$_{13}$-type La(Fe, Si)$_{13}$ (denoted by 1:13) phases, respectively. During the annealing process, the C atoms inhibited the diffusion reaction and depressed the generation of 1:13 phase, reducing mass fraction of the 1:13 phase in annealed La$_{1.2}$Fe$_{11.6}$Si$_{1.4}$C$_{x} $ compounds. The introduction of carbon resulted in lattice expansion and increased the Curie temperature ($T_{\rm C}$) from 192 K to 273 K with $x = 0.5$. The first-order magnetic transition was gradually transformed into the second-order magnetic transition with increasing carbon content, which induced the significant reduction of thermal and magnetic hysteresis, as well as the maximum magnetic entropy change and adiabatic temperature change vary from 18.92 J/(kg$\cdot$K) to 4.60 J/(kg$\cdot$K) and from 4.9 K to 2.2 K under an applied field change of 0-2 T. The results demonstrate that interstitial carbon doping is an effective strategy to improve the magnetocaloric performance of La(Fe,Si)$_{13}$ alloys.
    Self-powered broadband photodetector based on pyramid-structured Si/TiO2 heterojunction
    Leyao Wu(吴乐瑶), Xinnan Shi(师馨楠), Haibo Fan(范海波), Qiujie Li(李秋洁), Peng Hu(胡鹏), and Feng Teng(滕凤)
    Chin. Phys. B, 2025, 34 (8):  088501.  DOI: 10.1088/1674-1056/add50a
    Abstract ( 717 )   HTML ( 0 )   PDF (1743KB) ( 234 )  
    Traditional Si-based photoconductive detectors face problems such as low response in the ultraviolet (UV) and infrared regions, high dark current, and low light absorption efficiency, which seriously limit their applications in the field of high-performance wide-spectrum detection. In this study, a self-powered broadband photodetector based on a Si/TiO$_2$ heterojunction is proposed. The detector has a pyramidal structure. By constructing a pyramidal microstructure on the surface of silicon, the light capture and absorption efficiency is significantly improved, representing a breakthrough in response performance in the visible and near-infrared (NIR) bands. In order to further enhance the photoelectric response in the UV band, a TiO$_2$ layer was coated on the surface of the silicon pyramid through a simple spin-coating method and annealing process. The introduction of TiO$_2$ effectively broadened the spectral response range of the photoelectric detector and further improved the light absorption of the device. Meanwhile, due to the built-in electric field formed by the n-TiO$_2$/p-Si heterojunction, the dark current was effectively reduced, and the responsivity was improved. Experiments showed that the device exhibits high responsivity, high detectivity, and relatively low dark current in the range of 365-1305 nm. Under light at 780 nm, the device's on-off ratio reached $2.7 \times 10^3$; its specific detectivity, $D^*$, was $3.9 \times 10^{11}$ Jones; and its responsivity reached 0.174 A/W. In addition, this detector does not require the assistance of expensive equipment. Its preparation process is simple and inexpensive, and there is no need for an external power supply, which gives it broad application potential in wearable devices, environmental monitoring, communications, biosensing, and other fields. This study provides a brand-new strategy for the design of new wide-spectrum detectors.
    Modulation of exchange bias in Py/IrMn films by surface acoustic waves
    Jie Dong(董洁), Shuai Mi(米帅), Meihong Liu(刘美宏), Huiliang Wu(吴辉亮), Jinxuan Shi(石金暄), Huifang Qiao(乔慧芳), Qian Zhao(赵乾), Teng-Fei Zhang(张腾飞), Chenbo Zhao(赵晨博), Jianbo Wang(王建波), and Qingfang Liu(刘青芳)
    Chin. Phys. B, 2025, 34 (8):  088502.  DOI: 10.1088/1674-1056/adce99
    Abstract ( 142 )   HTML ( 0 )   PDF (926KB) ( 149 )  
    We investigate the surface acoustic wave (SAW) modulation of the exchange bias field ($H_{\rm EB}$) in Py/IrMn films deposited on LiNbO$_{3}$ substrates. We measured the anisotropic magnetoresistance (AMR) of the multilayer film when continuous SAW or pulsed SAW were applied and obtained $H_{\rm EB}$. With continuous SAW, the $H_{\rm EB}$ decreases continuously with power. While in the case of pulsed SAW, the $H_{\rm EB}$ first decreases and then stabilizes. Compared to pulsed SAW, the thermal effects from the continuous SAW lead to the continuous decrease of $H_{\rm EB}$ at higher SAW power, which is verified by the measurement of $H_{\rm EB}$ at different temperatures and input currents. Furthermore, our results show that pulsed SAW can effectively avoid thermal effects. The decrease of $H_{\rm EB}$ at smaller power in both continuous and pulsed SAW is mainly due to the SAW-induced dynamic strain field, which leads to a small perturbation in the magnetic moment of the FM layer. Combined with the AMR values measured at different angles during the saturation field, we believe that the SAW-induced dynamic strain field causes a 15$^\circ$ angle between the magnetic moment and the easy axis. Our experiments provide a different approach to manipulating $H_{\rm EB}$, opening up a potential avenue for future manipulation of antiferromagnetic moments.
    Combined effects of oxygen vacancy and copper capping layer on infrared-transparent conductive properties of indium tin oxide films
    Zhuang Ni(倪壮), Hu Wang(王虎), Han-Jun Hu(胡汉军), Lan-Xi Wang(王兰喜), Hu-Lin Zhang(张虎林), Kun Li (李坤), Ying He(贺颖), Hua-Ping Zuo(左华平), and Yan-Chun He(何延春)
    Chin. Phys. B, 2025, 34 (8):  088503.  DOI: 10.1088/1674-1056/adecfe
    Abstract ( 155 )   HTML ( 2 )   PDF (1982KB) ( 168 )  
    Infrared-transparent conductors have attracted considerable attention due to their potential applications in electromagnetic shielding, infrared sensors, and photovoltaic devices. However, most known materials face the critical challenge of balancing high infrared transmittance with high electrical conductivity across the broad infrared spectral band (2.5-25 μm). While ultra-thin indium tin oxide (ITO) films have been demonstrated to exhibit superior infrared transmittance, their inherent low electrical conductivity necessitates additional enhancement strategies. This study systematically investigates the effects of oxygen vacancy concentration regulation and ultra-thin copper capping layer integration on the infrared optoelectronic properties of 20 nm-thick ITO films. A fundamental trade-off is revealed in ITO films that increased oxygen vacancy content enhances the electrical conductivity while compromising the infrared transmittance. Meanwhile, following the introduction of a Cu capping layer, the Cu/ITO system exhibits opposing dependencies of infrared transmittance and electrical conductivity on the capping layer thickness, with an optimum thickness of $\sim 3$ nm. Finally, by constructing a Cu (3 nm)/ITO (20 nm) heterostructure with varying oxygen vacancy content, we demonstrate the combined effect of the ultra-thin Cu capping layer and moderate oxygen vacancy content on optimizing the carrier transport network. This configuration simultaneously minimizes surface/interfacial reflection and absorption losses, achieving high infrared transmittance (0.861) and a low sheet resistance of 400 $\Omega $/sq. Our findings highlight the critical role of the combined effect of metal/oxide heterostructure design and defect engineering in optimizing infrared-transparent conductive properties.
ISSN 1674-1056   CN 11-5639/O4
, Vol. 34, No. 8

Previous issues

1992 - present