Please wait a minute...

当期目录

    2026年, 第35卷, 第3期 刊出日期:2026-02-11 上一期    下一期
    Reducing lattice thermal conductivity via phonon engineering: Strategies for high-performance thermoelectrics
    Yayu Wang(王亚雨), Jue Hou(侯爵), Ming Yang(杨明), and Xingli Zhang(张兴丽)
    2026 (3):  37201-037201.  doi: 10.1088/1674-1056/ae1c22
    摘要 ( 136 )   HTML ( 0 )   PDF(2633KB) ( 80 )  
    Thermoelectric materials convert heat directly into electricity and are therefore promising for energy harvesting and environmental applications. Ideal high-performance thermoelectrics combine ultralow lattice thermal conductivity, $\kappa_{\rm L}$, with high carrier mobility, a paradigm commonly termed phonon-glass electron-crystal. However, strong coupling between electronic and phononic transport complicates simultaneous optimization of these properties. Because $\kappa_{\rm L}$ is largely independent of electronic transport, targeted suppression of $\kappa_{\rm L}$ is an effective route to partially decouple heat and charge transport. This review summarizes recent advances in reducing $\kappa_{\rm L}$ via two complementary approaches: phonon engineering of bulk nanostructured systems and phonon engineering of low-dimensional materials. In bulk systems, $\kappa_{\rm L}$ may be minimized while retaining high electrical conductivity and maximizing the thermoelectric figure of merit $ZT$ by controlling three fundamental phonon parameters: the volumetric specific heat $c_{\rm v}$, the phonon group velocity $v_{\rm g}$, and the phonon relaxation time $\tau $. Low-dimensional architectures, including superlattices, nanowires, and nanocomposites, supply additional levers to suppress lattice heat transport and to tailor the electronic structure. Integrating multiscale and multimodal phonon-control strategies enables significant reductions in $\kappa_{\rm L}$ without sacrificing electronic performance, thereby advancing the phonon-glass electron-crystal paradigm.
    参考文献 | 相关文章 | 计量指标
    Effects of surface roughness and wettability on bubble nucleation of water containing insoluble gas: A molecular dynamics study
    Sicheng Zhang(张思程), Mian Yu(余绵), Bingheng Li(李丙衡), Lianxiang Ma(马连湘), and Yuanzheng Tang(唐元政)
    2026 (3):  34701-034701.  doi: 10.1088/1674-1056/ae3234
    摘要 ( 84 )   HTML ( 0 )   PDF(3515KB) ( 98 )  
    As heat dissipation in micro- and nanoelectronic devices has become a critical bottleneck limiting performance improvement, microscale boiling has attracted increasing attention in recent years. Bubble nucleation in water containing nitrogen as an insoluble gas on copper surfaces with varying roughness and wettability is systematically investigated using molecular dynamics (MD) simulations. The results show that increasing surface roughness significantly enhances bubble nucleation by providing additional nucleation sites. The characteristic time of bubble nucleation in water containing insoluble gas decreases with reduced surface hydrophilicity, which differs markedly from previous MD studies of boiling in pure water. This finding suggests that enhanced adsorption of insoluble gas on hydrophobic surfaces facilitates bubble nucleation, in good agreement with experimental observations. These results provide valuable theoretical insights into microscale boiling heat transfer and offer guidance for optimizing thermal management in micro- and nanoelectronic systems.
    参考文献 | 相关文章 | 计量指标
    Thermal conductivity of carbon nanotubes using nonequilibrium molecular dynamics combined with a machine learning potential
    Jia-Hua Liu(刘嘉华), Shuo Cui(崔硕), Feng Guo(郭峰), Yu-Shi Wen(文玉史), Chun-Liang Ji(纪春亮), and Xiao-Chun Wang(王晓春)
    2026 (3):  36302-036302.  doi: 10.1088/1674-1056/ae3471
    摘要 ( 88 )   HTML ( 0 )   PDF(2914KB) ( 30 )  
    Large-scale and long-time-span nonequilibrium molecular dynamics simulations have been performed to determine the thermal conductivity of single-walled and double-walled carbon nanotubes (CNTs) using a machine learning potential trained on atomic energies and forces from density functional theory calculations for sp$^2$-hybridized carbon. The size dependence of graphene and CNTs up to 1 μm has been studied with 200000 atoms and simulation times up to 5 ns. The simulations reveal that thermal transport, whether ballistic, quasi-ballistic, or diffusive, is determined by the relationship between the sample length and the effective mean-free path (MFP). The system size has less effect on thermal conductivity when the sample length significantly exceeds the MFP. Radial tensile strain in CNTs causes the C-C bond length to increase in smaller-diameter CNTs, resulting in a phonon softening effect that subsequently reduces thermal conductivity. An analytical function is proposed to describe the relationship between phonon relaxation time and nanotube diameter. The thermal conductivity of the double-walled CNT is lower than that of an equivalent-size single-walled CNT. Phonon-phonon scattering, interlayer van der Waals interactions, and degenerate coupling of transverse acoustic modes are considered to contribute to the reduction in thermal transport.
    参考文献 | 补充材料 | 相关文章 | 计量指标
    Improve thermoelectric properties of graphene nanoribbons based on resonant structure engineering
    Yu-Xuan Kang(康宇轩), Shi-Yun Xiong(熊世云), and Hong-Liang Yi(易红亮)
    2026 (3):  37301-037301.  doi: 10.1088/1674-1056/ae1950
    摘要 ( 94 )   HTML ( 0 )   PDF(870KB) ( 130 )  
    Resonant graphene nanoribbons (GNRs), consisting of GNRs with engineered resonant side structures, offer a promising route to suppress low-frequency phonon transport and significantly reduce lattice thermal conductivity, thereby enhancing thermoelectric performance. In this work, we investigate the thermoelectric properties of resonant GNRs using molecular dynamics simulations combined with the linear-scaling quantum transport (LSQT) method, explicitly accounting for electron-phonon coupling. Our results indicate that while resonance structures moderately degrade the electrical conductivity and Seebeck coefficient, they dramatically reduce the lattice thermal conductivity, which far outweighs the electronic transport losses and leads to an overall improvement in thermoelectric performance. By optimizing the key geometric parameters of the resonant structures - height ($H_{\rm Re}$) and period ($L_{\rm p}$) - we achieve a peak ZT of 0.135 at $H_{\rm Re}=1.5$ nm and $L_{\rm p}=7$ nm, representing a threefold enhancement over pristine GNRs. This improvement stems from the decoupling of phonon and electron transport, enabled by resonant phonon localization. Our findings not only elucidate the role of resonant structures in tuning thermoelectric properties but also provide a general strategy for designing high-performance low-dimensional thermoelectric materials through targeted phonon engineering.
    参考文献 | 相关文章 | 计量指标
    Elasticity of quasi-bcc ammonia hemihydrate at high pressures
    Mengqiong Pu(蒲梦琼), Jiacheng Zhang(张家诚), Xinyang Li(李新阳), Xiaomei Yuan(苑晓美), Xue Zhang(张雪), Shuo Gao(高硕), Chenlu Wang(王晨璐), Liang Li(李亮), Fangfei Li(李芳菲), and Qiang Zhou(周强)
    2026 (3):  36101-036101.  doi: 10.1088/1674-1056/ae330a
    摘要 ( 63 )   HTML ( 0 )   PDF(1176KB) ( 25 )  
    Ammonia hydrates are important components in planetary interiors, among which ammonia hemihydrate (AHH) exhibits remarkable stability under high pressure. In this study, we report for the first time the elastic properties of the recently discovered quasibcc ammonia hemihydrate (AHH-$q$bcc) at high pressures, using externally heated diamond anvil cells combined with Raman spectroscopy and Brillouin scattering. We synthesized single crystals of AHH-$q$bcc in the diamond anvil cell (DAC). Subsequently, we measured its full elastic tensor up to 17.6 GPa at room temperature via Brillouin scattering. The results show that the elastic constants increase linearly with increasing pressure. Based on the obtained elastic constants, we calculated the bulk modulus, shear modulus, Poisson's ratio, and velocity anisotropy. The results reveal significant anisotropy in wave velocities and Poisson's ratio on the (110) crystallographic plane of AHH-$q$bcc. Compared to ice VII, AHH-$q$bcc has a lower bulk modulus and shear modulus, yet exhibits a higher compressional wave velocity and a similar shear wave velocity. Our findings provide important constraints for understanding the internal structure and seismic velocity profiles of icy planets.
    参考文献 | 相关文章 | 计量指标
    Structural stability and mechanical properties of NixMoyN ternary nitrides under high pressure: A first-principles study
    Tao Wang(王涛), Ming-Hong Wen(温铭洪), Kai-Xuan Wang(王凯璇), Jia-Mei Liu(刘佳美), Wei-Hua Wang(王伟华), Xu-Ying Wang(王旭颖), and Pei-Fang Li(李培芳)
    2026 (3):  36102-036102.  doi: 10.1088/1674-1056/ae306f
    摘要 ( 50 )   HTML ( 0 )   PDF(1549KB) ( 55 )  
    Transition metal nitrides have attracted significant attention due to their outstanding properties; however, studies on ternary systems under high pressure remain limited. In this work, we systematically investigated the structures and properties of NiMoN compounds in the pressure range of 0-100 GPa by combining crystal structure analysis by particle swarm optimization (CALYPSO) structure prediction with first-principles calculations. To explore more structural possibilities, a large number of candidate structures were predicted and those with potential stability were selected. Among the newly predicted structures, a stable phase $P$2$_{1}$3-NiMo$_{4}$N and a low-energy metastable phase $I$4$_{1}$32-NiMo$_{3}$N are proposed for the first time. The metastable structure $I$4$_{1}$32-NiMo$_{3}$N lies 0.007 eV/atom above the convex hull, whereas the energy of the experimentally synthesized structure Fd3$m$-Ni$_{3}$Mo$_{3}$N is 0.036 eV/atom above the convex hull. Therefore, $I$4$_{1}$32-NiMo$_{3}$N can likely be obtained through experimental synthesis. Phonon and elastic constant calculations confirm the stability of $P$2$_{1}$3-NiMo$_{4}$N and $I$4$_{1}$32-NiMo$_{3}$N, while electronic structure calculations indicate that both exhibit metallic behavior, with Mo-4d orbitals making the primary contribution at the Fermi level. Mechanical property evaluations reveal that $P$2$_{1}$3-NiMo$_{4}$N exhibits high hardness, whereas $I$4$_{1}$32-NiMo$_{3}$N shows relatively lower hardness but enhanced ductility. Under different pressures, both structures exhibit comparable ideal tensile strengths, but their failure mechanisms differ. This study broadens the known structural diversity of NiMoN ternary nitrides and provides theoretical insights into the exploration of high-pressure ternary nitrides.
    参考文献 | 相关文章 | 计量指标
    Physical properties of Cr2S3 at high pressure
    Lun Xiong(熊伦), Mingquan Jiang(江明全), Jinxia Zhu(竹锦霞), Lin Xia(夏林), Hao Wang(王毫), Shenghan Zhang(张升瀚), Pengfei Tang(汤鹏飞), Zhiqiang Chen(陈志强), Sheng Jiang(蒋升), and Hongliang Dong(董洪亮)
    2026 (3):  36103-036103.  doi: 10.1088/1674-1056/ae1cb3
    摘要 ( 64 )   HTML ( 0 )   PDF(1201KB) ( 35 )  
    The compressive behavior of Cr$_{2}$S$_{3}$ in a quasi-hydrostatic environment was investigated by synchrotron x-ray diffraction using silicone oil as the pressure-transmitting medium in a diamond anvil cell. The maximum pressure was 34 GPa. We found that Cr$_{2}$S$_{3}$ undergoes a structural phase transition at a pressure of 8.5 GPa and the bulk modulus before the phase transition was fitted to be 88 GPa, which corresponds to a bulk modulus of 67 GPa calculated by first-principles theory. In addition, we also investigated the electrical resistance of Cr$_{2}$S$_{3}$ at different pressures and temperatures and found that the resistance decreases rapidly with increasing pressure or temperature and then remains almost unchanged with an increase in pressure or temperature. This indicates that Cr$_{2}$S$_{3}$ undergoes a structural phase transition around 8 GPa. In order to accurately confirm the phase transition pressure, high-pressure Raman experiments were used. We found that the position of Raman peak 3 increases approximately linearly at low pressure and remains constant above 8 GPa, indicating that a structural phase transition occurs at 8 GPa. Finally, the deviatoric stress of Cr$_{2}$S$_{3}$ at high pressures was investigated by the linewidth analysis method. The results show that the deviatoric stress increases approximately linearly at low pressures in the range of 2.8-6.2 GPa.
    参考文献 | 相关文章 | 计量指标
    Structural stability and properties of Li2XN6 (X = Be, Mg, Ca) ternary nitrides
    Rui Wang(王睿), Cai-Zi Zhang(张才姿), Qi-Wen Jiang(蒋其雯), En-Yu Wang(王恩宇), Jie Wei(魏杰), and Hong-Yang Zhu(祝洪洋)
    2026 (3):  36201-036201.  doi: 10.1088/1674-1056/ae1f03
    摘要 ( 52 )   HTML ( 0 )   PDF(3135KB) ( 48 )  
    Polynitrogen compounds have attracted significant interest as high-energy-density materials (HEDMs), while their extreme synthesis and preservation conditions hinder their practical applications. Metal incorporation into nitrogen frameworks has emerged as an effective strategy to reduce the synthesis and stabilization pressures of polynitrogen compounds. In this study, we theoretically predict three novel lithium-alkaline-earth metal nitrides: cage-like $R$-3$m$ Li$_2$BeN$_6$, cage-like $R$32 Li$_2$MgN$_6$, and layered $P$-62$m$ Li$_2$CaN$_6$. Phonon spectrum calculations indicate that $R$-3$m$ Li$_2$BeN$_6$ remains stable between 50-100 GPa, and that $R$32 Li$_2$MgN$_6$ and $P$-62$m$ Li$_2$CaN$_6$ are stable under ambient pressure conditions. Ab initio molecular dynamics (AIMD) simulations indicate that $R$-3$m$ Li$_2$BeN$_6$, $R$32 Li$_2$MgN$_6$, and $P$-62$m$ Li$_2$CaN$_6$ remain thermally stable up to 2500 K, 1500 K, and 500 K, respectively. Electronic band structure analysis indicates that $R$-3$m$ Li$_2$BeN$_6$ is semiconducting, while $R$32 Li$_2$MgN$_6$ and $P$-62$m$ Li$_2$CaN$_6$ exhibit metallic characteristics. These differences arise from variations in cation radius and electronegativity, which influence the electron distribution within the lattice. The cage-like $R$-3$m$ Li$_2$BeN$_6$ with a chair-shaped N$_6^{6-}$ ring exhibits an energy density of 4.38 kJ/g upon decomposition into Li$_3$N, Be$_3$N$_2$, and N$_2$, indicating its potential as an HEDM. These findings not only highlight the role of metal insertion in stabilizing polymeric nitrogen at lower pressures but also provide novel guidance for the design of energetic materials.
    参考文献 | 补充材料 | 相关文章 | 计量指标
    New structures and properties of YF3 and YF6 under high pressure
    Lebin Chang(常乐斌), Jianlun Huang(黄健伦), Yuhao Fu(付钰豪), Yingying Wang(王莹莹), and Jurong Zhang(张车荣)
    2026 (3):  36301-036301.  doi: 10.1088/1674-1056/ae1f02
    摘要 ( 55 )   HTML ( 0 )   PDF(3336KB) ( 15 )  
    Exploring new structures and properties of matter is a central topic in condensed matter physics. In this work, first-principles calculations and structure prediction methods were employed to investigate fluorine-rich yttrium compounds. Two new stable phases, Pmmn-YF$_{3}$ and Amm2-YF$_{6}$, have been identified under high pressure. Pmmn-YF$_{3}$ is stable over a pressure range of 50 GPa to 500 GPa, and Amm2-YF$_{6}$ remains stable at pressures beyond 429 GPa. Analysis of the band structure, density of states (DOS), and Bader charge for these two stable compounds reveals that Pmmn-YF$_{3}$ is an insulator and Amm2-YF$_{6}$ is a metal, elucidating their chemical bonding characteristics. F-F bond lengths and Bader charge analysis confirm the $+3$ oxidation state of yttrium in the molecular crystal YF$_{3}$ and the crystal structure YF$_{6}$. Our work provides a valuable theoretical foundation for elucidating the properties of the rare earth transition metal yttrium.
    参考文献 | 相关文章 | 计量指标
    High-throughput discovery and electron-doping tuning of superconducting ternary lithium borides
    Bohan Cao(曹博瀚), Xinwei Wang(王新伟), Yibo Sun(孙一博), Mengxin Yang(杨孟鑫), Defang Duan(段德芳), Fubo Tian(田夫波), and Tian Cui(崔田)
    2026 (3):  37401-037401.  doi: 10.1088/1674-1056/ae27b1
    摘要 ( 65 )   HTML ( 0 )   PDF(2492KB) ( 25 )  
    Incorporating another metal into binary metal borides has emerged as a highly effective strategy for optimizing material properties. Herein, using high-throughput calculations, we systematically investigated the structural, electronic, and superconducting properties of Fm$\overline{3}m$ and $F\overline{4}3m$ phases of Li$_{2}M$B ($M = {\rm alkaline}$ earth, 3d, and 4d metals). Our analysis of 48 Li$_{2}M$B compounds at 0-60 GPa reveals that four of them are promising superconductors with $T_{\rm C}\ge 10$ K. It is further demonstrated that substitution of different $M$ elements serves as an effective strategy for electron doping, enabling precise control of the band structure and density of states near the Fermi level for the $F\overline{4}3m$ phase. This behavior is exemplified in Li$_{2}$Sc$_{1-x}$Ti$_{x}$B ($x=0.05$-0.25), which transforms from a semiconductor into a metal and further into a superconductor with increasing Ti doping concentration. For the Fm$\overline{3}m$ phase, Dirac points near the Fermi level are observed in the $M={\rm Sc}$ and Y systems, suggesting unique electronic behavior. Our work provides deep insight into the superconducting mechanisms of lithium-based borides and offers guidance for the targeted design of novel boride superconductors.
    参考文献 | 补充材料 | 相关文章 | 计量指标
    Charge-imbalance-induced second harmonic generation in twisted graphene
    Ronghui Luo(罗荣辉), Shiyang Liu(刘诗洋), Xiao Dong(董校), Jianguo Tian(田建国), and Zhibo Liu(刘智波)
    2026 (3):  34201-034201.  doi: 10.1088/1674-1056/ae3557
    摘要 ( 273 )   HTML ( 6 )   PDF(3240KB) ( 190 )  
    Twist-and-stack engineering provides a programmable degree of freedom for nonlinear optics in two-dimensional materials, yet in a homostructure whose constituents have no second harmonic generation (SHG), how interlayer coupling grants and tunes second-order response remains unclear. Here, we use twisted monolayer-bilayer graphene ($t(1+2)$LG) and combine microscopic SHG spectroscopy with first-principles differential charge-density analysis to establish a unified ``permission-and-resonance'' mechanism. Interlayer coupling creates an interlayer charge imbalance within the AB-stacked bilayer, breaking inversion symmetry and thereby permitting an in-plane electric-dipole response. At the same time, the twist angle steers van Hove singularities in the band structure to achieve two-photon resonance, which markedly amplifies the susceptibility $\chi^{(2)}$. Experimentally, at $\theta =13.5^\circ $, we obtain $\chi^{(2)}=279.4$ pm/V, evidencing a highly efficient second-order response. These results identify SHG as a sensitive probe of interlayer coupling and charge redistribution in homostructure van der Waals systems.
    参考文献 | 补充材料 | 相关文章 | 计量指标
    Real-space imaging of kagome flat band localization in Fe3Sn2
    Yifan Wang(汪逸凡), Lili Jiang(蒋利利), Qiang Zhang(张强), Zhiyong Lin(林志勇), Hui Zhang(张汇), and Changgan Zeng(曾长淦)
    2026 (3):  36801-036801.  doi: 10.1088/1674-1056/ae2f53
    摘要 ( 64 )   HTML ( 0 )   PDF(2126KB) ( 593 )  
    In geometrically frustrated lattices, flat bands can arise from destructive quantum interference, providing an ideal platform for exploring strong electron correlations. However, direct real-space evidence of their predicted atomic-scale electron localization remains elusive. By employing scanning tunneling microscopy/spectroscopy, with a focus on quasiparticle interference imaging, we demonstrate unambiguous atomic-scale localization of flat band electrons in the kagome metal Fe$_{3}$Sn$_{2}$. Crucially, quasiparticle interference imaging reveals a complete suppression of scattering wavevectors and standing waves exclusively at the flat band energy, indicating the absence of long-range coherent propagation. This disappearance of the quasiparticle interference signal, attributable to the non-propagating wavefunctions inherent to the kagome flat band, directly confirms real-space electron localization. These findings resolve the microscopic link between quantum interference and localization of flat band electrons, paving the way for engineering correlated quantum states.
    参考文献 | 相关文章 | 计量指标
    Electronic structure study of the intermetallic compound GdRhIn5
    Yulu He(贺宇璐), Bo Wang(王博), Xiangfei Yang(杨向飞), Dengpeng Yuan(袁登鹏), Wei Feng(冯卫), Yaobo Huang(黄耀波), and Qiuyun Chen(陈秋云)
    2026 (3):  37101-037101.  doi: 10.1088/1674-1056/ae3123
    摘要 ( 68 )   HTML ( 0 )   PDF(2504KB) ( 82 )  
    Heavy-fermion compounds frequently host emergent phases - most notably non-BCS superconductivity and unconventional quantum criticality - whose microscopic origins can invariably be traced to the entanglement of itinerant and nearly localized electronic degrees of freedom. In this work, we carry out a systematic study on the electronic structure and quasiparticle features of the antiferromagnetic intermetallic compound GdRhIn$_5$, utilizing high-resolution angle-resolved photoemission spectroscopy (ARPES) measurements. Energy-dependent measurements reveal the coexistence of Fermi surface topologies with both quasi-two-dimensional and three-dimensional characteristics. Notably, the quasiparticle bands commonly observed in conventional cerium-based compounds are absent from the resonance data, likely due to the strong localization nature of the Gd 4f states within the compound. Temperature-dependent studies, combined with density functional theory (DFT) calculations, demonstrate that as temperature decreases, the electronic density of states (EDC) near the Fermi level increases, while the peak position of the MDC associated with the $\beta $ energy band shows a shrinking trend. This systematic exploration of GdRhIn$_5$'s electronic structure enhances our comprehension of the microscopic physical properties not only of GdRhIn$_5$ but also of the broader family of rare-earth-based 115 systems.
    参考文献 | 相关文章 | 计量指标
    Non-Abelian fractional quantum Hall states at filling factor 3/4
    Kai-Wen Huang(黄楷文) and Ying-Hai Wu(吴英海)
    2026 (3):  37302-037302.  doi: 10.1088/1674-1056/ae3304
    摘要 ( 148 )   HTML ( 1 )   PDF(2239KB) ( 644 )  
    Fractional quantum Hall states have been observed at filling factor $\nu=3/4$ in GaAs hole system and bilayer graphene. In theoretical bootstrap analysis, it was revealed that non-Abelian topological orders with Ising anyons can be realized at $\nu=3/4$, which exhibit $12$ fold ground state degeneracy on the torus. The properties of $\nu=3/4$ states can be analyzed using two complementary approaches. In the first one, they are treated as particle-hole conjugate of $\nu=1/4$ Moore-Read types states. In the second one, they are mapped to composite fermions with reverse flux attachment at effective filling factor $3/2$, whose integral part realizes an integer quantum Hall state and the fractional part realizes $\nu=1/2$ Moore-Read type states. For bilayer graphene with appropriate Landau level mixing, numerical calculations have found $12$ quasi-degenerate ground states on the torus at $\nu=3/4$. Chiral graviton spectral functions of these states have one low energy peak with negative chirality and one high energy peak with positive chirality. This points to a specific member of the Moore-Read type states and agrees with the deduction based on daughter states.
    参考文献 | 相关文章 | 计量指标
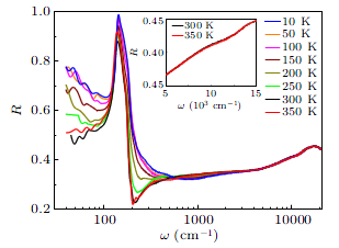
    Electrodynamics of a prototypical altermagnetic compound MnTe
    Bixia Gao(高碧霞), Yixuan Luo(罗伊轩), Liye Cao(曹立叶), Tao Sun(孙涛), Zehao Yu(于泽浩), Lei Wang(王蕾), Xinyu Zhang(张新雨), Hongbo Hu(胡宏波), Yanfeng Guo(郭艳峰), and Rongyan Chen(陈荣艳)
    2026 (3):  37801-037801.  doi: 10.1088/1674-1056/ae2abc
    摘要 ( 131 )   HTML ( 3 )   PDF(3124KB) ( 188 )  
    Altermagnetism, characterized by compensated antiparallel spins and momentum-dependent spin splitting, has offered a promising platform for novel spintronic phenomena. Among this class of materials, hexagonal MnTe stands out due to its high Néel temperature and giant spin splitting. However, a comprehensive understanding of its charge dynamics remains incomplete. Here, we employ infrared spectroscopy to investigate the charge dynamics of single crystalline MnTe. The low energy optical conductivity reveals a suppressed Drude response across all temperatures, consistent with the reported p-type doping as indicated by previous angle-resolved photoemission spectroscopy (ARPES) measurement. An indirect band gap of about 0.48 eV attributed to impurity-assisted transitions, and a direct gap of 1.60 eV are identified via the Tauc relation at 10 K. Moreover, we observe a subtle difference at around 1.44 eV in the optical conductivity between the antiferromagnetic and paramagnetic states, which might be linked to altermagnetism-related band splitting. Additionally, Fano line shape analysis of a phonon mode at around 135 cm$^{-1}$ reveals appreciable coupling between the phonon and spin fluctuations near the Néel temperature. Our results provide key insights into the charge dynamics of MnTe, underscoring its rich physics beyond a conventional semiconductor.
    参考文献 | 相关文章 | 计量指标
    Phonon bottleneck effect due to finite shrinking gap revealed by high-pressure ultrafast dynamics
    Yanling Wu(吴艳玲), Q. Wu(吴穹), X. Yin(尹霞), Y. X. Huang(黄逸轩), Takeshi Nakagawa, Z. Y. Tian(田珍耘), Fei Sun(孙飞), Q. M. Zhang(张清明), Jun Chang(昌峻), Ho-kwang Mao(毛河光), Yang Ding(丁阳), and Jimin Zhao(赵继民)
    2026 (3):  37802-037802.  doi: 10.1088/1674-1056/ae3122
    摘要 ( 172 )   HTML ( 6 )   PDF(1190KB) ( 182 )  
    High-pressure ultrafast dynamics has been recently developed, enabling the exploration of non-equilibrium properties of various quantum materials under high pressure. Particularly, by investigating the pressure dependence of time-resolved ultrafast dynamics, we have discovered a pressure-induced phonon bottleneck effect (PBE). To date, all reported PBEs are due to fully closed gaps, which was reflected in the simultaneous characteristic changes in both amplitude and lifetime of the phonon-phonon scattering slow relaxation component. However, as reflected through its connection to Euler disk, incompletely closed gaps can also induce PBEs. In this work, we report the first PBE due to a finite shrinking gap. As is known, it is challenging to directly observe high-pressure-induced variations in electronic band gaps due to the diamond anvil cell. Here, by investigating Sr$_{{2}}$IrO$_{{4}}$ in our previous work, we obtain an empirical formula for the pressure-induced energy gap variation at room temperature. Our quantitative analysis shows that the gap is finite shrinking rather than fully closed.
    参考文献 | 相关文章 | 计量指标
    Measurement of far-infrared surface phonon polaritons in AlN nanowires via electron microscope
    Chao He(何超), Ze Hua(华泽), Peiyi He(何沛一), Ruishi Qi(亓瑞时), Yuehui Li(李跃辉), Ruiwen Shao(邵瑞文), Weikang Dong(董伟康), Ruochen Shi(时若晨), Yeliang Wang(王业亮), and Peng Gao(高鹏)
    2026 (3):  37901-037901.  doi: 10.1088/1674-1056/ae2a00
    摘要 ( 359 )   HTML ( 23 )   PDF(1052KB) ( 361 )  
    Surface phonon polaritons (SPhPs) exhibit promising advantages (e.g., low loss, long lifetimes) for mid/far-infrared (MIR/FIR) nanophotonics. However, FIR SPhPs experiments remain challenging for conventional optics and scattering-type scanning near-field optical microscopy (s-SNOM) due to the lack of compatible light sources/detectors. In this work, we characterized $\sim 75$-110 meV SPhPs in AlN nanowires using a monochromated scanning transmission electron microscope (STEM) equipped with electron energy loss spectroscopy (EELS). This technique provided exceptional 4.3 meV energy resolution and sub-angstrom spatial resolution. We observed the evolution of SPhP interference fringes with propagation distance, derived the dispersion curve, and clarified size effects on SPhP propagation by tuning AlN structure dimensions. Experimental-numerical cross-validation confirmed that the local continuum model (LCM) accurately describes AlN's SPhP behaviors. This work advances the understanding of FIR SPhPs in polar dielectrics and establishes a robust platform for studying FIR phonon polariton materials.
    参考文献 | 相关文章 | 计量指标
    Defect-free InAs nanowires self-catalyzed growth on graphene/Ge by molecular beam epitaxy
    Yanhui Zhang(张燕辉), Haitao Jiang(姜海涛), Liuyan Fan(范柳燕), Zifan Huo(霍子帆), Ziteng Zhang(张孜腾), Can Zhou(周灿), Yajie Wang(王亚杰), Changlin Zheng(郑长林), Haibo Shu(舒海波), Xiaohao Zhou(周孝好), Pingping Chen(陈平平), Jin Zou(邹进), and Wei Lu(陆卫)
    2026 (3):  38101-038101.  doi: 10.1088/1674-1056/ae2bf3
    摘要 ( 88 )   HTML ( 0 )   PDF(1840KB) ( 11 )  
    InAs nanowires (NWs) self-catalyzed grown on graphene surface frequently exhibit a large number of stacking-fault defects. However, the control of these defects in InAs NWs still remains a large challenge, which significantly limits the applications of InAs NWs in electronics and optoelectronics. In this work, the self-catalyzed growth of InAs NWs on graphene/Ge substrate by molecular beam epitaxy (MBE) is systematically investigated. Growth models for InAs NWs and parasitic islands on graphene/Ge are developed. Through rational design of growth parameters, the self-catalyzed growth of defect-free InAs NWs on graphene surfaces is ultimately achieved. Our experimental results indicate that lower growth temperature can effectively suppress the formation of stacking-fault defects in InAs NWs, no visible stacking-fault defects are observed in the samples grown below 510 ${^\circ}$C, and the intrinsic mechanism for this is clarified with the density functional theory (DFT) calculations.
    参考文献 | 补充材料 | 相关文章 | 计量指标
    LT-PINNs: Physics-informed neural networks based on Laplace transform for solving Caputo-type fractional partial differential equations
    Ruibo Zhang(张瑞波), Fengjun Li(李风军), and Jianqiang Liu(刘建强)
    2026 (3):  30201-030201.  doi: 10.1088/1674-1056/adf827
    摘要 ( 173 )   HTML ( 0 )   PDF(1640KB) ( 71 )  
    The solution of fractional partial differential equations (PDEs) is an important topic in scientific computing. However, the traditional physics-informed neural networks (PINNs) have problems of memory overflow and low computational efficiency when the derivative is discretized for a long time. Therefore in this paper we innovatively propose a framework of Laplace transform physics-informed neural networks (LT-PINNs), which is dedicated to solving the forward and inverse problems of Caputo-type fractional PDEs. The core of this method is to use the Laplace transform to construct the loss function, which skillfully avoids the dilemma that the fractional derivative operator in traditional PINNs is difficult to operate effectively. By studying the benchmark problem of parameter $\alpha$ in a series of different scenarios we verify that LT-PINNs can predict the solution of Caputo-type fractional PDEs more accurately than fractional PINNs. The excellent performance of LT-PINNs in identifying inverse problems involving fractional order, convection and diffusion coefficients is further explored. At the same time, the effects of network structure, the number of sampling points and noise on the LT-PINNs method are analyzed in detail. The results show that the method can predict the solution of the equation satisfactorily even under severe noise interference. The proposed LT-PINNs framework opens up a new path for efficiently solving fractional PDEs. It shows significant advantages in improving computational efficiency, reducing memory usage and dealing with complex noise environments. It is expected to promote the further development of fractional PDEs in many fields.
    参考文献 | 相关文章 | 计量指标
    Epidemic evolution model considering individual heterogeneity in multi-layer hypernetwork
    Shijie Xie(谢仕杰), Peiwen Wang(王沛文), Zhiping Wang(王志平), Yueyue Zheng(郑月月), and Lin Wang(王琳)
    2026 (3):  30202-030202.  doi: 10.1088/1674-1056/adf31c
    摘要 ( 82 )   HTML ( 0 )   PDF(1304KB) ( 50 )  
    In recent years, the dynamic coupling mechanisms between information dissemination and epidemic transmission have garnered significant attention. Existing studies predominantly focus on the impact of individual awareness on disease spread; however, in reality, the factors driving awareness shifts and heterogeneous perceptions of epidemics vary substantially among individuals with different health statuses. Moreover, traditional pairwise interaction networks fail to capture the complexity of social contagion processes. To address these gaps, this study proposes a three-layer hypernetwork epidemic model (mass media layer-information layer-epidemic layer) based on evolutionary hypergraphs, incorporating individual heterogeneity and higher-order group interactions. The information layer employs an asthenic awareness-powerful awareness-asthenic awareness (APA) propagation model to characterize the diffusion of epidemic awareness, integrated with a perceived pain level metric to quantify dynamic awareness states among infected individuals. The underlying susceptible-infected-recovered (SIR) model incorporates dual modulation factors that adjust infection and transmission probabilities based on awareness-dependent behaviors. Model validity is verified through microscopic Markov chain approach (MMCA) numerical simulations, which identify epidemic thresholds and analyze key parameters. The key findings reveal that susceptibility and transmission rates are critical factors determining epidemic scale; high-coverage official media can rapidly disseminate accurate information and curb rumors; controlling pain levels and improving recovery efficiency are crucial for reducing the infection peak and shortening epidemic duration. This study provides a systematic analytical framework for understanding the interaction mechanisms among mass media, individual cognition, and epidemic transmission in real-world scenarios.
    参考文献 | 相关文章 | 计量指标
    Evolutionary analysis of multi-player snowdrift game with cost sharing under Aspiration-Fermi hybrid rule
    Bolin Yang(杨柏林) and Guanghui Yang(杨光惠)
    2026 (3):  30203-030203.  doi: 10.1088/1674-1056/adf31a
    摘要 ( 69 )   HTML ( 1 )   PDF(2163KB) ( 32 )  
    This paper firstly constructs a multi-player snowdrift game with all players' cost sharing once the snowdrift is removed for a fairness. Secondly, an Aspiration-Fermi hybrid rule is proposed to derive an extended average abundance function via Markov chain evolutionary processes. Besides, extensive numerical simulations well verify theoretical results. Our findings show that both cost sharing and the Aspiration-Fermi hybrid rule significantly promote the cooperation by enhancing the average abundance in multi-person snowdrift game. By comparison with the existing woks, our proposed model and hybrid strategy-update rule provide novel insights into the evolution of cooperation in multi-person games.
    参考文献 | 相关文章 | 计量指标
    Sequential noise-boosted M-estimation for robust parameter estimation under impulsive noise
    Li Zhang(张莉), Yan Pan(潘燕), Fabing Duan(段法兵), Fran?ois Chapeau-Blondeau, and Derek Abbott
    2026 (3):  30204-030204.  doi: 10.1088/1674-1056/adfefe
    摘要 ( 59 )   HTML ( 0 )   PDF(934KB) ( 56 )  
    We propose a sequential noise-boosted M-estimation algorithm for estimating system parameters in environments characterized by impulsive (heavy-tailed) noise. This algorithm extends the conventional M-estimation framework by strategically injecting artificial noise into the observations, thereby facilitating the estimation procedure and ensuring convergence to the desired estimator. A fundamental criterion theorem is established to determine the conditions under which injecting scale-family noise enhances the efficacy of the M-estimator in heavy-tailed background noise. For cases where noise injection is beneficial, it is rigorously proved that the sequential noise-boosted M-estimation algorithm converges with probability one. Experimental results demonstrate that the proposed algorithm outperforms traditional M-estimation methods, both under a given injected noise intensity and when the noise injection is adaptively optimized via Bayesian optimization. Furthermore, it is observed that the proposed algorithm can asymptotically achieve the performance of the maximum likelihood estimator (MLE) for system parameter estimation.
    参考文献 | 相关文章 | 计量指标
    Estimating quantum coherence using limited quantum resources
    Bin Zou(邹斌), Kai Wu(吴凯), and Zhihua Chen(陈芝花)
    2026 (3):  30301-030301.  doi: 10.1088/1674-1056/adfb56
    摘要 ( 95 )   HTML ( 0 )   PDF(509KB) ( 27 )  
    Quantum coherence, as one of the most fundamental non-classical features in quantum mechanics, plays a pivotal role in various quantum information processing tasks, including quantum computing and quantum metrology. The robustness of quantum coherence (RoC) offers an operational interpretation by quantifying the advantage provided by a quantum state in phase discrimination tasks. To achieve verification RoC with high precision via semidefinite programming (SDP), complete knowledge of quantum states is typically required. Relying solely on expectation values of observables may introduce significant errors in SDP-based estimations. To estimate RoC with high precision using limited data extracted from quantum states, firstly, we propose a semi-supervised K-nearest neighbor (KNN) algorithm (semi-KNN) and a semi-supervised method that combines the KNN and random forest (RF) models with a dynamical threshold (semi-KNN-RF). Then we implement the semi-KNN and semi-KNN-RF models to efficiently estimate quantum coherence by analyzing statistical data obtained from randomly generated local projective measurements performed on unknown quantum states. The semi-KNN-RF model performs better than the semi-KNN model. This innovative methodology allows for accurate coherence estimation, even for high-dimensional quantum systems.
    参考文献 | 相关文章 | 计量指标
    Critical exponents near the Liouvillian exceptional structure in Rydberg vapors
    Chuanming Li(李传铭), Konghao Sun(孙孔浩), and Wei Yi(易为)
    2026 (3):  30302-030302.  doi: 10.1088/1674-1056/adfb57
    摘要 ( 65 )   HTML ( 0 )   PDF(663KB) ( 13 )  
    In a dissipative Rydberg vapor, the interplay of many-body effects and non-Hermiticity gives rise to a Liouvillian exceptional structure, where exceptional arcs merge at a higher-order exceptional point of the Liouvillian superoperator. Spectral features of the exceptional structure naturally give rise to critical dynamics, which have interesting implications for experiments. In this work, we study the response of the system to perturbations near the Liouvillian exceptional structure, and evaluate the critical exponents. The results are consistent with those in linear non-Hermitian Hamiltonians, thus confirming the exceptional nature of the structures herein. We also discuss how these exponents can be measured experimentally.
    参考文献 | 相关文章 | 计量指标
    Distributed Kuperberg’s algorithm
    Peng-Yu Yang(杨鹏宇), Xin Zhang(张新), and Song Lin(林崧)
    2026 (3):  30303-030303.  doi: 10.1088/1674-1056/adfb58
    摘要 ( 90 )   HTML ( 0 )   PDF(1941KB) ( 23 )  
    As an important quantum cryptanalysis algorithm, Kuperberg's algorithm efficiently addresses the dihedral hidden subgroup problem with sub-exponential acceleration. However, when dealing with large numbers, the algorithm demands a deeper quantum circuit depth, rendering its implementation on current quantum devices prone to noise interference and thereby significantly reducing its efficiency. To mitigate this challenge, this paper proposes a distributed Kuperberg's algorithm. It decomposes the original function into sub-functions which can be executed on different nodes in parallel. The implementation of these sub-functions necessitates a shallower quantum circuit depth and a reduced number of qubits when contrasted with the execution of the original function. Furthermore, the proposed algorithm can be directly generalized to an arbitrary number of nodes by adjusting the quantity of input qubits. The utilization of multi-node parallel processing makes the proposed algorithm a linear enhancement in query complexity relative to the original algorithm. To validate the feasibility and demonstrate the superiority of our algorithm, experiments are conducted on the Qiskit platform.
    参考文献 | 相关文章 | 计量指标
    Statistical complexity and stochastic resonance in bistable coupled network systems excited by non-Gaussian noise
    Meijuan He(何美娟), Lingyun Li(李凌云), Wantao Jia(贾万涛), and Jiangang Zhang(张建刚)
    2026 (3):  30501-030501.  doi: 10.1088/1674-1056/adfef7
    摘要 ( 83 )   HTML ( 0 )   PDF(905KB) ( 27 )  
    This study investigates stochastic resonance (SR) phenomena in bistable coupled networks driven by non-Gaussian noise. Employing signal-to-noise ratio (SNR) and statistical complexity as quantitative metrics, we characterize the SR behavior. First, the dimensionality of a coupled network system is reduced via the mean field theory. Subsequently, we derive closed-form analytical expressions of SNR by the path integral method, the slaving principle and the two-state model theory. Numerical simulations are used to validate the consistency between SR features identified through statistical complexity and those obtained via SNR calculations, thereby corroborating the reliability of our analytical framework. Both theoretical and numerical results conclusively demonstrate the occurrence of SR in the network system. Parametric analyses further elucidate the modulation of SR characteristics by three critical factors: non-Gaussian noise intensity parameters, noise correlation timescale and inter-node coupling strength. Finally, we explore the system's size resonance properties.
    参考文献 | 相关文章 | 计量指标
    Adaptive distributed optimization of high-order nonlinear multi-agent systems with predefined accuracy under state observer
    Xiao-Wen Zhao(赵小文), Tong Shu(疏彤), Deng-Hao Pang(庞登浩), Tao Li(李涛), and Mei Yao(姚梅)
    2026 (3):  30502-030502.  doi: 10.1088/1674-1056/adf31b
    摘要 ( 70 )   HTML ( 0 )   PDF(1084KB) ( 56 )  
    This paper discusses adaptive distributed optimization with predefined accuracy for high-order nonlinear multi-agent systems (MASs) that are subject to disturbances and nonlinear uncertainties. To estimate the global optimal solution in real-time, a distributed proportional-integral optimization technique is used to generate a virtual system for each agent. For the unknown control gain of the controller, the Nussbaum function is employed. Then, a fuzzy adaptive observer is designed to estimate the unmeasured state by leveraging the general approximation capabilities of fuzzy logic systems. Using the Lyapunov stability method and backstepping technique, we develop the adaptive law and a new distributed controller. This ensures that the outputs of multi-agent systems converge to optimal values. Finally, a simulation example is used to confirm the viability of the presented control mechanism.
    参考文献 | 相关文章 | 计量指标
    Explosive synchronization and hysteresis in FitzHugh-Nagumo neural networks with higher-order interactions
    Wen-Xin Cao(曹文鑫), Mao-Sheng Wang(汪茂胜), Fei Xu(徐飞), Shou-Fang Huang(黄守芳), and Ji-Qian Zhang(张季谦)
    2026 (3):  30503-030503.  doi: 10.1088/1674-1056/adfc41
    摘要 ( 68 )   HTML ( 0 )   PDF(2866KB) ( 32 )  
    This study investigates the impact of higher-order interactions on explosive synchronization and hysteresis in FitzHugh-Nagumo neural networks. We construct a higher-order network model incorporating pairwise (1-simplex) and three-body (2-simplex) interactions, along with a nonlinear coupling mechanism inspired by the Rosenzweig-MacArthur model. Using the order parameter and standard deviation as metrics, we analyze synchronization dynamics through numerical simulations. Our results demonstrate that higher-order interactions not only enhance the explosive synchronization but also induce hysteresis, with the hysteresis width growing as higher-order coupling strengthens. Furthermore, increasing noise intensity suppresses the bistability induced by higher-order interactions, ultimately eliminating hysteresis. These findings reveal the critical role of higher-order interactions in synchronization dynamics, offering theoretical insights for controlling collective behavior in neuroscience, ecology, and related fields. This work advances the understanding of synchronization in complex systems and provides new methodologies for studying multi-body interactions in real-world networks.
    参考文献 | 相关文章 | 计量指标
    Spiking-bursting alternating chaos mediated by a locally active memristor
    Yuxia Li(李玉霞), Xintong Yue(岳新同), Hui Chang(常辉), Baoxing Han(韩宝兴), and Yan Zhang(张燕)
    2026 (3):  30504-030504.  doi: 10.1088/1674-1056/ae44f9
    摘要 ( 56 )   HTML ( 0 )   PDF(1613KB) ( 61 )  
    Local active memristors demonstrate complex nonlinear dynamic characteristics under specific voltage stimuli, making them well-suited for emulating biological synapse behavior. This paper presents a novel local active memristor with coexisting hysteresis loops, whose non-volatility and local activity are experimentally verified. Based on this memristor, a spiking-bursting chaotic system is constructed, which can reproduce neuronal firing patterns such as periodic spiking, bursting and spiking-bursting alternating discharge. In addition, it reveals the generation mechanism of the spiking-bursting alternating chaos driven by the locally active memristor. Finally, the chaotic system is physically implemented on a field-programmable gate array (FPGA). The experimental results show excellent agreement with numerical simulations, confirming the system's feasibility and highlighting its potential for engineering applications.
    参考文献 | 相关文章 | 计量指标
    Angular momentum distribution of atomic hydrogen in excited states under ultra-short laser field
    Zhaoyan Zhou(周兆妍), Dongwen Zhang(张栋文), and Zengxiu Zhao(赵增秀)
    2026 (3):  33201-033201.  doi: 10.1088/1674-1056/adfdc6
    摘要 ( 79 )   HTML ( 0 )   PDF(1096KB) ( 29 )  
    We investigate the population distribution of excited angular momentum ($l$) states in the interaction between a hydrogen atom and an ultra-short laser pulse. Through numerical solution of the time-dependent Schrödinger equation, we theoretically investigate the laser-induced oscillations among excited $l$-states. Temporal evolution analysis reveals distinctive signatures of both multiphoton excitation and frustrated tunneling ionization processes. Specifically, multiphoton excitation dominates during the final optical cycle as the laser peak intensity attenuates, thereby critically determining the final $l$-states population distribution. We demonstrate that the angular quantum states' parity effect does not persist, even for ultra-short pulses with broad frequency bandwidths. The parity effect is also unaffected by laser field asymmetry.
    参考文献 | 相关文章 | 计量指标
    Formation of phosphorus monobromide (PBr) and phosphorus monoiodide (PI) radicals through direct radiative association: Prospects for astrochemical environments
    Qinghui Wei(魏庆卉), Yang Chen(陈扬), Amaury A. de Almeida, Carmen M. Andreazza, Hongjing Liang(梁红静), and Bing Yan(闫冰)
    2026 (3):  33301-033301.  doi: 10.1088/1674-1056/adfdc7
    摘要 ( 49 )   HTML ( 0 )   PDF(846KB) ( 21 )  
    The cross sections and rate constants for the formation of phosphorus monobromide (PBr) and phosphorus monoiodide (PI) radicals through radiative association have been theoretically estimated using fully quantum mechanical methods. For temperatures ranging from 10 K to 15000 K, the thermal rate coefficients are found to vary from 2.86$\times$10$^{-23}$ cm$^3\cdot$s$^{-1}$ to 1.20$\times$10$^{-18}$ cm$^3\cdot$s$^{-1}$ and from 7.73$\times$10$^{-24}$ cm$^3\cdot$s$^{-1}$ cm$^3\cdot$s$^{-1}$ to 1.12$\times$10$^{-18}$ cm$^3\cdot$s$^{-1}$ for PBr and PI, respectively. Implications of PBr and PI radiative association to various astrochemical environments are briefly discussed.
    参考文献 | 相关文章 | 计量指标
    Experimental study on the vibrational relaxation mechanism of N2(X1Σ+g, v = 6) molecules in collision with N2, O2, and CO
    Yaqi Zhang(张亚琦), Yuhao Wu(武宇豪), Jing Liu(刘静), Jiaxin Lin(林佳欣), and Maofu Yu(于茂福)
    2026 (3):  33401-033401.  doi: 10.1088/1674-1056/adf82e
    摘要 ( 59 )   HTML ( 0 )   PDF(1225KB) ( 24 )  
    This study employed time-resolved coherent anti-Stokes Raman scattering to investigate the vibrational relaxation mechanism of N$_{2}$ ($v = 6$) molecules in N$_{2}$-$M$ systems, where $M$ denotes N$_{2}$, O$_{2}$, or CO. At 297 K, the relaxation rate coefficients for collisions between N$_{2}$ ($v = 6$) and N$_{2}$, O$_{2}$, and CO were determined to be $(2.85 \pm 0.07)\times 10^{-14}$ cm$^{3}\cdot$s$^{-1}$, $(6.29 \pm 0.12)\times 10^{-14}$ cm$^{3}\cdot$s$^{-1}$, and $(11.21 \pm 0.20)\times 10^{-14}$ cm$^{3}\cdot$s$^{-1}$, respectively. The results demonstrated that the relaxation rate coefficient for N$_{2}$ ($v = 6$)-CO collisions was 1.8 times higher than that for N$_{2}$-O$_{2}$ collisions and 3.9 times greater than that for homonuclear N$_{2}$-N$_{2}$ collisions, indicating that CO significantly enhances the vibrational relaxation of N$_{2}$ ($v = 6$). Furthermore, by analyzing the time-resolved population evolution of N$_{2}$ ($v \le 6$) in N$_{2}$-O$_{2}$ and N$_{2}$-CO systems under varying buffer gas molar ratios and integrating these data with kinetic analysis, the vibrational relaxation mechanism of N$_{2}$ ($v = 6$) in different collisional environments was systematically elucidated. The findings indicate that in the N$_{2}$-O$_{2}$ system, increasing the molar ratio of acceptor molecules leads to a gradual shift from single-quantum to multi-quantum relaxation dominance, whereas the N$_{2}$-CO system exhibits a transition from multi-quantum to single-quantum dominance. In addition, a systematic study examined the vibrational relaxation mechanism of N$_{2}$ ($v = 6$) in two gas mixtures between 297 K and 573 K. The results indicate that elevated temperature significantly enhances the efficiency of near-resonance energy transfer associated with the dominant relaxation pathway.
    参考文献 | 相关文章 | 计量指标
    Theoretical study of electron-ion resonant recombination of Be-like Si10+ ion
    Jing-Lin Rui(芮静琳), Jian-Ping Pan(潘建平), Lu-You Xie(颉录有), Yu-Long Ma(马玉龙), and Chen-Zhong Dong(董晨钟)
    2026 (3):  33402-033402.  doi: 10.1088/1674-1056/ae2f54
    摘要 ( 82 )   HTML ( 0 )   PDF(1095KB) ( 28 )  
    Theoretical investigations of ${L}$-shell $\Delta n = 1$ ($2{\rm s}\rightarrow 3{\rm l}$) and 2 (2${\rm s}\rightarrow 4{\rm l}$) as well as ${K}$-shell $\Delta n = 1$ (1$\rm s\rightarrow 2l$) electron-ion resonant recombination for both the ground state ($2\rm s^2$ $^1$S$_0$) and the long-lived metastable state ($\rm 2s2p$ $^3$P$_0$) of Be-like Si$^{10+}$ are performed. The calculations include not only the dominant dielectronic recombination (DR), but also high-order trielectronic (TR) and quadruelectronic recombination (QR) processes. Level-by-level calculations are performed for resonance energies and resonance strengths using the relativistic configuration interaction method. The theoretical rate coefficients are presented and compared with the experimental results measured at the heavy-ion storage ring TSR. When considering fractional populations of 93$%$ and 7$%$ for the ground state $\rm 2s^2$ $^1$S$_0$ and the metastable state $\rm 2s2p$ $^3$P$_0$, the present rate coefficients agree well with the experimental measurements. The contributions of TR are important, which is about 9.26% to the total rate coefficient of ${L}$-shell recombination. The plasma rate coefficients are also calculated, and an analytical formula is presented for convenient modeling of astrophysical and fusion plasmas.
    参考文献 | 相关文章 | 计量指标
    A high-power dual-crystal Tm:YLF laser with 80.9% slope efficiency
    Yinfei Liu(刘寅飞), Jiajun Song(宋贾俊), Yujie Peng(彭宇杰), Guanguang Gao(高贯光), Liya Shen(沈丽雅), Junze Zhu(朱君泽), Tianze Xu(徐天泽), and Yuxin Leng(冷雨欣)
    2026 (3):  34202-034202.  doi: 10.1088/1674-1056/adf4ac
    摘要 ( 79 )   HTML ( 0 )   PDF(794KB) ( 82 )  
    We demonstrate a high-power continuous-wave Tm:YLF laser with exceptional efficiency, achieved through laser diode end-pumping of dual Tm:YLF crystals in a thermally insensitive resonator at room temperature. The performance of the Tm:YLF laser system has been thoroughly investigated, covering output power, efficiency, power stability, and beam quality. A maximum output power of 45.85 W was achieved with an absorbed pump power of 60.89 W. The slope efficiency and absorbed-to-optical conversion efficiency were 80.9% and 75.3%, respectively. The laser exhibits excellent stability, with an RMS power stability of 0.33%. The beam quality ($M^{2}$) of the Tm:YLF laser in the horizontal and vertical directions were 1.01 and 1.05, respectively. This high-performance laser source is ideal for pumping holmium-doped crystals to generate 2-μm laser and mid-infrared laser generation via nonlinear optical processes.
    参考文献 | 相关文章 | 计量指标
    Thermally managed ring-cavity design enables LED-pumped Nd,Ce:YAG continuous wave single-longitudinal-mode laser for cost-effective precision photonics
    Rong-Rong Jiang(江容容), Rui-Ze Xia(夏瑞泽), Feng-Yang Xing(邢凤阳), Liang Chen(陈亮), Yang Chen(陈阳), Feng-Bo Zhang(张峰博), Huan-Yu Zuo(左环宇), Jian-Ping Shen(沈建平), and Ling-Hai Xie(解令海)
    2026 (3):  34203-034203.  doi: 10.1088/1674-1056/adfbd5
    摘要 ( 63 )   HTML ( 0 )   PDF(1157KB) ( 28 )  
    We present a continuous wave (CW) single-longitudinal-mode (SLM) laser with a ring cavity based on efficient light-emitting diodes (LEDs)-pumped Nd,Ce:YAG dual-rod laser modules. In the free-running regime, a maximum average power of 4.27 W at 1064 nm is obtained, corresponding to the highest optical conversion efficiency of 5.1% and a slope efficiency of 13.9%. When operating in SLM configuration, the laser maintains a stable CW output of 200 mW with beam quality factors ($M^2$) measuring 1.44 and 1.30 along orthogonal $x$- and $y$-axes respectively. Spectral analysis reveals an emission linewidth of 70.76 MHz at maximum SLM output. This work represents, to the authors' knowledge, both the first successful implementation and the highest recorded performance characteristics for an LED-pumped Nd,Ce:YAG CW SLM laser system utilizing ring cavity configuration.
    参考文献 | 相关文章 | 计量指标
    Ultrafast charging quantum battery with cavity-cavity interactions
    Zhuoheng Wang(王卓恒), Zefeng Huang(黄泽丰), Dayang Zhang(张大洋), Yu Zhao(赵愈), Youbin Yu(俞友宾), Guangri Jin(金光日), and Aixi Chen(陈爱喜)
    2026 (3):  34204-034204.  doi: 10.1088/1674-1056/adfef9
    摘要 ( 63 )   HTML ( 0 )   PDF(1049KB) ( 67 )  
    We present a quantum battery model comprising two lossless cavities that interact through a controlled photon-hopping mechanism, each housing an isolated two-level atom. This study explores the possibility of influencing the interaction between cavities within the traditional two single-cavity working modes, thereby paving the way for enhanced charging performance. By solving the generalized double Jaynes-Cummings model with cavity-cavity interactions, we demonstrate the positive impact of such interactions on battery charging, enabling the quantum battery to outperform the single-cavity case in terms of charging time and average charging power. Additionally, we investigate the influence of different cavity-cavity interaction strengths on charging efficiency and attempt to explain the underlying mechanisms by analyzing the entanglement within the system.
    参考文献 | 相关文章 | 计量指标
    Breathing dynamics of dissipative pure quartic soliton molecules via spectral filtering effects
    Chun-Ting Liu(刘春廷), Jun-You Lu(卢俊佑), Han-Yang Shen(申翰阳), and Zu-Xing Zhang(张祖兴)
    2026 (3):  34205-034205.  doi: 10.1088/1674-1056/adf1eb
    摘要 ( 60 )   HTML ( 0 )   PDF(2056KB) ( 18 )  
    Although dissipative pure quartic solitons (DPQSs) stabilized by fourth-order dispersion (FOD) and nonlinearity are widely studied, their multi-soliton dynamics in positive FOD remain underexplored. Here, we study the impact of saturation energy and filter bandwidth on breathing DPQS molecules numerically. Our findings indicate that complementary breathing DPQS molecules exchange energy through oscillating tails, exhibiting simultaneously temporal oscillations and spectral shifting. By adjusting cavity parameters, we demonstrate that the state of breathing soliton molecules is inherently governed by time separation. These findings deepen the comprehension of multi-soliton interactions and nonlinear phenomena.
    参考文献 | 相关文章 | 计量指标
    Nonlinear relationship between signal and gas concentration in high-precision off-axis integrated cavity output spectroscopy
    Xinxin Wei(韦欣欣), Biao Ye(叶标), Yi Jiao(焦一), Xin Meng(孟鑫), and Jingjing Wang(王静静)
    2026 (3):  34206-034206.  doi: 10.1088/1674-1056/adfa79
    摘要 ( 47 )   HTML ( 0 )   PDF(1290KB) ( 9 )  
    Off-axis integrated cavity output spectroscopy (OA-ICOS) is an extremely sensitive technique for measuring trace gas concentrations. Nevertheless, recent research has indicated that when the reflectivity of the mirrors forming the cavity is excessively high, it affects the linearity between the absorption signal and concentration. In this study, the causes and limitations of this phenomenon are discussed based on the Beer-Lambert law and the law of light propagation within the cavity. A new equation is derived to describe the nonlinear relationship between the integral area of absorption spectra and gas concentration. The absorption spectra of CO$_{2}$ and CH$_{4}$, measured under different experimental conditions and concentrations, were fitted with Voigt functions to obtain parameters such as peak values and integral areas, which were used to verify the theoretical derivation process and results. The experimental results demonstrate that the relationship between the area of the measured absorption spectra and the gas concentration is consistent with the new formula, with an average fitting correlation coefficient of 0.9998. Meanwhile, the experimental results also demonstrate that the effective optical path length indeed decreases with increasing concentration. Furthermore, the cavity reflectances (99.99644% at 6242.6 cm$^{-1}$ and 99.99833% at 6046.96 cm$^{-1}$) derived from the fitting coefficient of the new concentration expression closely match the reflectances (99.99727% at 6242.6 cm$^{-1}$ and 99.99868% at 6046.96 cm$^{-1}$) obtained by applying the classical formula to the spectra of the lowest gas concentration. These experimental results validate the theoretical deduction process and expression. This research provides insights for the theoretical and practical advancements of OA-ICOS, which is significant for advancing high-precision trace gas detection technology.
    参考文献 | 相关文章 | 计量指标
    Dynamic control of topological phase of Dirac semimetallic terahertz metasurface
    Chenglong Wang(王成龙), Zhihua Han(韩志华), Xiang Hou(侯翔), Yansheng Shao(邵延胜), Fangze Deng(邓方泽), Keke Cheng(程可可), Yuchao Li(李玉超), Ke Ma(马克), Yumeng Ma(马宇萌), Huiyun Zhang(张会云), Meng Liu(刘蒙), and Yuping Zhang(张玉萍)
    2026 (3):  34207-034207.  doi: 10.1088/1674-1056/adfbd8
    摘要 ( 70 )   HTML ( 0 )   PDF(2243KB) ( 24 )  
    With the rapid advancement of terahertz technology, multifunctional coding metasurfaces have emerged as a significant research frontier in this domain. However, the rigid geometric structure of traditional metasurfaces poses challenges in accommodating both multifunctionality and dynamic control requirements. This study proposes an adjustable exceptional topological phase coding metasurface device based on a Dirac semimetal (DSM). By optimizing the structural parameters to excite multiple exceptional points (EPs), the resulting topological phase distribution enables multi-dimensional control of terahertz waves. The results demonstrate that, under the incidence of left-handed circularly polarized (LCP) light, the metasurface device can stably generate vortex light with a topological charge of $l = 1$. In the left- and right-handed circularly polarized channels, the wavefronts of the vortex beam and the split beam are independently controlled, enabling dual-channel digital holographic imaging of the numerals '0' and '5'. Near-field grayscale imaging of the 'little grey dog' pattern is achieved by exploiting the differentiated absorption characteristics of the EP under LCP illumination. Furthermore, by dynamically tuning the Fermi level of the DSM, reversible switching of the reflection mode state is realized under the same incident conditions. This research provides a theoretical and practical foundation for enhancing the capacity of terahertz communication systems and optimizing terahertz near-field and far-field imaging technologies. It also holds significant scientific value and application potential for advancing the development of independently adjustable multifunctional devices.
    参考文献 | 相关文章 | 计量指标
    Continuous three-dimensional varifocal of vortex beams with twisted metasurfaces
    Yiyi Li(黎仪艺), Wangzhe Zhou(周王哲), Shaoqi Li(李少奇), Xiaoyan Huang(黄晓艳), Fen Zhao(赵芬), Man Yuan(袁满), Jiagui Wu(吴加贵), Huan Chen(陈欢), Zhaojian Zhang(张兆健), and Junbo Yang (杨俊波)
    2026 (3):  34208-034208.  doi: 10.1088/1674-1056/adfc42
    摘要 ( 64 )   HTML ( 0 )   PDF(1945KB) ( 87 )  
    Vortex beams with helical phase wavefronts and doughnut-shaped intensity profiles hold great promise for optical trapping, imaging, and quantum communication. However, dynamic control over their steering and focusing remains challenging with existing static generation methods. Here, we demonstrate a dynamic and compact moiré metasurfaces that enables full three-dimensional (3D) control over vortex beams. The paradigm incorporates a numerical unit cell model and an off-axis angular spectrum algorithm based on the generalized Snell's law of refraction in full space. The beam's transverse position and longitudinal focal length can be simultaneously controlled by integrating phase elements such as gratings, lenses, and spiral phase plates. This scheme offers a 12$\times$ large axial zoom range from 7.42 mm to 85.45 mm and a lateral steering capability of up to $\pm 48$ mm. The device exhibits an average side-mode suppression ratio of 27.3 and maintains a constant full width at half maximum over a 50$^\circ$ deflection range, preserving beam quality and directional stability during dynamic steering. This lightweight vortex beams solution may open new ways for dynamic beam shaping in super-resolution imaging, free-space communication, and biophotonics.
    参考文献 | 相关文章 | 计量指标
    Photoacoustic tweezers generated by multiple superposed laser pulses in air
    Guo-Dong Tong(佟国栋), Li-Yan Xu(许立言), Wen-Qi Wang(王雯琦), Jin-Ping He(何晋平), and Jun Xia(夏军)
    2026 (3):  34301-034301.  doi: 10.1088/1674-1056/adf9fd
    摘要 ( 64 )   HTML ( 0 )   PDF(1664KB) ( 103 )  
    We propose a novel method for generating photoacoustic tweezers via multi-ultrasonic resonance in air. In this study, a focused ultrashort laser pulse with a 50 ns pulse width is used to generate ultrasonic resonance by transferring thermal energy to atmospheric H$_2$O in air. Traveling photoacoustic tweezers are generated by modulating the superposition of multiple ultrasonic waves. Through numerical simulations, we obtained the acoustic pressure and temperature fields of the photoacoustic waves. Experimentally, 10 μm microspherical polystyrene particles were placed messily in a 200 μm wide square microfluidic tube. The resulting shapes of the microparticles after manipulation by the photoacoustic tweezers proved that our experimental results align well with theoretical predictions. We demonstrate that the interaction of laser pulses with water vapor can generate both acoustic waves and photoacoustic tweezers.
    参考文献 | 补充材料 | 相关文章 | 计量指标
    Study on the interaction and evolution of surface dielectric barrier discharge channels
    Hui Jiang(姜慧), Jinyu Tang(唐金宇), and Yufei Han(韩雨菲)
    2026 (3):  35101-035101.  doi: 10.1088/1674-1056/adf82b
    摘要 ( 55 )   HTML ( 0 )   PDF(2185KB) ( 68 )  
    The dynamic evolution characteristics of the discharge channel are a key factor influencing the plasma distribution of surface dielectric barrier discharge (SDBD). In this paper, a novel oblique dual-tip SDBD actuator structure is proposed to investigate the multi-stage development mechanism of discharge channels. Experimental results demonstrate that when the oblique angle between the two tips ranges from 30$^\circ$ to 90$^\circ$, strong mutual repulsion occurs between the discharge channels, with the repulsion intensity increasing as the voltage amplitude increases. When the tip angle is 120$^\circ$, the dynamic evolution of the discharge channel exhibits three distinct stages. In the initial stage, localized ionization occurs near the leading edge of each tip, forming two independent discharge channels. Then the channels merge and extend along a specific direction, creating a single dominant filament. The current between the two tip electrodes was measured, demonstrating the existence of connected discharge channels. In the final stage, the front of the channel develops multistage bifurcation. The study of the three stages of discharge channel development contributes to exploring the mechanisms of mutual exclusion and fusion between discharge channels. These findings provide a theoretical basis for optimizing the structural design and application of SDBD actuators in related fields.
    参考文献 | 相关文章 | 计量指标
    Effect of water vapor on the structure and stability of self-organized patterns in atmospheric-pressure pulsed radio-frequency dielectric barrier discharges
    Man-Qiang Du(杜满强), Wen-Fu Wei(魏文赋), Zhen-Feng Ding(丁振峰), Liang-Wen Qi(漆亮文), Xiao-Dong Wen(温晓东), and Bin Sun(孙斌)
    2026 (3):  35201-035201.  doi: 10.1088/1674-1056/adf181
    摘要 ( 73 )   HTML ( 0 )   PDF(833KB) ( 55 )  
    The effect of water vapor on the self-organized pattern characteristics of atmospheric-pressure radio-frequency argon dielectric barrier discharges was experimentally investigated. Under high relative humidity (RH) conditions, no side discharges were generated between the two surface discharges of the patterns. As the RH gradually decreases, side discharges begin to emerge and evolve through three distinct modes: uniform glow discharge, non-uniform glow discharge, and filamentary discharge. These structural variations are primarily attributed to changes in breakdown (or maintenance) voltage induced by varying RH. At lower RH levels, the strongest single pattern exhibited spontaneous motion, which in turn triggered the collective motion of patterns. The self-organized pattern motion is explained as the shift of re-ignition position induced by electric interaction between asymmetrical side discharge filaments and the central filament.
    参考文献 | 相关文章 | 计量指标
    Simulation on plasma discharge and transport in large and complex geometric space
    Shiyi Tang(汤诗奕), Mengran Xiao(肖梦然), Ziqi Ma(马梓淇), Dongjie Yang(杨东杰), Xiaokai An(安小凯), Liangliang Liu(刘亮亮), Suihan Cui(崔岁寒), Ricky K. Y. Fu(傅劲裕), Paul K. Chu(朱剑豪), and Zhongzhen Wu(吴忠振)
    2026 (3):  35202-035202.  doi: 10.1088/1674-1056/adfebe
    摘要 ( 75 )   HTML ( 1 )   PDF(3029KB) ( 21 )  
    The plasma discharge and transport properties in the vacuum systems is critical for film deposition controlling. However, industrial-scale vacuum systems usually exhibit large and complex geometries, leading to boundary distortion and convergence difficulty in the conventional simulation techniques. In this work, a PIC/MCC model with FEM solver for non-uniform grids is established to precisely construct a large simulation domain with complex boundaries using the fluid model, and tracks the charged particle movements in non-uniform electromagnetic fields by the PIC/MCC method. The discharge process in a large cylindrical vacuum chamber shows the obvious interaction between the spatial electromagnetic field and plasma. The distribution of deposited ions is consistent with the potential gradient of the sheath. Besides, the ion deposition proportion is increased by more than 3 times and the average ion energy is increased by over 45.0 eV compared with the constant potential, indicating that the background electric field plays a significant role. When the spatial potential is steady, the plasma leads to stable accumulation with the peak density of 10$^{15 }$ m$^{-3}$ achieving convergence at 0.3 μs, thus demonstrating the excellent operation speed and convergence compared to the individual fluid model and PIC/MCC method. The density of the computational grids modified further according to the Debye length reveals a significantly improved computational performance with the convergence process compressed into 0.26 μs and the total runtime reduced by 40%.
    参考文献 | 相关文章 | 计量指标
    Modeling study of synergistic effects of neutral beam injection hot ions on helicon wave current drive in HL-3 tokamak
    Shu-Heng Sun(孙书恒), Dao-Zheng Zi(资道政), Zu-Guang Liu(刘祖光), Sen Wang(王森), and Xin-Xia Li(李新霞)
    2026 (3):  35203-035203.  doi: 10.1088/1674-1056/adf17e
    摘要 ( 89 )   HTML ( 0 )   PDF(608KB) ( 29 )  
    Helicon waves with very high ion cyclotron harmonics have been proposed for active off-axis current drive in tokamak with high performance operations. Under the application of ion cyclotron resonant heating or the neutral beam injection, hot ions with very high energy exist. For helicon waves with a wave frequency of $476$ MHz and $n_\parallel=3.0$, as utilized in DIII-D and KSTAR tokamaks, theoretical analysis based on the fast wave dispersion relation indicates that the ion damping coefficient can be comparable to electron damping coefficient once the hot ions are injected. The synergistic effects of hot ions produced by neutral beam injection on helicon wave current drive in the HL-3 tokamak are investigated numerically using GENRAY/CQL3D simulations. The results indicate that electron damping remains the dominant mechanism owing to the low concentration of hot ions, and robust off-axis current drive can generally be achieved in the device. Considering the hot ions with an average energy $\langle E_{\rm avg}\rangle\sim 80$ keV produced by neutral beam injection, positive synergistic effects between the hot ions and the helicon wave are observed, where super hot ions with energy exceeding $100$ keV appear, as evidenced by the formation of a pronounced plateau in the hot ion velocity distribution function. Finally, the introduction of minority hot ions is proved to have a limited effect on the total current drive in the device.
    参考文献 | 相关文章 | 计量指标
    Numerical study on fast particle confinement in Chinese first quasi-axisymmetric stellarator
    Yi-Hang Shou(寿毅航), Xian-Qu Wang(王先驱), Zhi-Ru Li(李志儒), Yu-Cai Li(栗钰彩), Yu-Hong Xu(许宇鸿), Jun Cheng(程钧), Hai-Feng Liu(刘海峰), Jie Huang(黄捷), Xin Zhang(张欣), Hai Liu(刘海), Jun-Feng Shen(沈军峰), Jun Hu(胡军), and Chang-Jian Tang(唐昌建)
    2026 (3):  35204-035204.  doi: 10.1088/1674-1056/adf828
    摘要 ( 54 )   HTML ( 0 )   PDF(4847KB) ( 27 )  
    Fast particle confinement in the Chinese first quasi-axisymmetric stellarator (CFQS) is investigated using the MEGA code, comparing the standard quasi-axisymmetric (QA) configuration with a finite-beta $(\langle \beta \rangle=0.74%)$ equilibrium featuring magnetic islands. In the standard QA configuration, the drift associated with the vertical magnetic curvature term, $\left( {\bm \nabla \times \bm b} \right)_{z}$, is identified as the dominant loss mechanism, especially for co-passing particles. In the finite-beta configuration, magnetic islands trap low-energy particles. The $\left( {\bm \nabla \times \bm b} \right)_{z}$ drift modulates this trapping, promoting escape for co-passing particles while reinforcing trapping for counter-passing particles, and remains a significant contributor to overall losses. These findings underscore the critical role of the $\left( {\bm \nabla \times \bm b} \right)_{z}$ drift and the added complexities of magnetic islands for energetic particle confinement in finite-beta stellarator plasmas.
    参考文献 | 相关文章 | 计量指标
    Numerical investigation on performance of electrohydrodynamic thruster with needle-ring electrode
    Chun-Yan Wang(王春岩), Hu-Lin Huang(黄护林), Hao Li(李灏), Tian-Tian Chen(陈田田), and Xi-Jing Hu(胡锡精)
    2026 (3):  35205-035205.  doi: 10.1088/1674-1056/adf829
    摘要 ( 72 )   HTML ( 0 )   PDF(2058KB) ( 24 )  
    The electrohydrodynamic (EHD) thruster is a propulsion system characterized by its propellant-free operation. This paper employs a plasma chemical model to systematically investigate three critical parameters affecting EHD propulsion performance: oxygen concentration, secondary electron emission coefficient (SEEC), and voltage polarity. Results show that optimizing the nitrogen-to-oxygen concentration ratio from 4:1 to 5:1 under positive corona discharge enhances the thrust-to-power ratio by 41.3%. Furthermore, increasing the SEEC from 0.001 to 0.01 produces significant performance improvements, with thrust increasing by 34.5% and thrust-to-power ratio surging by 142.2%. Notably, negative corona discharge exhibits substantially reduced efficiency, as the accumulation of positive charges near the emitter electrode induces aerodynamic resistance, resulting in thrust values less than 1% of those achieved in positive discharge configurations.
    参考文献 | 相关文章 | 计量指标
    A novel observation of controlled carrier hopping process in B-doped Si nanocrystal/SiC multilayers at low temperatures
    Yuhao Wang(王宇皓), Teng Sun(孙腾), Junnan Han(韩俊楠), Jiaming Chen(陈佳明), Ting Zhu(朱挺), Wei Li(李伟), Jun Xu(徐骏), and Kunji Chen(陈坤基)
    2026 (3):  36105-036105.  doi: 10.1088/1674-1056/adf5a6
    摘要 ( 56 )   HTML ( 0 )   PDF(1022KB) ( 21 )  
    Recent advances in quantum computing devices make studies on the carrier transport behaviors of silicon nanocrystals (Si NCs) under cryogenic temperature a most important subject. In this work, we study the electrical properties modified by B dopants in Si NC/SiC multilayers. Mobility measurement shows that the scattering mechanism that dominates in our samples in a low temperature range is ionized impurity scattering. Three carrier transport behaviors are identified as variable range hopping (VRH) (20-100 K), multiple phonon hopping (MPH) (100-500 K) and thermally-activated mechanisms (500-660 K). At temperature ranges as low as 30 K, we observe the effect of the Coulomb gap in B-doped Si NC/SiC multilayers that obey the Efros and Shklovskii (ES) law, which was not present in our previous studies concerning Si NC multilayers. The crossover temperature $T_{\rm C}$ is observed to increase with rising B-doping concentrations, which demonstrates another interesting effect of doping in controlling the electrical properties of Si NCs.
    参考文献 | 补充材料 | 相关文章 | 计量指标
    Theoretical synthesis of small-angle neutron scattering spectra with a smearing effect from monodisperse and polydisperse hard spherical colloids
    Shuoyang Xiao(肖硕洋), Songlin Wang(王松林), Bin Wu(吴彬), and Takuya Iwashita
    2026 (3):  36106-036106.  doi: 10.1088/1674-1056/adf61c
    摘要 ( 59 )   HTML ( 0 )   PDF(1154KB) ( 9 )  
    Small-angle neutron scattering (SANS) is a powerful technique for microstructural characterization with several advantages, such as unique isotopic sensitivity, deep penetration capability, in situ characterization potential, and minimal radiation damage to samples. However, the intrinsically low neutron flux unavoidably necessitates certain compromises during measurements. These include a finite spread in wavelength, beam divergence, and the large footprint of the incident neutron beam, all of which lead to the so-called smearing effect. Consequently, the measured SANS spectra not only encode the microstructural information of the samples but are also influenced by the experimental conditions, thereby complicating the interpretation of the data. To facilitate the development of a machine learning-based approach for de-smearing measured SANS spectra, this study aims to establish a theoretical framework for synthesizing spectra both with and without the smearing effect. We focus on hard-sphere colloidal systems and consider system parameters such as the colloidal particle size, polydispersity, and volume fraction, and measurement conditions such as the neutron wavelength and its spread and beam divergence. The exemplary spectra presented herein also highlight the impact of the smearing effect under typical experimental conditions.
    参考文献 | 相关文章 | 计量指标
    Machine learning prediction of HSE06-level band gaps in two-dimensional semiconductors with reference-guided graph neural networks
    Zhen Wan(万振), Shun-Bo Jiang(姜顺波), Yuan Li(李圆), Hui Wang(王辉), Zong-Liang Li(李宗良), and Guang-Ping Zhang(张广平)
    2026 (3):  37102-037102.  doi: 10.1088/1674-1056/adfef8
    摘要 ( 85 )   HTML ( 0 )   PDF(708KB) ( 29 )  
    Two-dimensional (2D) semiconductors have emerged as promising candidates in next-generation nanoelectronics and sustainable energy technologies, particularly in photoelectrochemical water splitting, due to their exceptional quantum confinement effects and tunable optoelectronic properties. Accurate determination of electronic band gaps remains a critical prerequisite for rational material design in advanced optoelectronic applications. However, the commonly used density functional theory approach with conventional functionals suffers from intrinsic deficiencies in predicting semiconductor band gaps, while calculations with higher hierarchy of functionals like the HSE06 hybrid functional or based on higher level methodologies such as GW approximation incur prohibitive computational costs. To address this challenge, here we propose a reference-guided graph neural network (RG-GNN) framework that achieves HSE06-level accuracy through efficient machine learning. Our approach uniquely embeds an input reference value for the target property with minimal elementary descriptors encoding the structural information of the materials in the model, enabling high-accuracy band gap prediction at the HSE06 level. The model achieves a mean absolute error of 0.15 eV on unseen 2D semiconductor systems compared to HSE06 band gaps. Systematic ablation studies reveal that the reference-guided mechanism reduces prediction error by 83.3% and significantly decreases training dataset requirements for model convergence compared to conventional GNN architectures. Our results demonstrates that topological atomic descriptors from primitive cells, when combined with appropriate reference values, contain sufficient information for highly accurate band gap prediction in 2D materials.
    参考文献 | 相关文章 | 计量指标
    Topological phases in nitrogen-doped chevron graphene nanoribbons
    Yixuan Gao(高艺璇), Xinxi Zeng(曾新喜), and Ruizi Zhang(张瑞梓)
    2026 (3):  37103-037103.  doi: 10.1088/1674-1056/ae27b2
    摘要 ( 54 )   HTML ( 0 )   PDF(1199KB) ( 17 )  
    Researches on one-dimensional topological insulators have garnered significant attention following the discovery of symmetry-protected topological phases in graphene nanoribbons (GNRs). The topological properties of GNRs are modulated by shape modulation, such as altering the width, edge structure, and unit cell termination. Compared to shape modulation, the introduction of foreign atoms doping in the unit cell has proven more practical. However, the impact of doping on topological properties and the underlying mechanisms remain incompletely understood. In this study, nitrogen doping in chevron GNR is utilized to investigate the mechanism of the topological properties with different doping concentrations. The nitrogen doping reduces the intracell hopping parameter, and transforms the GNR from trivial to nontrivial when the doping level reaches eight nitrogen atoms per unit cell. Additionally, the GNR junctions comprising the chevron-GNR and pristine armchair GNRs demonstrate antiferromagnetic exchange coupling. These findings may inform future experimental design of GNR-based electronic devices.
    参考文献 | 补充材料 | 相关文章 | 计量指标
    On the nature of inhomogeneous weak localization of charge carriers in the heavy fermion compound CeB6
    A N Azarevich, A V Bogach, O N Khrykina, N B Bolotina, V M Gridchina, S Yu Gavrilkin, A Yu Tsvetkov, V V Voronov, K Flachbart, S Gabani, and N E Sluchanko
    2026 (3):  37202-037202.  doi: 10.1088/1674-1056/adfbdd
    摘要 ( 63 )   HTML ( 0 )   PDF(790KB) ( 16 )  
    Fine details of the electron density distribution in the heavy fermion metal CeB$_{6}$ have been studied for the first time by precision x-ray diffraction experiments in the temperature range of 30-500 K. At temperatures between 30 K and 80 K, the formation of dynamic charge stripes along the $\langle 100\rangle$ axes is observed in B$_{6}$ clusters, corresponding to gapless (weak) localization of charge carriers. Based on the achieved results, we assume that the spin-polarized 5d-2p electronic states in the conduction band are partially localized within these charge stripes and between vibrationally coupled Ce-Ce pairs. Moreover, results of thermal conductivity, heat capacity, Seebeck coefficient and resistivity measurements indicate a significant role of polaron-phonon scattering, which causes inhomogeneous weak localization of charge carriers in CeB$_{6}$.
    参考文献 | 补充材料 | 相关文章 | 计量指标
    Anomalous quantum scattering and transport of electrons with Mexican-hat band structure induced by electrical potential
    Jia-Ting Yao(姚嘉婷), Ben-Liang Zhou(周本良), Xiao-Ying Zhou(周小英), Xian-Bo Xiao(肖贤波), and Guang-Hui Zhou(周光辉)
    2026 (3):  37203-037203.  doi: 10.1088/1674-1056/adecfb
    摘要 ( 61 )   HTML ( 0 )   PDF(1312KB) ( 26 )  
    We theoretically study the quantum scattering and transport of electrons with Mexican-hat dispersion through both step and rectangular potential barriers by using the transfer matrix method. Owing to the torus-like iso-energy lines of the Mexican-hat dispersion, abnormal retro-reflection (RR) and specular transmission (ST) are generated besides the normal reflection (NR) and transmission (NT). For the step potential with electrons incident from the large wavevector, the transmission is primarily governed by NT with nearly negligible ST, while the reflection is dominant by RR (NR) within (outside) the critical angle. Additionally, for electrons incident from the small wavevector, the NT can be reduced to zero by adjusting the barrier, resulting in a significant enhancement of ST and RR. For the rectangular barrier, the transmission and reflection spectra resemble those of the step barrier, but there are two kinds of resonant tunneling which can lead to perfect NT or ST. Due to the anomalous scattering process, the conductance of the system can be effectively controlled by adjusting the height and width of the barrier as well as the incident energy. Our results provide a deeper understanding of the electron states governed by the Mexican-hat dispersion.
    参考文献 | 相关文章 | 计量指标
    Dissipative-coupling-induced magnomechanical chaos
    Qin Wu(吴琴), Jiao Peng(彭椒), Yu-Dong Chen(陈毓东), and Zeng-Xing Liu(刘增星)
    2026 (3):  37501-037501.  doi: 10.1088/1674-1056/adfa7a
    摘要 ( 50 )   HTML ( 0 )   PDF(1238KB) ( 21 )  
    Chaotic motion that exhibits extraordinary dynamic behavior has attracted particular attention in magnonics in the context of understanding nonlinear magnomechanical interaction. Here, we theoretically explore the magnomechanical chaos induced by dissipative coupling in an open cavity magnomechanical system. Numerical calculations of the magnomechanical dynamics show that the introduction of dissipative coupling can greatly enhance the nonlinearity of the system and induces ultra-low driving threshold chaotic motion, which effectively solves the bottleneck that the weak magnetostrictive interaction cannot trigger chaotic motion in a cavity magnomechanical system. Furthermore, we find that the degree of chaos represented by the Lyapunov exponent can be well tuned by changing the dissipative coupling strength. In addition to providing insight into chaotic behavior in open magnomechanical systems, dissipative-coupling-induced chaotic motion may also hold for other magnonic quantum systems since magnons possess excellent compatibility with other quasiparticles, and may find applications in the chaotic transfer of information.
    参考文献 | 相关文章 | 计量指标
    Coexistence of room-temperature negative differential resistance and unsaturated magnetoresistance effects in germanium-based devices
    Xiong He(何雄), Ling Cai(蔡玲), Li-Zhi Yi(易立志), Guang-Duo Lu(鲁广铎), Li-Qing Pan(潘礼庆), and Zhi-Gang Sun(孙志刚)
    2026 (3):  37502-037502.  doi: 10.1088/1674-1056/adfdc3
    摘要 ( 84 )   HTML ( 0 )   PDF(1418KB) ( 52 )  
    We demonstrate room-temperature negative differential resistance (NDR) and unsaturated magnetoresistance (MR) effects in germanium-based devices. Our findings indicate that the observed NDR primarily originates from the carrier injection effect induced by local impact ionization in germanium. As the magnetic field increases, the MR values exhibit an unsaturated behavior, increasing quadratically at low fields and transitioning to a linear increase at higher fields, reaching approximately 91% at 1 T. We attribute this large unsaturated MR to carrier inhomogeneity. The equivalent Hall electric field strength was used to characterize the degree of carrier inhomogeneity under magnetic fields: a larger equivalent Hall electric field strength indicates stronger carrier inhomogeneity and consequently a larger corresponding MR. The coexistence of excellent room-temperature NDR and large unsaturated MR in germanium-based devices (achieved by constructing electrodes at two edge positions on the semiconductor surface) enables the development of multifunctional devices.
    参考文献 | 补充材料 | 相关文章 | 计量指标
    Gapless and ordered phases in spin-1/2 Kitaev-XX-Gamma chain
    Zebin Zhuang(庄泽彬) and Wang Yang(杨望)
    2026 (3):  37503-037503.  doi: 10.1088/1674-1056/ae3067
    摘要 ( 50 )   HTML ( 1 )   PDF(1044KB) ( 15 )  
    We study the spin-1/2 Kitaev chain with additional XX and symmetric off-diagonal Gamma interactions. By combining the Jordan-Wigner transformation with density matrix renormalization group (DMRG) numerical simulations, we obtain the exact solution of the model and map out the phase diagram containing six distinct phases. The four gapped phases display ferromagnetic and antiferromagnetic magnetic orders along the $(1,1,0)$- and $(1,-1,0)$-spin directions, whereas in the gapless phases, the low-energy spectrum consists of two branches of helical Majorana fermions with unequal velocities. The transition lines separating different phases include deconfined quantum critical lines with dynamical critical exponent $z = 1$ and quadratic critical lines with $z = 2$. Our work reveals the rich interplay among symmetry, magnetic order, and quantum criticality in the Kitaev-XX-Gamma chain.
    参考文献 | 相关文章 | 计量指标
    Controlling tilted chiral magnetic textures in Janus NbXTe (X = Se, S) monolayers via magnetic field and strain engineering
    Xiao-Bo Yu(于晓波), Dong Fan (范栋), and Chang-Wen Zhang(张昌文)
    2026 (3):  37504-037504.  doi: 10.1088/1674-1056/ae3c8a
    摘要 ( 47 )   HTML ( 0 )   PDF(2481KB) ( 35 )  
    While magnetic skyrmions in perpendicular magnetic anisotropy (PMA) systems are extensively studied, their realization in in-plane magnetic anisotropy (IMA) materials remains largely unexplored. Here, we demonstrate that Janus Nb$X$Te ($X = {\rm Se}$, S) monolayers host spontaneous tilted chiral textures, stabilized by substantial Dzyaloshinskii-Moriya interaction (DMI) (0.80 meV for NbSeTe, 0.59 meV for NbSTe) and intrinsic IMA. Combining first-principles calculations and atomistic spin dynamics simulations, we establish that perpendicular fields and biaxial strain independently reshape the energy landscape by tuning the competition among exchange, DMI, and anisotropy. Remarkably, while both materials spontaneously host skyrmions at zero field, NbSTe exhibits a superior field response, enabling multi-skyrmion nucleation at $\sim 0.2$ T compared to $\sim 0.8$ T for NbSeTe. Moreover, NbSTe sustains stability under 6% tensile strain, whereas NbSeTe undergoes topological degradation into chain-like textures. This work elucidates the stabilization mechanisms in two-dimensional (2D) IMA systems and identifies NbSTe as a robust candidate for low-power spintronic applications.
    参考文献 | 相关文章 | 计量指标
    Low-energy termination of spiral turbulence in heterogeneous myocardium using circularly polarized electric fields
    Yu-Jie Lv(吕玉杰), Xia Feng(冯霞), Wan-Jie Mei(梅万杰), Kai-Wen Sun(孙凯文), Chun Zhang(张春), and Xiang Gao(高翔)
    2026 (3):  38201-038201.  doi: 10.1088/1674-1056/ae24ee
    摘要 ( 56 )   HTML ( 0 )   PDF(2036KB) ( 19 )  
    Circularly polarized electric fields (CPEF) represent a highly promising low-energy defibrillation approach, demonstrating exceptional efficacy in terminating life-threatening arrhythmias such as ventricular fibrillation while effectively mitigating the myocardial injury risks associated with conventional high-voltage defibrillation. This study provides an in-depth revelation of the mechanism by which CPEF induces excitation waves around naturally occurring heterogeneous defects within heart tissue, thereby suppressing spiral turbulence. Through numerical simulations based on the LR1 model and phase field method, we confirm that CPEF, due to its dynamic rotational properties, induces virtual electrode effects around various defects. In conditions of low strength, CPEF adaptively excites these defects, thereby achieving synchronized myocardial activation for defibrillation. In comparison with uniform electric fields (UEF), CPEF is more effective in suppressing spiral turbulence by inducing periodic excitation waves around defects with irregular geometries. These findings elucidate the biophysical principles underlying CPEF's low-energy defibrillation capability, offering robust theoretical support for developing non-invasive antiarrhythmic therapies.
    参考文献 | 相关文章 | 计量指标
    Contribution of x-ray incident position dependence to energy resolution of Ti/Au transition-edge sensors
    Qing-Xiao Ma(马卿效), Wen Zhang(张文), Pei-Zhan Li(李佩展), Zhi-Fa Feng(冯志发), Xian-Feng Zhou(周先锋), Zheng Wang(王争), Jia-Qiang Zhong(钟家强), Wei Miao(缪巍), Yuan Ren(任远), Jing Li(李婧), and Sheng-Cai Shi(史生才)
    2026 (3):  38501-038501.  doi: 10.1088/1674-1056/adfbd6
    摘要 ( 57 )   HTML ( 0 )   PDF(811KB) ( 19 )  
    We present the contribution of x-ray incident-position dependence on the absorber to the energy resolution of Ti/Au transition-edge sensors (TESs). The pulse height varies with the position due to insufficient thermal conductivity and geometry of the absorber that degrades the measured energy resolution. We develop a three-dimensional (3D) electro-thermal simulation model and thoroughly study the position dependent contribution to energy resolution ($\Delta E_{\rm p}$) for two presentative absorber structures: an absorber directly deposited on the center of TES sensor (design A) and an absorber cantilevered on the TES sensor by several stems (design B). For design A with a 30 μm$\times$40 μm Au absorber $\Delta E_{\rm p}$ is found to be 9.4 eV, while it is reduced to 1.35 eV for design B with a 100 μm$\times$100 μm Au absorber. Although the contribution of position dependence is relatively small, this study facilitates further optimization of the absorber structure to achieve enhanced energy resolution.
    参考文献 | 相关文章 | 计量指标
    Enhanced thermal stability of OLEDs based on an organic n-p heterojunction and its derivative
    Wei Shi(施薇), Wei Zhao(赵微), Bingjia Zhao(赵冰佳), Yangyang Zhu(朱杨洋), Yang Lin(林洋), Yachen Xu(徐亚晨), Weixia Lan(兰伟霞), and Bin Wei(魏斌)
    2026 (3):  38502-038502.  doi: 10.1088/1674-1056/adfdc8
    摘要 ( 73 )   HTML ( 1 )   PDF(1119KB) ( 24 )  
    To address the issues of insufficient thermal stability in charge generation layers (CGLs) and carrier imbalance induced by high-temperature annealing in organic light-emitting diodes (OLEDs), this study proposes a metal oxide-doped organic n-p heterojunction (BPhen:Ag$_{2}$O/NPB:MoO$_{3}$) as the core functional layer and designs novel device structures based on its derivatives. By analyzing the performance evolution of heterojunction thin films and OLEDs under annealing treatments ranging from 27 $^\circ$C to 100 $^\circ$C, it was found that after high-temperature annealing, the surface MoO$_{3}$ particles became uniformly dispersed in the heterojunction films, with reduced roughness and no crystallization observed, demonstrating excellent thermal stability. Single-carrier device tests revealed that the current density reached its maximum value at 80 $^\circ$C annealing. In comparison, at 100 $^\circ$C annealing, the current density decreased due to the dissociation of charge-transfer complexes (CTCs), yet it remained higher than that under ambient conditions. Furthermore, the performance degradation of the newly developed p-i-n-p structure OLEDs after high-temperature annealing was significantly smaller compared to conventional p-i-n structures.
    参考文献 | 补充材料 | 相关文章 | 计量指标
    Fuzzy-theory-based social force model for simulating pedestrian choice of ticket gates in subway stations
    Yong-Xing Li(李永行), Xiao-Xiao Fu(付潇潇), Jing-Xuan Peng(彭靖萱), Zhi-Lu Yuan(原志路), and Xiao-Xia Yang(杨晓霞)
    2026 (3):  38901-038901.  doi: 10.1088/1674-1056/adfc3f
    摘要 ( 59 )   HTML ( 1 )   PDF(1439KB) ( 66 )  
    Ticket gates are vital equipment within subway stations, which have also caused bottlenecks in pedestrian flow. The effective utilization of ticket gates can enhance the pedestrian traffic efficiency. Nevertheless, pedestrian choice of ticket gates has the characteristics of uncertainty and fuzziness. In this regard, we build a fuzzy-theory-based pedestrian choice model of ticket gates: the distance, queuing pedestrians and luggage are adopted as three input variables in the fuzzy logic method, and the probability of selecting each ticket gate is set as the output variable. On this basic, we employ social force model (SFM) to simulate the ticket gates selection process in subway stations. Simulation results demonstrate that the choice model based on fuzzy logic can capture pedestrian choice behavior of ticket gates well. In comparison to traditional choice strategies (choosing the nearest ticket gate or choosing the ticket gate with the fewest queuing pedestrians), the proposed choice model of ticket gates based on fuzzy logic has the higher passing efficiency and the utilization of ticket gates is more balanced. The outcomes of this research can provide substantial support for the humanized design and operation management of subway stations.
    参考文献 | 相关文章 | 计量指标