Please wait a minute...

当期目录

    2026年, 第35卷, 第2期 刊出日期:2026-01-21 上一期    下一期
    Phase transition of interfacial water at low-dimensions
    Wenlong Liang(梁文龙), Yujie Huang(黄雨婕), Yue Zhang(张悦), and Chunlei Wang(王春雷)
    2026 (2):  20501-020501.  doi: 10.1088/1674-1056/ae12da
    摘要 ( 128 )   HTML ( 2 )   PDF(2921KB) ( 72 )  
    Water molecules can form hydrogen bonds. At the solid surfaces, the preferential alignment of water molecules due to the heterogeneous atomic distributions can induce ordered hydrogen bond networks of water molecules with spatially heterogeneous patterns and slower dynamics compared to bulk water. Both the confinement and the surface atomic structures can induce the water phase transitions at low dimensional spaces. Here, we review how the phase transitions of interfacial water affect the surface physical behaviors, such as wetting, ice nucleation and the terahertz-wave-water interactions, from solid materials to the biological surfaces. These works help extend our knowledge of the physics properties of the interfacial water, particularly the multi-phase behaviors in materials and biology sciences.
    参考文献 | 相关文章 | 计量指标
    Magnetic refrigerants for ultralow temperatures: A mini-review
    Ziyu W. Yang(杨子煜), Shuai Tang(唐帅), Guangkai Zhang(张广凯), Ciyu Qin(秦慈宇), Maocai Pi(皮茂材), Xubin Ye(叶旭斌), Zhao Pan(潘昭), Yu-Jia Zeng(曾昱嘉), and Youwen Long(龙有文)
    2026 (2):  20701-020701.  doi: 10.1088/1674-1056/ae24f0
    摘要 ( 133 )   HTML ( 1 )   PDF(1682KB) ( 64 )  
    Accessing the milli-Kelvin regime is increasingly important for next-generation quantum technologies and deep-space observations. Among established cryogenic techniques, adiabatic demagnetization refrigeration (ADR) is distinctive for its all-solid-state design, low vibration, and intrinsic gravity independence. Here we present a materials-centered review of ADR refrigerants, connecting classical thermodynamics to modern quantum many-body behavior. Beyond hydrated paramagnetic salts, dense rare-earth oxides and correlated-disorder ceramics, we highlight emerging quantum-engineered refrigerants, including geometrically frustrated magnets, and quantum-critical systems. In these materials, suppressing long-range order and tailoring low-energy excitations redistribute spin entropy into the sub-Kelvin window, enabling large and reversible entropy changes at the lowest accessible temperatures. We discuss the central trade-offs among volumetric entropy density, thermal transport, and magnetic ordering, and outline possible design rules for staged ADR architectures.
    参考文献 | 相关文章 | 计量指标
    High-performance thermomagnetic generation in low-grade waste heat recovery
    Haodong Chen(陈浩东), Hu Zhang(张虎), Mingze Liu(刘明泽), Kaiming Qiao(乔凯明), Lichen Wang(王利晨), Fengxia Hu(胡凤霞), and Baogen Shen(沈保根)
    2026 (2):  27201-027201.  doi: 10.1088/1674-1056/ae1205
    摘要 ( 123 )   HTML ( 0 )   PDF(11947KB) ( 35 )  
    Thermomagnetic generation (TMG), a heat-to-electricity conversion technology based on the thermomagnetic effect, offers high reliability and broad adaptability to diverse heat sources. By exploiting the temperature-dependent magnetization of thermomagnetic materials, TMG converts thermal energy into electrical energy through cyclic changes in magnetic flux based on Faraday's law. The performance of TMG systems is largely governed by the intrinsic properties of the working materials and the design of device architecture. Ideal TMG materials exhibit sharp and reversible magnetization transitions near the operating temperature, low thermal hysteresis, and high thermal conductivity. Device configurations can be broadly categorized into active and passive systems: active TMG devices rely on controlled thermal cycling and optimized magnetic circuits for enhanced output, whereas passive devices utilize self-actuated mechanical motion to generate electricity. In this topical review, we provide a comprehensive overview of recent advances in TMG materials and device configurations. Furthermore, we discuss future development trends and offer perspectives on experimental strategies to advance this field.
    参考文献 | 相关文章 | 计量指标
    Magnetoelectric topology: The rope weaving in parameter space
    Ying Zhou(周颖), Ziwen Wang(王子文), Fan Wang(王凡), Haoshen Ye(叶浩燊), and Shuai Dong(董帅)
    2026 (2):  27501-027501.  doi: 10.1088/1674-1056/ae2c6b
    摘要 ( 75 )   HTML ( 0 )   PDF(2566KB) ( 40 )  
    Topology, as a mathematical concept, has been introduced into condensed matter physics since the discovery of quantum Hall effect, which characterizes new physical scenario beyond the Landau theory. The topologically protected physical quantities, such as the dissipationless quantum transport of edge/surface states as well as magnetic/dipole quasi-particles like skyrmions/bimerons, have attracted great research enthusiasms in the past decades. In recent years, another kind of topology in condensed matter was revealed in the magnetoelectric parameter space of multiferroics, which deepens our understanding of magnetoelectric physics. This topical review summarizes recent advances in this area, involving three types of type-II multiferroics. With magnetism-induced ferroelectricity, topological behaviors can be manifested during the magnetoelectric switching processes driven by magnetic/electric fields, such as Roman-surface/Riemann-surface magnetoelectricity and magnetic crankshaft. These exotic topological magnetoelectric behaviors may be helpful to pursue energy-efficient and precise-control devices for spintronics and quantum computing.
    参考文献 | 相关文章 | 计量指标
    Electrocaloric refrigeration: From physical fundamentals to practical devices
    Feiyu Zhang(张费宇), Tiannan Yang(杨天南), and Xiaoshi Qian(钱小石)
    2026 (2):  27701-027701.  doi: 10.1088/1674-1056/ae1f80
    摘要 ( 75 )   HTML ( 1 )   PDF(2730KB) ( 33 )  
    The electrocaloric (EC) effect refers to the change in the polarization entropy and/or temperature of dielectric materials when an electric field is applied and removed. EC refrigeration has received increasing interest as an alternative to conventional refrigeration technologies because it provides both high energy efficiency and zero global warming potential. In this review, we first introduce the thermodynamic fundamentals of the EC effect and the mechanism of EC refrigeration cycles. We then present recent advances in EC cooling technologies, from material improvements to device demonstrations, including a critical analysis of existing material and device characterization methodologies and a discussion of how to reliably measure the parameters of materials and devices. Finally, the current challenges and possible future prospects for EC cooling technology are outlined.
    参考文献 | 相关文章 | 计量指标
    Design of electrocaloric materials based on E-T phase diagrams
    Fei Han(韩飞), Rongju Zhong(钟容菊), Jikun Yang(杨继昆), Chuanbao Liu(刘传宝), and Yang Bai(白洋)
    2026 (2):  27704-027704.  doi: 10.1088/1674-1056/ae3308
    摘要 ( 77 )   HTML ( 0 )   PDF(1868KB) ( 34 )  
    As electronic technology continues to evolve towards miniaturization and integration, the demand for micro-refrigeration technology in microelectronic systems is increasing. Ferroelectric (FE) refrigeration technology based on the electrocaloric effect (ECE) has emerged as a highly promising candidate in this field, due to its advantages of high energy efficiency, simple structure, easy miniaturization, low cost, and environmental friendliness. The EC performance of FE materials essentially depends on the phase transition features under the coupled electric and thermal fields, making the $E$-$T$ phase diagram a core tool for decoding the underlying mechanism of ECE. This paper reviews the development of EC materials, focusing on the comprehensive study of $E$-$T$ phase diagrams. By correlating the microscopic phase structure of FE materials with the macroscopic physical properties, it clarifies the manipulation mechanism for enhanced ECE performance, providing theoretical support for the targeted design of high-performance EC materials. In the future, the introduction of data-driven methods is expected to enable the high-throughput construction of FE phase diagrams, thereby accelerating the optimization of high-performance EC materials and promoting the practical application of FE refrigeration technology.
    参考文献 | 相关文章 | 计量指标
    Progresses on 148 nm light sources for precision measurement of nuclear transition of 229mTh
    Yang Wang(王样), Zheng-Rong Xiao(肖峥嵘), Heng-Zhi Zhang(张恒之), Lin-Qiang Hua(华林强), and Xiao-Jun Liu(柳晓军)
    2026 (2):  20601-020601.  doi: 10.1088/1674-1056/ae0d78
    摘要 ( 96 )   HTML ( 2 )   PDF(962KB) ( 314 )  
    The thorium-229 nucleus possesses a uniquely low-energy nuclear transition ($\sim 8.4$ eV, corresponding to a wavelength of $\sim 148$ nm), which is the first confirmed nuclear excitation that can be coherently manipulated by narrow-linewidth lasers. Consequently, this transition has garnered widespread interest over the past decades. Owing to the small nuclear size and strong resistance to environmental perturbations, a thorium-based nuclear clock is theoretically capable of achieving an unprecedented fractional frequency uncertainty at the 10$^{-20}$ level, offering great promise as a next-generation frequency standard. Among the key ingredients of such a thorium-based nuclear clock, a high-performance 148 nm excitation source is of critical importance. Since the feasibility of directly exciting the transition, as well as the overall clock performance, depends heavily on the availability and quality of such a source, the development of high-quality 148 nm laser sources represents a frontier for scientists worldwide. In this article, we provide a systematic overview of the current development of 148 nm laser sources. First, we briefly introduce the scientific motivation for high-precision spectroscopy of the thorium nuclear transition and the corresponding technical requirements for 148 nm laser sources. Then, we summarize four main types of existing 148 nm source generation schemes and their working principles, along with recent progress in nuclear transition measurements using such sources. Finally, we discuss potential future directions.
    参考文献 | 相关文章 | 计量指标
    Progresses on Th-doped materials for solid-state nuclear clock
    Cheng-Chun Zhao(赵呈春), Lin Li(李琳), Shan-Ming Li(李善明), Qiao-Rui Gong(龚巧瑞), Pei-Xiong Zhang(张沛雄), Yin Hang(杭寅), Long-Sheng Ma(马龙生), and Shi-Ning Zhu(祝世宁)
    2026 (2):  20602-020602.  doi: 10.1088/1674-1056/ae210f
    摘要 ( 93 )   HTML ( 1 )   PDF(1722KB) ( 71 )  
    The isomeric transition of thorium-229 (${}^{229}$Th), as the only known laser-accessible nuclear transition, offers the possibility for the development of a new generation of optical clocks. Solid-state nuclear optical clock based on ${}^{229}$Th-doped crystals or thin films has attracted much attention due to its potential advantages in high stability, miniaturization, and robustness. This paper reviews the research progress of solid-state nuclear optical clock materials, analyzes the preparation, defects, and properties of the candidate solid material systems for ${}^{229}$Th, explores the influence of the local crystal environment on the nuclear transition, focuses on introducing the latest research results of crystal materials such as Th-doped CaF$_{2}$ and LiSrAlF$_{6}$, and looks forward to the future development direction of this field. It could provide a reference for the material selection and optimization of solid-state nuclear optical clocks.
    参考文献 | 相关文章 | 计量指标
    Towards a 229Th nuclear clock: Understanding nucleus-electron-environment interactions
    Yan-Ling Xu(徐艳玲), Hong-Yuan Zheng(郑弘远), Xi-Chen Yu(喻希辰), Yong-Hui Zhang(张永慧), Ting-Yun Shi(史庭云), and Li-Yan Tang(唐丽艳)
    2026 (2):  23101-023101.  doi: 10.1088/1674-1056/ae1f7b
    摘要 ( 80 )   HTML ( 0 )   PDF(985KB) ( 52 )  
    Recent advances in atomic optical clocks based on electronic transitions have achieved frequency uncertainties at the $10^{-19}$ level, enabling wide applications in testing variations of physical constants, exploring dark matter signatures, and enhancing precision metrology for position, navigation, and timing systems. To pursue higher-precision optical clocks, the development of nuclear optical clocks has emerged, with the $^{229}$Th system distinguished by its unique low-lying isomeric state at $\sim8.4$ eV and a natural linewidth of approximately 100 μHz, promising uncertainties below $10^{-19}$. The intrinsic insensitivity of nuclear transitions to external perturbations and their subatomic-scale spatial confinement provide significant advantages over electronic transitions in mitigating environmental shifts. Recent experimental breakthroughs include the excitation of the nuclear clock transition in solid-state $^{229}$Th-doped crystals with spectral resolution at the kHz level. However, critical challenges persist, particularly in implementing effective laser excitation schemes (e.g., via the electronic bridge mechanism) and closed-loop quantum control in trapped ion systems. Addressing these requires comprehensive understanding of complex many-body interactions in $^{229}$Th, encompassing electronic structure, nuclear deformation, hyperfine and field shift, and solid-state environmental coupling. This review synthesizes recent advancements in (i) the characterization of nuclear and atomic structures of the $^{229}$Th nuclear clock, and (ii) precise evaluation and mitigation of external perturbations affecting the clock transitions. The analysis provides a solid theoretical and experimental foundation for optimizing $^{229}$Th-based nuclear clock performance.
    参考文献 | 相关文章 | 计量指标
    Steps towards a 229Th ionic nuclear clock in a linear ion trap
    Wen-Ting Gan(甘文婷), Zi Li(李梓), Chen Wang(王晨), Xia Hua(华夏), and Xin Tong(童昕)
    2026 (2):  23703-023703.  doi: 10.1088/1674-1056/ae31db
    摘要 ( 55 )   HTML ( 0 )   PDF(987KB) ( 55 )  
    Owing to the presence of a low-energy, long-lived nuclear isomeric state, $^{229}$Th is an ideal candidate for developing the next generation clock - the nuclear clock - holding great promise for both applied and fundamental physics. The $^{229}$Th ionic nuclear optical clock has garnered considerable attention, attributed to its high precision with a relative uncertainty of $\le 1.5 \times 10^{-19}$ and the potential for common-mode noise cancellation via self-comparison between the nuclear transition and the electronic transition of thorium ions. In this article, we focus on Th$^{n+}$ ions ($n = 1$, 2, 3) and present a comprehensive review of the current progress in the development of ionic nuclear clocks, covering essential steps such as ion generation, trapping, and cooling. Furthermore, we discuss the realization of a closed-loop clock cycle, addressing key aspects including stable isomer excitation and efficient isomer deexcitation.
    参考文献 | 相关文章 | 计量指标
    Octupole correlations of the Kπ = 5/2+ ground-state band in 229Th
    Yuan-Yuan Wang(王媛媛) and Peng-Wei Zhao(赵鹏巍)
    2026 (2):  20603-020603.  doi: 10.1088/1674-1056/ae13ee
    摘要 ( 52 )   HTML ( 0 )   PDF(1122KB) ( 71 )  
    The octupole correlations of the $K^\pi=5/2^+$ ground state and the rotational spectrum built on it in $^{229}$Th are studied using the microscopic relativistic density functional theory on a three-dimensional lattice space and the reflection-asymmetric triaxial particle rotor model. It is found that $^{229}$Th has a ground state with static axial octupole and quadrupole deformations. The occurrence of octupole correlations, driven by the octupole deformation, is analyzed through the evolution of single-particle levels around the Fermi surface. The experimental energy spectrum and the electromagnetic transition probabilities, including $B(E2)$ and $B(M1)$, are reasonably well reproduced.
    参考文献 | 相关文章 | 计量指标
    Prediction of Ig,6d3/2Ig,7p1/2, Ig,7s1/2Ig,7p1/2 and Ig, 7p1/2Im,7s1/2 transition frequencies in 229Th3+ ion
    Shi-Cheng Yu(余师成), Cheng-Bin Li(李承斌), and Lei She(佘磊)
    2026 (2):  23701-023701.  doi: 10.1088/1674-1056/ae0016
    摘要 ( 59 )   HTML ( 0 )   PDF(636KB) ( 20 )  
    The $^{229}$Th nucleus has attracted considerable attention due to the existence of its low-energy isomeric state; however, direct laser excitation in ionic systems poses significant challenges for current laser technologies. In the $^{229}$Th$^{3+}$ ion, the electronic bridge (EB) process enables the conversion of direct laser excitation into an effective two-photon process ($I_{\rm g},6{\rm d}_{3/2}\rightarrow I_{\rm g},7{\rm p}_{1/2}\rightarrow I_{\rm m},7{\rm s}_{1/2}$), thereby circumventing the requirement for laser radiation at 148 nm. In this work, we employ many-body perturbation theory (MBPT) to calculate the hyperfine structure constants and field shift factors for several low-lying excited states of the $^{229}$Th$^{3+}$ ion. By combining these theoretical results with previously reported experimental data, we predict three transition frequencies associated with the EB process in the $^{229}$Th$^{3+}$ ion and identify the most suitable transition pathway for EB-assisted nuclear excitation.
    参考文献 | 相关文章 | 计量指标
    Three-dimensional flat bands and possible interlayer triplet pairing superconductivity in the alternating twisted NbSe2 moiré bulk
    Shuang Liu(刘爽), Peng Chen(陈鹏), and Shihao Zhang(张世豪)
    2026 (2):  26801-026801.  doi: 10.1088/1674-1056/ae23ac
    摘要 ( 119 )   HTML ( 0 )   PDF(2108KB) ( 192 )  
    Moiré superlattices hosting flat bands and correlated states have become a central focus in condensed matter research. Using first-principles calculations, we investigate three-dimensional flat bands in alternating twisted NbSe$_2$ moiré bulk structures, which exhibit stronger interlayer interactions than twisted bilayer configurations. Our results show that moiré bulks undergo spontaneous large-scale structural relaxation, leading to the formation of remarkably flat energy bands at twist angles $\leq 7.31^\circ$. The $k_z$-dependent dispersion of these flat bands across different moiré bulks highlights their intrinsic three-dimensional character. Moreover, the presence of out-of-plane mirror symmetry in these moiré bulk structures indicates potential interlayer triplet superconducting pairing mechanisms, distinct from those in twisted bilayer systems. This work opens new avenues for exploring three-dimensional flat bands in other moiré bulk systems.
    参考文献 | 补充材料 | 相关文章 | 计量指标
    Charge-transfer-induced re-entrant ferromagnetism in twisted-bilayer-MoTe2/hBN/WSe2
    Shaozheng Wang(王绍政), Xumin Chang(常旭敏), Feng Liu(刘峰), Yuchen Zheng(郑宇辰), Juncai Wu(吴俊才), Tong Zheng(郑桐), Kenji Watanabe, Takashi Taniguchi, and Shengwei Jiang(姜生伟)
    2026 (2):  27101-027101.  doi: 10.1088/1674-1056/ae1c27
    摘要 ( 72 )   HTML ( 0 )   PDF(881KB) ( 21 )  
    Ferromagnetism in moiré flat-band systems has been extensively studied in the first valence miniband of twisted MoTe$_2$, while its controlled realization at higher moiré fillings remains largely unexplored, except for very recent works reporting correlated magnetism near half filling of the second moiré band. Here, we investigate rhombohedral-stacked twisted MoTe$_2$/hBN/WSe$_2$ heterostructures and uncover two distinct ferromagnetic (FM) regions: one centered near ${v}_{\rm h} \approx 3$ (half filling of the second moiré valence miniband) at zero displacement field, and a re-entrant FM phase that emerges for ${v}_{\rm h} > 3$ only under a finite out-of-plane electric field. These FM regions are separated by a narrow filling window with a strongly suppressed magnetic circular dichroism (MCD) response. Layer-sensitive exciton spectroscopy identifies that WSe$_2$ is hole-doped in the re-entrant FM region, consistent with partial charge transfer from MoTe$_2$ to WSe$_2$. We propose that electric-field-induced layer repopulation stabilizes the re-entrant ferromagnetic phase by pinning the effective MoTe$_2$ filling near ${v}_{\rm h} \approx 3$ while adding carriers to the remote WSe$_2$ layer. Our results demonstrate that remote-layer population control is an effective tuning knob for magnetic ordering in higher moiré minibands, extending the design space for correlated spin-valley phases in transition metal dichalcogenide heterostructures.
    参考文献 | 相关文章 | 计量指标
    Electronic correlations and topological states at the interface of twisted bilayer graphene and chromium oxychloride
    Minsheng Li(李旻晟), Zehao Jia(贾泽浩), Xiangyu Cao(曹翔宇), Qiang Ma(马强), Chang Jiang(蒋昶), Yuda Zhang(张钰达), Linfeng Ai(艾临风), Pengliang Leng(冷鹏亮), and Faxian Xiu(修发贤)
    2026 (2):  27202-027202.  doi: 10.1088/1674-1056/ae2116
    摘要 ( 57 )   HTML ( 0 )   PDF(5348KB) ( 9 )   PDF(mobile)(3529KB) ( 7 )  
    When two layers of graphene are stacked with a twist angle of approximately 1.1°, strong interlayer coupling gives rise to a pair of flat bands in twisted bilayer graphene (TBG), resulting in pronounced electron-electron interactions. At half filling of the flat bands, TBG exhibits correlated insulating states. Here, we investigate the electrical transport properties of heterostructures composed of TBG and the antiferromagnetic insulator chromium oxychloride (CrOCl), and propose a strategy to modulate the correlated insulating states in TBG. During the transition from a conventional phase to a strong interfacial coupling phase, kink-like features are observed in the charge neutrality point (CNP), correlated insulating state, and band insulating state. Under a perpendicular magnetic field, the system exhibits broadened quantum Hall plateaus in the strong interfacial coupling regime. Electrons localized in the CrOCl layer screen the bottom gate, rendering the carrier density in TBG less sensitive to variations in the bottom gate voltage. These phenomena are well captured by a charge-transfer model between TBG and CrOCl. Our results provide insights into the control of electronic correlations and topological states in graphene moiré systems via interfacial charge coupling.
    参考文献 | 相关文章 | 计量指标
    High-Z benchmarking: Probing the sub-eV frontier and an extensive Li-like uranium atomic dataset
    Shuang Li(李双), Yan Wang(王燕), Xue-Lian Chong(崇雪莲), Yan-Ran Luo(罗嫣然), and Fan Zhang(张凡)
    2026 (2):  23103-023103.  doi: 10.1088/1674-1056/ae311a
    摘要 ( 55 )   HTML ( 2 )   PDF(655KB) ( 21 )  
    Recent theoretical investigations into the excitation energies of the high-$Z$ lithium isoelectronic sequence (Li-like) ions have revealed significant discrepancies [Eur. Phys. J. Plus 137 1253 (2022)], with deviations between the methods employed reaching up to $\sim$ 40 eV for U$^{89+}$. In this work, we address this issue through a comprehensive study of Li-like uranium (U$^{89+}$), calculating the lowest 35 levels of the $\rm 1s^{2}$$nl$ ($n \leq 6$) configurations. We employ two independent relativistic methods: the multiconfiguration Dirac-Hartree-Fock (MCDHF) method implemented in the GRASP2K code, and the relativistic configuration interaction (RCI) method within the Flexible Atomic Code (FAC). Our calculations resolve the discrepancies, achieving excellent mutual agreement and reducing deviations from experimental benchmarks to within $\sim2$ eV. Furthermore, we identify the bottlenecks to achieving sub-eV accuracy for each method in the strong-field, high-$Z$ regime. To the best of our knowledge, this is the most extensive dataset for this ion to date, including excitation energies, lifetimes, and radiative properties for allowed (E1) and forbidden (M1, E2, M2) transitions. Estimated uncertainties for most strong allowed and forbidden transitions remain below 1% and 2%, respectively, rendering this dataset valuable for applications in plasma spectroscopy. The dataset that supported the findings of this study is available in Science Data Bank at https://doi.org/10.57760/sciencedb.32492.
    参考文献 | 相关文章 | 计量指标
    Experimental setup of NTSC SrII optical lattice clock
    Feng Guo(郭峰), Jia-An Li(李家安), Yan-Yan Liu(刘艳艳), Xiao-Tong Lu(卢晓同), and Hong Chang(常宏)
    2026 (2):  23702-023702.  doi: 10.1088/1674-1056/adecfd
    摘要 ( 81 )   HTML ( 0 )   PDF(1965KB) ( 78 )  
    We report the SrII optical lattice clock at the National Time Service Center (NTSC). In this system, a blackbody radiation shield with movable lattice mitigates blackbody radiation shifts through active temperature control. A shallow optical lattice with minimal tunneling minimizes AC Stark shifts. Phase-locked counter-propagating lattice beams and conductive vacuum viewports further reduce systematic uncertainties and a novel initial-state preparation method simplifies the system. Clock transition spectra achieve a linewidth of 2.5 Hz with a 400 ms clock pulse, and self-comparison stability reaches 5.1$\times10^{-16}$ at 1 s. These advancements give this clock the potential to be a critical platform for realizing outstanding systematic uncertainties in the future.
    参考文献 | 相关文章 | 计量指标
    Full stabilization of eight-channel Yb-fiber coherent beam combining system delivering 1.18-kW, 1.18-mJ, 270-fs pulses
    Zhuo Shi(史卓), Zhi-Hang Du(杜志航), Cheng-Bin Liang(梁成斌), Hong-Xiang Chang(常洪祥), Zi-Kai Dong(董自凯), Hong-Yu Guo(郭鸿宇), Can Li(李灿), Pu Zhou(周朴), Zhi-Yi Wei(魏志义), and Guo-Qing Chang(常国庆)
    2026 (2):  24210-024210.  doi: 10.1088/1674-1056/ae1952
    摘要 ( 58 )   HTML ( 0 )   PDF(701KB) ( 15 )   PDF(mobile)(448KB) ( 4 )  
    We develop an ultrafast Yb-fiber laser system based on eight-channel coherent beam combining utilizing commercially available rod-type Yb-fibers. To ensure good combining efficiency and long-term operation of the system at the attosecond laser facility under construction, we fully stabilize the phase, group-delay, and beam-pointing of the eight fiber channels. Especially, we propose a novel multi-step hill climbing method to control both group-delay and beam-pointing. At a repetition rate of 1 MHz, this laser system delivers 270-fs pulses with 1.18-kW average power (1.18-mJ pulse energy). The average-power instability of the laser system running for 12 hours is 0.32%.
    参考文献 | 相关文章 | 计量指标
    GranuSAS: Software of rapid particle size distribution analysis from small angle scattering data
    Qiaoyu Guo(郭桥雨), Fei Xie(谢飞), Xuefei Feng(冯雪飞), Zhe Sun(孙喆), Changda Wang(王昌达), and Xuechen Jiao(焦学琛)
    2026 (2):  27802-027802.  doi: 10.1088/1674-1056/ae37f4
    摘要 ( 57 )   HTML ( 0 )   PDF(1404KB) ( 17 )  
    Small angle x-ray scattering (SAXS) is an advanced technique for characterizing the particle size distribution (PSD) of nanoparticles. However, the ill-posed nature of inverse problems in SAXS data analysis often reduces the accuracy of conventional methods. This article proposes a user-friendly software for PSD analysis, GranuSAS, which employs an algorithm that integrates truncated singular value decomposition (TSVD) with the Chahine method. This approach employs TSVD for data preprocessing, generating a set of initial solutions with noise suppression. A high-quality initial solution is subsequently selected via the $L$-curve method. This selected candidate solution is then iteratively refined by the Chahine algorithm, enforcing constraints such as non-negativity and improving physical interpretability. Most importantly, GranuSAS employs a parallel architecture that simultaneously yields inversion results from multiple shape models and, by evaluating the accuracy of each model's reconstructed scattering curve, offers a suggestion for model selection in material systems. To systematically validate the accuracy and efficiency of the software, verification was performed using both simulated and experimental datasets. The results demonstrate that the proposed software delivers both satisfactory accuracy and reliable computational efficiency. It provides an easy-to-use and reliable tool for researchers in materials science, helping them fully exploit the potential of SAXS in nanoparticle characterization.
    参考文献 | 相关文章 | 计量指标
    Algorithms for variational Monte Carlo calculations of fermion projected entangled pair states in the swap gates formulation and the detailed balance of tensor network sequential sampling
    Yantao Wu(武琰涛) and Zhehao Dai(戴哲昊)
    2026 (2):  20502-020502.  doi: 10.1088/1674-1056/ae2673
    摘要 ( 58 )   HTML ( 0 )   PDF(627KB) ( 18 )  
    In recent years, variational Monte Carlo (VMC) calculations of projected entangled pair states (PEPS) have emerged as a competitive method for computing the ground states of many-body quantum systems. This approach is particularly important for fermionic systems, where sign problems are prevalent. We derive and explain the algorithms for VMC calculations of fermionic PEPS within the swap-gates formulation. As a separate key result, we prove the detailed balance for sequential sampling of tensor networks.
    参考文献 | 相关文章 | 计量指标
    Effects of coil structure and electromagnetic shielding on plasma distribution and uniformity in large-area radio-frequency inductively coupled plasmas
    Cheng Xin(辛程), Xiang-Yun Lyu(吕翔云), Si-Yu Xing(邢思雨), Yu-Ru Zhang(张钰如), Tao Liu(刘涛), Wei-Ping Le(乐卫平), Fei Gao(高飞), and You-Nian Wang(王友年)
    2026 (2):  25201-025201.  doi: 10.1088/1674-1056/ae2113
    摘要 ( 165 )   HTML ( 9 )   PDF(2252KB) ( 96 )  
    Improving plasma uniformity is a critical issue in the development of large-area radio-frequency (RF) inductively coupled plasma (ICP) sources. In this work, the effects of coil structure and electromagnetic shielding on the spatial distribution and uniformity of the plasma are systematically investigated using a three-dimensional fluid model. The model integrates plasma and electromagnetic field modules to simulate the discharge characteristics of a large-area RF ICP source with dimensions of 100 $\rm cm \times 50$ cm. The results reveal that the electron density distribution varies significantly with the coil structure. For the rotating and translating coil structures, the electron density is high at off-axis positions and low at the center. In contrast, the mirror coil structure exhibits a significantly higher electron density at the chamber center, resulting in a high-center and low-edge density distribution. Among the three configurations, the rotating coil structure provides the best plasma uniformity. The incorporation of electromagnetic shielding further improves plasma uniformity, particularly for the mirror coil structure. For the rotating and translating coil structures, the electron density exhibits a saddle-shaped distribution regardless of electromagnetic shielding. However, introducing electromagnetic shielding into the mirror coil structure reduces the electron density at the chamber center and decreases the non-uniformity degree by 18.4%. Overall, the mirror coil structure with electromagnetic shielding achieves the highest uniformity, with an exceptional plasma uniformity of 94%. This work offers valuable insights for the design of large-area ICP sources in advanced plasma processing systems.
    参考文献 | 相关文章 | 计量指标
    Pressure-induced superconductivity in kagome metal CsCr3Sb5: Role of spin-orbit coupling and inter-orbital spin fluctuations
    Wei Wang(王巍), Shun-Li Yu(于顺利), and Jian-Xin Li(李建新)
    2026 (2):  27401-027401.  doi: 10.1088/1674-1056/ae23ae
    摘要 ( 186 )   HTML ( 7 )   PDF(2545KB) ( 139 )  
    Motivated by the recent discovery of superconductivity in the kagome metal CsCr$_3$Sb$_5$ under pressure, we theoretically investigate the superconducting pairing symmetry and the impact of spin-orbit coupling (SOC) in this system. By employing an effective four-orbital tight-binding model and solving the linearized gap equation within the random phase approximation, we find that the large inter-orbital spin fluctuations enhanced by Hund's coupling promote a superconducting gap function with $E_{2g}$ symmetry. The inclusion of SOC further stabilizes this gap symmetry. Our analysis also reveals that the dx2-y2 orbital plays the dominant role in forming the superconducting pairs.
    参考文献 | 相关文章 | 计量指标
    Electronic structure and superconducting gap of HgBa2Ca2Cu3O8+δ revealed by laser-based angle-resolved photoemission spectroscopy
    Taimin Miao(苗泰民), Wenshan Hong(洪文山), Qinghong Wang(汪清泓), Shanshan Zhang(张珊珊), Bo Liang(梁波), Wenpei Zhu(朱文培), Neng Cai(蔡能), Mingkai Xu(徐明楷), Shenjin Zhang(张申金), Fengfeng Zhang(张丰丰), Feng Yang(杨峰), Zhimin Wang(王志敏), Qinjun Peng(彭钦军), Zuyan Xu(许祖彦), Hanqing Mao(毛寒青), Zhihai Zhu(朱志海), Xintong Li(李昕彤), Guodong Liu(刘国东), Lin Zhao(赵林), Yuan Li(李源), and X. J. Zhou(周兴江)
    2026 (2):  27402-027402.  doi: 10.1088/1674-1056/ae23b1
    摘要 ( 149 )   HTML ( 5 )   PDF(1223KB) ( 99 )  
    The spatially-resolved laser-based high resolution angle resolved photoemission spectroscopy (ARPES) measurements have been performed on the optimally-doped HgBa$_2$Ca$_2$Cu$_3$O$_{8+\delta}$ (Hg1223) superconductor with a $T_{\rm c}$ of 133 K. Two distinct regions are identified on the cleaved surface: the single Fermi surface region where only one Fermi surface is observed, and the double Fermi surface region where two Fermi surface sheets are resolved coming from both the inner (IP) and outer (OP) CuO$_2$ planes. The electronic structure and superconducting gap are measured on both of these two regions. In both cases, the observed electronic states are mainly concentrated near the nodal region. The momentum dependence of the superconducting gap deviates from the standard d-wave form. These results indicate that the surface electronic structure of Hg1223 behaves more like that of underdoped cuprates.
    参考文献 | 相关文章 | 计量指标
    Exotic superconductivity in new topological kagome metal CsTi3Bi5
    Jiali Liu(刘家利), Zhen Zhao(赵振), Hongqin Xiao(肖洪钦), Yuhang Zhang(张宇航), Zouyouwei Lu(鲁邹有为), Jihu Lu(卢佶虎), Feng Wu(吴凤), Chengjie Xu(徐诚杰), Hua Zhang(张华), Hui Chen(陈辉), Haitao Yang(杨海涛), Ziyi Liu(刘子儀), Xiaoli Dong(董晓莉), and Hongjun Gao(高鸿钧)
    2026 (2):  27403-027403.  doi: 10.1088/1674-1056/ae2c6d
    摘要 ( 202 )   HTML ( 11 )   PDF(1552KB) ( 143 )  
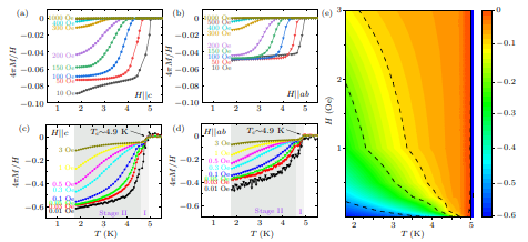
    We present a systematic investigation of the superconductivity in high-quality CsTi$_{3}$Bi$_{5}$ single crystals by combining bulk property characterization and local-probe spectroscopy. Two successive superconducting transitions are observed in this newly discovered kagome material. In the first stage, the diamagnetic response strengthens significantly from $T_{\rm c} \sim 4.9 $ K to 4.6 K, followed by a broad transition below 4.6 K in the second stage. Moreover, different magnetic field dependences are observed for the two stages, where the first stage is field-insensitive while the second stage exhibits strong field dependence. The ultra-low magnetic field measurements indicate that the lower critical field $H_{\rm c1}(T)$ exhibits small anisotropy. Based on a comparative study of the superconducting state in CsBi$_{2}$ and microscopic verification via scanning tunneling microscopy (STM), our results suggest the emergence of exotic and intrinsic superconductivity in this new titanium-based kagome superconductor, establishing it as a promising platform for further exploring the complexity of electronic states in the kagome lattice.
    参考文献 | 相关文章 | 计量指标
    Hall anomalies in the centrosymmetric triangular-lattice antiferromagnet GdGa2
    Sidi Wang(王思迪), Jiyuan Li(李纪源), Yuhao Wang(王宇豪), Keqi Xia(夏克奇), Jing Meng(孟婧), Bocheng Yu(余博丞), Yiqian Hu(胡艺骞), Zheng Li(李峥), Hui Zhang(张慧), Jingzhong Luo(罗晶中), Dongmei Jiang(蒋冬梅), Qingfeng Zhan(詹清峰), Tian Shang(商恬), and Yang Xu(徐杨)
    2026 (2):  27502-027502.  doi: 10.1088/1674-1056/ae2672
    摘要 ( 388 )   HTML ( 34 )   PDF(2493KB) ( 302 )   PDF(mobile)(2493KB) ( 106 )  
    Skyrmions emerging in centrosymmetric materials have garnered significant interest. GdGa$_{2}$, a recently discovered centrosymmetric antiferromagnet with a triangular lattice, has been proposed to host possible Néel-type skyrmions exhibiting an extremely short magnetic periodicity in the so-called A-phases. Here, we report the magnetic and magnetotransport properties of GdGa$_{2}$ single crystals. Hall anomalies beyond magnetization scaling emerge at intermediate magnetic fields, coinciding with the skyrmion-hosting A-phases. The small amplitude of the Hall anomalies may be attributed to the short period of the spin textures. In contrast, the transport behavior of TbGa$_{2}$ single crystals is well described by a conventional two-band model. This discrepancy likely arises from distinct Ruderman-Kittel-Kasuya-Yosida interaction strengths and/or magnetic anisotropy between the two crystals. Our results establish GdGa$_{2}$ as a new material platform for the exploration of skyrmion physics in centrosymmetric systems.
    参考文献 | 相关文章 | 计量指标
    Degenerate solitons and asymptotic analysis for a three-coupled fourth-order nonlinear Schrödinger system in an alpha helical protein
    Dan-Yu Yang(杨丹玉)
    2026 (2):  20201-020201.  doi: 10.1088/1674-1056/adf4a5
    摘要 ( 68 )   HTML ( 1 )   PDF(1409KB) ( 34 )  
    We investigate the alpha helical protein structure characterized by fourth-order interspine coupling, focusing on a three-coupled fourth-order nonlinear Schrödinger system. We introduce a generalized Darboux transformation, departing from the classical Darboux transformation. Based on this, we construct the two- and three-degenerate soliton solutions and four-degenerate asymptotic soliton solutions. Based on the asymptotic analysis, we find that the amplitudes of interacting solitons are retained upon the interactions. Elastic interactions between two degenerate solitons exhibiting four curve-type asymptotic solitons are depicted. When the lattice parameter $\beta$ changes, the velocities of the two degenerate solitons also change. Elastic interaction among three degenerate solitons comprising four curve-type asymptotic solitons and two line-type solitons is presented. Interaction among one soliton and two degenerate solitons with different velocities is shown. Elastic interaction among four degenerate solitons comprising eight curve-type asymptotic solitons is also presented. Interaction among two two-degenerate solitons with two spectral parameters is shown. The relative distance between two asymptotic solitons exhibits logarithmic growth with |$t$|, where $t$ represents the retarded time. Acceleration of soliton separation decays exponentially with relative distance, and eventually approaches zero. Phase shifts depend on $t$.
    参考文献 | 相关文章 | 计量指标
    Intralayer structure reconstruction of general weighted output-coupling multilayer complex networks
    Xinwei Wang(王欣伟), Yayong Wu(吴亚勇), Ying Zheng(郑颖), and Guo-Ping Jiang(蒋国平)
    2026 (2):  20202-020202.  doi: 10.1088/1674-1056/adf180
    摘要 ( 46 )   HTML ( 0 )   PDF(1354KB) ( 15 )  
    Multilayer complex dynamical networks, characterized by the intricate topological connections and diverse hierarchical structures, present significant challenges in determining complete structural configurations due to the unique functional attributes and interaction patterns inherent to different layers. This paper addresses the critical question of whether structural information from a known layer can be used to reconstruct the unknown intralayer structure of a target layer within general weighted output-coupling multilayer networks. Building upon the generalized synchronization principle, we propose an innovative reconstruction method that incorporates two essential components in the design of structure observers, the cross-layer coupling modulator and the structural divergence term. A key advantage of the proposed reconstruction method lies in its flexibility to freely designate both the unknown target layer and the known reference layer from the general weighted output-coupling multilayer network. The reduced dependency on full-state observability enables more deployment in engineering applications with partial measurements. Numerical simulations are conducted to validate the effectiveness of the proposed structure reconstruction method.
    参考文献 | 相关文章 | 计量指标
    Double Wilczek-Zee connection and mixed-state quantum geometric tensor
    Xiaoguang Wang(王晓光), Xiao-Ming Lu(陆晓铭), Jing Liu(刘京), Wenkui Ding(丁文魁), and Libin Fu(傅立斌)
    2026 (2):  20203-020203.  doi: 10.1088/1674-1056/adf4b0
    摘要 ( 77 )   HTML ( 0 )   PDF(510KB) ( 120 )  
    The Wilczek-Zee connection (WZC) is a key concept in the study of topology of quantum systems. Here, we introduce the double Wilczek-Zee connection (DWZC) which naturally appears in the pure-state quantum geometric tensor (QGT), another important concept in the field of quantum geometry. The DWZC is Hermitian with respect to the two integer indices, just like the original Hermitian WZC. Based on the symmetric logarithmic derivative operator, we propose a mixed-state quantum geometric tensor. Using the symmetric properties of the DWZC, we find that the real part of the QGT is connected to the real part of the DWZC and the square of eigenvalue differences of the density matrix, whereas the imaginary part can be given in terms of the imaginary part of the DWZC and the cube of the eigenvalue differences. For density matrices with full rank or no full rank, the QGT can be given in terms of real and imaginary parts of the DWZC.
    参考文献 | 相关文章 | 计量指标
    Rigorous verification of quantum contextuality from anomalous weak value
    Wei-Qian Zhao(赵炜骞), Si-Nan Pang(庞斯楠), Zi-Fu Su(苏子富), Tian-Ming Zhao(赵天明), Jin-Dong Wang(王金东), and Ya-Fei Yu(於亚飞)
    2026 (2):  20301-020301.  doi: 10.1088/1674-1056/adf4b1
    摘要 ( 50 )   HTML ( 0 )   PDF(2407KB) ( 18 )  
    Weak measurement offers a powerful framework for probing nonclassical features of quantum mechanics, with anomalous weak values serving as operational signatures of contextuality. While the anomalous weak value verification of quantum contextuality has been predominantly investigated in the single-photon regime and analyzed under approximation condition of infinitesimally small perturbation strength. This study releases the approximation condition and takes into account the impact of perturbation strength on the rigor of the verification. And the investigation on the verification of contextuality is extended to the multi-photon scenarios for observing the influence of the correlation between photons on the verification. Without the limitation of infinitesimally small probability of disturbance, anomalous weak values are identified as necessary for contextuality to emerge, thereby refining the criterion proposed by Pusey [Phys. Rev. Lett. 113 200401 (2014)]. In the multi-photon scenarios, the emergence of contextuality also depends strongly on both the photon number and the photon-number distribution state. In particular, contextuality is found to be maximized when the single-photon component dominates and the second-order correlation is lower. These results highlight the critical role of photon statistics in experimental tests of contextuality via anomalous weak values.
    参考文献 | 相关文章 | 计量指标
    Geometric control of concurrence and quantum gate operations in triangular triple quantum dots
    Junqing Li(李俊青), Shuo Dong(董硕), and Jianhua Wei(魏建华)
    2026 (2):  20302-020302.  doi: 10.1088/1674-1056/adec5d
    摘要 ( 72 )   HTML ( 1 )   PDF(816KB) ( 16 )  
    As an important index to measure the degree of entanglement in quantum systems, concurrence plays an important role in practical research. In this paper, we study the concurrence between two qubits in triangular triple quantum dot structure. Through calculation and simulation, it is found that concurrence is mainly affected by the interdot coupling strength $t$, Coulomb interaction $U$, temperature $T$, and electrode coupling $\varGamma$. Through comparative studies with parallel triple quantum dot structures, we demonstrate that the triangular geometry exhibits significantly enhanced concurrence under identical conditions. In addition, under the condition that concurrence exceeds 0.9, the functional relationship between $t$ and $U$ is obtained through simulation, which provides theoretical support for quantum dot regulation under high entanglement. Finally, we demonstrate the feasibility of implementing a three-qubit quantum gate, using the Toffoli gate as a representative example, under the condition that the triangular triple quantum dot system maintains high entanglement.
    参考文献 | 相关文章 | 计量指标
    Machine learning of chaotic characteristics in classical nonlinear dynamics using variational quantum circuit
    Sheng-Chen Bai(白生辰) and Shi-Ju Ran(冉仕举)
    2026 (2):  20303-020303.  doi: 10.1088/1674-1056/adeb5b
    摘要 ( 73 )   HTML ( 0 )   PDF(1255KB) ( 16 )   PDF(mobile)(1005KB) ( 16 )  
    Replicating the chaotic characteristics inherent in nonlinear dynamical systems via machine learning (ML) is a key challenge in this rapidly advancing interdisciplinary field. In this work, we explore the potential of variational quantum circuits (VQC) for learning the stochastic properties of classical nonlinear dynamical systems. Specifically, we focus on the one- and two-dimensional logistic maps, which, while simple, remain under-explored in the context of learning dynamical characteristics. Our findings reveal that, even for such simple dynamical systems, accurately replicating long-term characteristics is hindered by a pronounced sensitivity to overfitting. While increasing the parameter complexity of the ML model typically enhances short-term prediction accuracy, it also leads to a degradation in the model's ability to replicate long-term characteristics, primarily due to the detrimental effects of overfitting on generalization power. By comparing the VQC with two widely recognized classical ML techniques, which are long short-term memory (LSTM) networks for time-series processing and reservoir computing, we demonstrate that VQC outperforms these methods in terms of replicating long-term characteristics. Our results suggest that for the ML of dynamics, it is demanded to develop more compact and efficient models (such as VQC) rather than more complicated and large-scale ones.
    参考文献 | 相关文章 | 计量指标
    Quantum steering for two-mode states with continuous-variable in laser channel
    Kaimin Zheng(郑凯敏), Jifeng Sun(孙继峰), Liyun Hu(胡利云), and Lijian Zhang(张利剑)
    2026 (2):  20304-020304.  doi: 10.1088/1674-1056/ae1820
    摘要 ( 50 )   HTML ( 0 )   PDF(876KB) ( 22 )   PDF(mobile)(654KB) ( 5 )  
    Einstein-Podolsky-Rosen (EPR) steering is an important resource for one-sided device-independent quantum information processing. This steering property can be destroyed by the interaction between a quantum system and its environment in practical applications. In this paper, we employ the characteristic function representation of probability distributions to investigate the quantum steering of two-mode continuous-variable states in a laser channel, where both the gain factor and the loss effect are taken into account. Firstly, we analyse the steering time of the two-mode squeezed vacuum state under one-mode and two-mode laser channels, respectively. We find that the gain process introduces additional noise into the two-mode squeezed vacuum state, thereby reducing the steerable time. Secondly, by quantifying EPR steering, we show that two-side loss exhibits smaller steerability than one-side loss, although they share the same two-way steerable time. In addition, we find that the more-gained party can steer the other party's state, whereas the other party cannot steer the gained party beyond a certain threshold value. In this sense, the gain effect in one party appears to be equivalent to the loss effect in the other party. Our results pave the way for the distillation of EPR steering and quantum information processing in practical quantum channels.
    参考文献 | 相关文章 | 计量指标
    An epidemiological stochastic predator-prey model with prey refuge and harvesting
    Israr Ali, Hui Zhang(张慧), Syed Murad Ali Shah, Abdulwasea Alkhazzan, and Yassine Sabbar
    2026 (2):  20503-020503.  doi: 10.1088/1674-1056/adf17f
    摘要 ( 50 )   HTML ( 0 )   PDF(8563KB) ( 12 )  
    Predator-prey interactions are fundamental to understanding ecosystem stability and biodiversity. In this study, we propose and analyze a stochastic predator-prey model that incorporates two critical ecological factors: prey refuge and harvesting. The model also integrates disease transmission within the predator population, adding an important layer of realism. Using rigorous mathematical techniques, we demonstrate the existence and uniqueness of a global positive solution, thereby confirming the model's biological feasibility. We further derive sufficient conditions for two key ecological scenarios: stochastic permanence, which ensures the sustained co-existence of prey and predators over time, and extinction, where one or both populations decline to zero. The interplay between prey refuge and harvesting is thoroughly examined to understand their combined impact on population dynamics. All theoretical results are validated by detailed numerical simulations, highlighting the applicability of the model to real-world ecological systems. From the simulation results, we observed that with an adequate level of prey refuge and predator harvesting, the susceptible predator and prey co-exist with extensive oscillations, while the infected predator population was moving towards extinction. In addition, we have investigated the effect of disease transmission on system dynamics. Our results show that, as the transmission rate of disease increases, the susceptible predator approaches extinction, whereas, on the other hand, when it declines, the susceptible predator shows robust oscillations while the infected approaches extinction. In both cases, the prey population demonstrates robust stability due to the prey refuge. Our findings show that the management of harvesting and the prey refuge can be effective ecological tactics for disease control and species protection under stochastic environmental effects.
    参考文献 | 相关文章 | 计量指标
    Rydberg six-wave mixing spectrum under ionized environment variation
    Yinglong Diao(刁赢龙), Haoliang Hu(胡浩亮), Xiaofei Li(李小飞), Zhibo Li(李治博), Feitong Zeng(曾非同), Yanbin Chen(陈焱斌), and Shuhang You(游书航)
    2026 (2):  23201-023201.  doi: 10.1088/1674-1056/adf318
    摘要 ( 54 )   HTML ( 0 )   PDF(751KB) ( 98 )  
    This paper presents the high-order nonlinear spectrum of six-wave mixing (SWM) influenced by ionizing Rydberg atom environment in rubidium thermal vapor. The experimentally measured transmitted SWM signals reveal significant spectrum shifts and novel regularities, providing nonlinear spectrum insights into the ionization characteristics of Rydberg atoms. The detailed spectrum variations with increasing ion density are presented, paving the way for multi-wave mixing distribution of plasma and demonstrating SWM's potential as a tool for measuring the electric field induced by the ionization process.
    参考文献 | 相关文章 | 计量指标
    Inverse design of 3D integrated high-efficiency grating couplers using deep learning
    Yu Wang(王玉), Yue Wang(王越), Guohui Yang(杨国辉), Kuang Zhang(张狂), Xing Yang(杨星), Chunhui Wang(王春晖), and Yu Zhang(张雨)
    2026 (2):  24101-024101.  doi: 10.1088/1674-1056/adf69c
    摘要 ( 92 )   HTML ( 0 )   PDF(1068KB) ( 25 )  
    In recent years, the use of deep learning to replace traditional numerical methods for electromagnetic propagation has shown tremendous potential in the rapid design of photonic devices. However, most research on deep learning has focused on single-layer grating couplers, and the accuracy of multi-layer grating couplers has not yet reached a high level. This paper proposes and demonstrates a novel deep learning network-assisted strategy for inverse design. The network model is based on a multi-layer perceptron (MLP) and incorporates convolutional neural networks (CNNs) and transformers. Through the stacking of multiple layers, it achieves a high-precision design for both multi-layer and single-layer raster couplers with various functionalities. The deep learning network exhibits exceptionally high predictive accuracy, with an average absolute error across the full wavelength range of 1300-1700 nm being only 0.17%, and an even lower predictive absolute error below 0.09% at the specific wavelength of 1550 nm. By combining the deep learning network with the genetic algorithm, we can efficiently design grating couplers that perform different functions. Simulation results indicate that the designed single-wavelength grating couplers achieve coupling efficiencies exceeding 80% at central wavelengths of 1550 nm and 1310 nm. The performance of designed dual-wavelength and broadband grating couplers also reaches high industry standards. Furthermore, the network structure and inverse design method are highly scalable and can be applied not only to multi-layer grating couplers but also directly to the prediction and design of single-layer grating couplers, providing a new perspective for the innovative development of photonic devices.
    参考文献 | 相关文章 | 计量指标
    Second-order correlated interference with multi-wavelength thermal-light beams
    De-Sheng Wang(王德胜), Yi-Ning Zhao(赵一宁), Lingxin Kong(孔令鑫), Su-Heng Zhang(张素恒), Chong Wang(王翀), Cheng Ren(任承), Yuehua Su(苏跃华), and De-Zhong Cao(曹德忠)
    2026 (2):  24201-024201.  doi: 10.1088/1674-1056/ae1c31
    摘要 ( 64 )   HTML ( 0 )   PDF(1467KB) ( 166 )  
    A method for correlating thermal light over a wide spectral range is proposed. A multi-wavelength pseudothermal source, prepared by projecting laser beams of multiple wavelengths ($650$ nm, $635$ nm, $532$ nm, and $473$ nm) onto a moving thin ground glass plate, is employed in a double-slit interference experiment. The ground glass plate induces random phase differences between light beams of different wavelengths passing through it. This initial random phase difference significantly influences the high-order intensity correlation functions of multi-wavelength thermal beams. Experimentally, second-order correlated interference patterns, including subwavelength interference, of pseudothermal beams with different wavelengths are observed in the intensity correlation measurements. This method facilitates applications of correlated thermal photons in quantum information processing and quantum imaging.
    参考文献 | 相关文章 | 计量指标
    Design of a compact wide-field-of-view infrared imager based on wavefront coding
    Chonghui Zhu(朱崇辉), Jiaqian Yu(于佳倩), and Jingang Cui(崔金刚)
    2026 (2):  24202-024202.  doi: 10.1088/1674-1056/adf03f
    摘要 ( 49 )   HTML ( 0 )   PDF(872KB) ( 20 )  
    Compact size, high brightness, and wide field of view (FOV) are key requirements for long-wave infrared imagers used in military surveillance or night navigation. However, to meet the imaging requirements of high resolution and wide FOV, infrared optical systems often adopt complex optical lens groups, which will increase the size and weight of the optical system. In this paper, a strategy based on wavefront coding (WFC) is proposed to design a compact wide-FOV infrared imager. A cubic phase mask is inserted into the pupil plane of the infrared imager to correct the aberration. The simulated results show that, the WFC infrared imager has good imaging quality in a wide FOV of $\pm16^\circ$. In addition, the WFC infrared imager achieves compactness with its 40 mm$\times$40 mm$\times $40 mm size. A fast focal ratio of 1 combined with an entrance pupil diameter of 25 mm ensures brightness. This work is of significance for designing a compact wide-FOV infrared imager.
    参考文献 | 相关文章 | 计量指标
    High-sensitivity phase estimation with a two-mode squeezed coherent state based on a Mach-Zehnder interferometer
    Pengxiang Ruan(阮鹏祥), Jun Liu(刘俊), Chenlu Li(李晨露), Qingli Jing(荆庆丽), Mingming Zhang(张明明), and Dong-Xu Chen(陈东旭)
    2026 (2):  24203-024203.  doi: 10.1088/1674-1056/adf4ad
    摘要 ( 48 )   HTML ( 0 )   PDF(1889KB) ( 22 )  
    A scheme is proposed based on a Mach-Zehnder interferometer with high phase sensitivity, utilizing a two-mode squeezed coherent state, generated by four-wave mixing, as input. The phase sensitivity of this scheme easily surpasses the Heisenberg limit when intensity difference detection is applied. Under phase-matching conditions, the quantum Cramér-Rao bound significantly exceeds the Heisenberg limit. Additionally, the scheme exhibits robustness against photon loss. When compared with the modified SU(1,1) interferometer with two coherent state inputs, this approach demonstrates superior measurement sensitivity, evaluated through various detection methods and the quantum Cramér-Rao bound. This work holds potential applications in quantum metrology.
    参考文献 | 相关文章 | 计量指标
    Decoherence and evolution of a general quadratic state for amplitude decay
    Zhi-Long Wan(万志龙), Hong-Chun Yuan(袁洪春), Xiao-Lei Yin(尹晓蕾), and Chang-Ying Wang(王昌英)
    2026 (2):  24204-024204.  doi: 10.1088/1674-1056/adeb5f
    摘要 ( 45 )   HTML ( 2 )   PDF(969KB) ( 13 )  
    Making full use of the operator ordering method and the integration within ordered products, we obtain the analytical evolution law of a general quadratic state in the amplitude decay channel, and find that it is determined not only by the decay rate of the amplitude decay channel but also by the coefficients of the initial quadratic state. Further, the quantum statistical properties of the initial quadratic state for amplitude decay are investigated via its average photon number and photon-counting distribution, and its Wigner distribution function evolution is discussed in detail.
    参考文献 | 相关文章 | 计量指标
    Controllable phase-dependent optical switch in an atom-cavity system
    Xu-Yang Li(李旭阳), Yuan-Feng Lu(陆元峰), Ya-Jie Wu(吴亚杰), Ning Li(荔宁), and Miao-Di Guo(郭苗迪)
    2026 (2):  24205-024205.  doi: 10.1088/1674-1056/adfc40
    摘要 ( 58 )   HTML ( 0 )   PDF(721KB) ( 1374 )  
    Coherent perfect absorption (CPA) and coherent perfect transmission (CPT) are two extreme states arising from the manipulation of optical fields. Generally, CPA and CPT occur under different input-field phases. Therefore, we propose a scheme to realize an all-optical switch based on phase-dependent CPA-CPT conversion. In our proposal, the CPT state and the CPA state are treated as the on state and the off state, respectively. Consequently, the efficiency of this all-optical switch can reach the maximum value of 1. With the introduction of an incoherent pump field, the CPA state can be achieved under a weaker input probe field or can be converted into a CPT state. The results show that the optical switch can operate with weaker fields and can be further optimized by the application of an incoherent field.
    参考文献 | 相关文章 | 计量指标
    Unlocking plasmonic nanolaser performance via exciton-plasmon interaction dynamics
    Ru Wang(王茹), Daotong You(游道通), Zhuxin Li(李竹新), Chuansheng Xia(夏传晟), Xiaoxuan Wang(王潇璇), Feifei Qin(秦飞飞), and Chunxiang Xu(徐春祥)
    2026 (2):  24206-024206.  doi: 10.1088/1674-1056/ae27b5
    摘要 ( 49 )   HTML ( 0 )   PDF(1895KB) ( 14 )  
    Plasmonic nanolasers are transitioning from empirical optimization to a new paradigm driven by physical mechanisms. Owing to the lack of guidance from internal mechanisms, this transformation process remains highly challenging. Therefore, elucidating the governing nanoscale light-matter interactions has become essential for unlocking their full performance potential. In this paper, we establish a framework that connects the strength of exciton-plasmon interactions with plasmonic nanolaser performance. The evolution of the laser spectrum under increasing pumping fluence, reflected by variations in intensity, spectral peak position, and full width at half maximum, provides clear evidence of exciton-plasmon interactions. These interactions are further verified by changes in the emission lifetime with incident fluence, and it is found that the lifetime variation correlates with the change in spectral full width at half maximum. Furthermore, we calculate and analyze various loss mechanisms in plasmonic nanolasers, revealing how the strength of exciton-plasmon interactions actively modulates optical loss channels and fundamentally controls the lasing threshold. Understanding exciton-plasmon interaction dynamics is not merely a theoretical pursuit but a critical step toward realizing truly practical and scalable nanophotonic devices.
    参考文献 | 相关文章 | 计量指标
    Multi-frequency non-reciprocal optical directional amplifier realized with non-Hermitian resonator arrays
    Jin-Xiang Xue(薛金香), Chuan-Xun Du(杜传勋), Cheng-Chao Liu(刘成超), Liu Yang(杨柳), and Yong-Long Wang(王永龙)
    2026 (2):  24207-024207.  doi: 10.1088/1674-1056/adf69d
    摘要 ( 44 )   HTML ( 0 )   PDF(1353KB) ( 11 )  
    For a multi-frequency non-reciprocal optical device, we first realize multi-frequency optical non-reciprocal transmission using a non-Hermitian multi-mode resonator array. Practically, multi-frequency operation can add channels to the non-reciprocal optical device and the non-reciprocity can route optical signals and prevent the reverse flow of noise. Using the Scully-Lamb model and gain saturation effect, we accomplish dual-frequency non-reciprocal transmission by introducing nonlinearity into a linear array of four-mode resonators. The accomplishment is directly demonstrated by the non-reciprocal transmission phenomena present in the non-divergent peaks. For example, a directional cyclic amplifier is constructed with non-reciprocal units. Regarding potential applications, non-reciprocal optical systems can be employed in dual-frequency control, parallel information processing, photonic integrated circuits, optical devices and so on.
    参考文献 | 相关文章 | 计量指标
    Optical temporal interference model for investigation and manipulation of non-integer high-order harmonic generation
    Zhao-Yue Meng(孟昭越), Yun Pan(潘云), Jun-Ping Wang(王军平), and Xi Zhao(赵曦)
    2026 (2):  24208-024208.  doi: 10.1088/1674-1056/adfdc5
    摘要 ( 47 )   HTML ( 0 )   PDF(787KB) ( 23 )  
    High-precision optical frequency measurement serves as a cornerstone of modern science and technology, enabling advancements in fields ranging from fundamental physics to quantum information technologies. Obtaining precise photon frequencies, especially in the ultraviolet or even extreme ultraviolet regimes, is a key goal in both light-matter interaction experiments and engineering applications. High-order harmonic generation (HHG) is an ideal light source for producing such photons. In this work, we propose an optical temporal interference model (OTIM) that establishes an analogy with multi-slit Fraunhofer diffraction (MSFD) to manipulate fine-frequency photon generation by exploiting the temporal coherence of HHG processes. Our model provides a unified physical framework for three distinct non-integer HHG generation schemes: single-pulse, shaped-pulse, and laser pulse train approaches, which correspond to single-MSFD-like, double-MSFD-like, and multi-MSFD-like processes, respectively. Arbitrary non-integer HHG photons can be obtained using our scheme. Our approach provides a new perspective for accurately measuring and controlling photon frequencies in fields such as frequency comb technology, interferometry, and atomic clocks.
    参考文献 | 相关文章 | 计量指标
    Tea polyphenol polymer film enables broadband optical modulation for hybrid mode-locked ultrafast fiber lasers
    Wei Chen(陈伟), Kang Li(李康), Cheng Gao(高成), Qingping Hu(胡庆平), Zhengfan Li(黎征帆), Yi Xiong(熊祎), and Yunzhou Sun(孙运周)
    2026 (2):  24209-024209.  doi: 10.1088/1674-1056/ae156e
    摘要 ( 54 )   HTML ( 0 )   PDF(1089KB) ( 14 )   PDF(mobile)(5115KB) ( 8 )  
    Materials exhibiting broadband nonlinear optical responses are critically important for ultrafast photonics applications, particularly as saturable absorbers (SAs) that facilitate broadband optical pulse generation. In this study, tea polyphenol-polyvinyl alcohol (TP-PVA) composite films are synthesized via a polymer embedding method and employed as SAs to initiate ultrafast pulse operation in fiber lasers. The TP-PVA SA film exhibits excellent broadband saturable absorption performance at wavelengths of 1.0 μm, 1.5 μm, and 2.0 μm, with modulation depths of 54.21%, 41.41%, and 51.16%, respectively. Stable passively mode-locked pulses with pulse widths of 588 fs, 419 fs, and 743 fs are generated in Yb-, Er-, and Tm-doped fiber lasers, respectively. This work confirms the effective performance of TP-PVA as a broadband SA, and establishes a foundation for the integration of novel and sustainable materials within ultrafast photonic systems. The approach paves the way for developing compact broadband ultrafast laser systems operating in the near-infrared spectral region.
    参考文献 | 相关文章 | 计量指标
    Single broadband source depth estimation using Stokes parameters in shallow water
    Yizheng Wei(韦宜政), Chao Sun(孙超), Lei Xie(谢磊), and Mingyang Li(李明杨)
    2026 (2):  24301-024301.  doi: 10.1088/1674-1056/adee01
    摘要 ( 46 )   HTML ( 0 )   PDF(1066KB) ( 12 )   PDF(mobile)(874KB) ( 8 )  
    Presented in this study is a novel method for estimating the depth of single underwater source in shallow water, utilizing vector sensors. The approach leverages the depth distribution of the broadband Stokes parameters to estimate source depth accurately. Unlike traditional matched field processing (MFP) and matched mode processing (MMP), the proposed approach can estimate source depth directly from the data received by sensors without requiring complete environmental information. Firstly, the broadband Stokes parameters (BSP) are established using the normal mode theory. Then the nonstationary phase approximation is used to simplify the theoretical derivation, which is necessary when dealing with broadband integrals. Additionally, range terms of the BSP are eliminated by normalization. By analyzing the depth distribution of the normalized broadband Stokes parameters (NBSP), it is found that the NBSP exhibit extreme values at the source depth, which can be used for source depth estimation. So the proposed depth estimation method is based on searching the peaks of the NBSP. Simulations show that this method is effective in relatively simple shallow water environments. Finally, the effect of source range, frequency bandwidth, sound speed profile (SSP), water depth, and signal-to-noise ratio (SNR) are studied. The findings indicate that the proposed method can accurately estimate the source depth when the SNR is greater than $-5$ dB and does not need to consider model mismatch issues. Additionally, variations in environmental parameters have minimal impact on estimation accuracy. Compared to MFP, the proposed method requires a higher SNR, but demonstrates superior robustness against fluctuations in environmental parameters.
    参考文献 | 相关文章 | 计量指标
    Design and analysis of a flip-chip architecture for SAW-DQD strong coupling
    Yi-Bo Wang(王奕博), Xiang-Xiang Song(宋骧骧), Zhuo-Zhi Zhang(张拙之), and Guo-Ping Guo(郭国平)
    2026 (2):  24302-024302.  doi: 10.1088/1674-1056/ae0895
    摘要 ( 50 )   HTML ( 0 )   PDF(723KB) ( 56 )  
    Surface acoustic wave (SAW) resonators offer distinct advantages for coupling to semiconductor qubits, including low loss, high stability, and compatibility with magnetic fields. However, the integration of SAW resonators with double quantum dots (DQDs) that host charge and spin qubits remains largely unexplored. In this work, we propose a flip-chip architecture that enables three-dimensional integration of a semiconductor DQD with a SAW resonator. Taking experimental feasibility into account, we estimate the coupling strength between a DQD and a SAW resonator. The results suggest that the strong coupling regime can be reached in our design. This study provides theoretical insight and practical guidance for experimental exploration of phonon-electron coupling in hybrid SAW-DQD quantum systems.
    参考文献 | 相关文章 | 计量指标
    Boundary effects on modal shape in deep ocean via non-integer order parabolic cylinder functions
    Jian-Kang Zhan(詹建康), Sheng-Chun Piao(朴胜春), and Li-Jia Gong(龚李佳)
    2026 (2):  24303-024303.  doi: 10.1088/1674-1056/ae1b7c
    摘要 ( 59 )   HTML ( 0 )   PDF(908KB) ( 22 )   PDF(mobile)(671KB) ( 6 )  
    This study investigates the effects of ocean boundaries on modal shapes in very-low-frequency (VLF, 1-10 Hz) sound propagation through the deep ocean. Utilizing a normal mode solution formulated in terms of parabolic cylinder functions (PCF), we demonstrate that boundary interactions induce a phase change reduction below $-\pi$ at frequencies of several hertz. This reduction, in turn, forces a key transition in the solution, shifting the order of the PCF from integer to non-integer values. Analysis of the characteristic shape of the PCF versus its order reveals that these boundary-influenced modes exhibit an energy shift toward deeper regions and a weakened axial convergence of the underwater sound field.
    参考文献 | 相关文章 | 计量指标
    Cerebrospinal fluid as a therapeutic medium for magnetic nanoparticle transport in brain cancer hyperthermia
    Essam T Abdelwahab, Ahmed A Elsawy, Abdallah A Henedy, and Sara I Abdelsalam
    2026 (2):  24701-024701.  doi: 10.1088/1674-1056/ae07ac
    摘要 ( 43 )   HTML ( 0 )   PDF(1745KB) ( 20 )  
    Neuronanomedicine is a promising interdisciplinary field combining two critical fields, neuroscience and nanotechnology. This study focuses on the engineering of magnetized nanoparticles (MNPs) in diagnosing and treating neurological disorders and brain cancer. Additionally, this mechanism enhances the effectiveness of magnetic-guided drug delivery. The alternating magnetic field is applied to control the directions of the MNPs to target the tumor cells. This study approaches the radiotherapy techniques of magnetic hyperthermia therapy (MHT), wherein the thermal radiative heat transfer effect is applied to achieve homogenous heating to destroy cancer cells. MNPs are injected through the cerebrospinal fluid (CSF) transport in the glymphatic system. The elastic properties of the cerebral arteries cause peristaltic propulsion for the resulting nanofluid. Therefore, the effective Maxwell model for the nanofluid thermal conductivity is selected. The nanofluid governing equations are solved using the perturbation technique under small wavelength number and long wavelength approximation with small Reynolds number. Additionally, the effects of thermal slip and elastic properties boundary conditions are incorporated. The graphical results for the streamwise velocity, pressure, and temperature distributions are plotted using MATLAB package considering the different effects of the magnetic flux intensity, thermal radiation parameter, thermal slipping at boundaries, elastic wall properties, and nanoparticle concentration. The results demonstrate the strong impact of the magnetic field and radiation heating in terms of enhancing the nanofluid CSF flow behavior and destroying cancer.
    参考文献 | 相关文章 | 计量指标
    Effect of chemical short-range order on primary radiation damage in TiVTaNb high-entropy alloys
    Yong-Peng Zhao(赵永鹏), Yu-Ze Liu(刘禹泽), Yan-Kun Dou(豆艳坤), Zhong-Ao Zhang(张忠傲), Xin-Fu He(贺新福), and Wen Yang(杨文)
    2026 (2):  26101-026101.  doi: 10.1088/1674-1056/adf0e5
    摘要 ( 50 )   HTML ( 0 )   PDF(2332KB) ( 60 )  
    Molecular dynamics simulations were carried out to study the effect of chemical short-range order (CSRO) on the primary radiation damage in TiVTaNb high-entropy alloys (HEAs). We have performed displacement cascade simulations to explore the CSRO effect on the generation and evolution behaviors of irradiation defects. The results demonstrate that CSRO can suppress the formation of Frenkel pairs in TiVTaNb HEAs, with the suppression effect becoming more pronounced as the degree of CSRO increases. CSRO can change the types of interstitial defects generated during cascade collisions. Specifically, as the degree of CSRO increases, the proportion of Ti-related interstitials shows a marked enhancement, primarily evidenced by a significant rise in Ti-Ti dumbbells accompanied by a corresponding decrease in Ti-V dumbbells. CSRO exhibits negligible influence on defect clustering and the nucleation and evolution of dislocation loops. Regardless of CSRO conditions, TiVTaNb HEAs preserve exceptional radiation tolerance throughout the cascade damage process, suggesting that the intrinsic properties of this multi-principal element system dominate its radiation response. These findings provide fundamental insights into the CSRO effect on defect formation and evolution behaviors in HEAs, which may provide new design strategies for high-entropy alloys.
    参考文献 | 相关文章 | 计量指标
    Light-induced modulation of electrical, optical, and thermodynamic properties via nonlinear phononics in perovskite KTaO3
    Qi Yang(杨淇) and Hong Zhang(张红)
    2026 (2):  26301-026301.  doi: 10.1088/1674-1056/adf5a5
    摘要 ( 41 )   HTML ( 0 )   PDF(2864KB) ( 23 )   PDF(mobile)(2576KB) ( 1 )  
    Strong long-wavelength laser pulses enable direct manipulation of atomic lattices for engineering novel quantum states in complex materials. Nonlinear coupling between two infrared-active phonon modes (TO$_1$ and TO$_2$), induced by intense terahertz light fields, significantly enhances the amplitude of the TO$_1$ mode and facilitates ultrafast control of transient structural distortions. This light-induced distortion reduces the lattice thermal conductivity from 8.1 W$\cdot$m$^{-1}\cdot$K$^{-1}$ to 3.0 W$\cdot$m$^{-1}\cdot$K$^{-1}$. The reduction originates from the nonlinear coupling, which enhances anharmonic interactions in the lattice potential energy and substantially shortens the phonon lifetime ($\tau $). This work demonstrates a strategy applicable to other perovskite materials and provides a framework for investigating light-induced electrical, optical, and thermodynamic phase transitions.
    参考文献 | 相关文章 | 计量指标
    Influence of hydration on the thermal transport properties of yttria-doped barium zirconate
    Jianqun Gao(高健群), Zhaoyang Wang(王朝阳), Yuhang Jing(荆宇航), and Yufei Gao(高宇飞)
    2026 (2):  26601-026601.  doi: 10.1088/1674-1056/ae0433
    摘要 ( 40 )   HTML ( 0 )   PDF(5479KB) ( 17 )  
    Perovskites exhibit excellent protonic conductivity in the mid-temperature range, and among them, yttria-doped barium zirconate (BZY) is considered one of the most promising perovskite proton conductors. Molecular simulations provide an efficient approach to investigating the thermal transport behavior of nanocrystalline materials. The effect of doping concentration on the thermal transport properties of BZY structures was investigated using the equilibrium molecular dynamics (EMD) method combined with phonon spectral energy density (SED) analysis. The results show that the thermal transport properties gradually decrease with increasing doping concentration, and for structures with dopants only and without oxygen vacancies, the thermal conductivity exhibits a similar decreasing trend but remains higher than that of structures containing both dopants and oxygen vacancies. Comparison of phonon lifetime and group velocity reveals that oxygen vacancy defects enhance phonon scattering, thereby leading to a reduction in thermal transport properties, while doping reduces the thermal transport properties by weakening lattice harmonicity. The effect of different hydration levels on the thermal transport properties of BZY was also investigated, and the results indicate that the thermal conductivity fluctuates in structures with low hydration levels and continues to decrease as the proton defect concentration increases with hydration. Further analysis of phonon lifetime and group velocity demonstrates that proton defects reduce the thermal transport properties through both enhanced phonon diffusion and weakened harmonicity.
    参考文献 | 相关文章 | 计量指标
    Two-dimensional kagome semiconductor Sc6S5X6 (X = Cl, Br, I) with trilayer kagome lattice
    Jin-Ling Yan(闫金铃), Xing-Yu Wang(王星雨), Gen-Ping Wu(吴根平), Hao Wang(王浩), Ya-Jiao Ke(柯亚娇), Jiafu Wang(王嘉赋), Zhi-Hong Liu(刘志宏), and Jun-Hui Yuan(袁俊辉)
    2026 (2):  27102-027102.  doi: 10.1088/1674-1056/ae00b4
    摘要 ( 74 )   HTML ( 0 )   PDF(2866KB) ( 94 )  
    Two-dimensional (2D) multilayer kagome materials hold significant research value for regulating kagome-related physical properties and exploring quantum effects. However, their development is hindered by the scarcity of available material systems, making the identification of novel 2D multilayer kagome candidates particularly important. In this work, three types of 2D materials with trilayer kagome lattices, namely Sc$_{6}$S$_{5}X_{6}$ ($X = {\rm Cl}$, Br, I), are predicted based on first-principles calculations. These 2D materials feature two kagome lattices composed of Sc atoms and one kagome lattice composed of S atoms. Stability analysis indicates that these materials can exist as free-standing 2D materials. Electronic structure calculations reveal that Sc$_{6}$S$_{5}X_{6}$ are narrow-bandgap semiconductors (0.76-0.95 eV), with their band structures exhibiting flat bands contributed by Sc-based kagome lattices and Dirac band gaps resulting from symmetry breaking. The sulfur-based kagome lattice in the central layer contributes an independent flat band below the Fermi level. Additionally, Sc$_{6}$S$_{5}X_{6}$ exhibit high carrier mobility, with hole and electron mobilities reaching up to 10$^{3}$ cm$^{2}\cdot$V$^{-1}\cdot$s$^{-1}$, indicating potential applications in low-dimensional electronic devices. This work provides an excellent example for the development of novel multilayer 2D kagome materials.
    参考文献 | 补充材料 | 相关文章 | 计量指标
    Janus effect of inter-orbital hybridization on correlation strength of strongly correlated systems: A dynamical mean-field study
    Jian Sun(孙健), Yinchang Zhao(赵银昌), and Chao Lian(廉超)
    2026 (2):  27103-027103.  doi: 10.1088/1674-1056/adf040
    摘要 ( 49 )   HTML ( 0 )   PDF(1180KB) ( 8 )   PDF(mobile)(946KB) ( 3 )  
    In multi-orbital systems, the correlation strength is typically attributed to Coulomb interactions and Hund's couplings. However, this study demonstrates that on-site inter-orbital hybridization can also significant influence the correlation strength of the system. We investigate the impact of on-site inter-orbital hybridization on the correlation strength of a two-orbital Hubbard model on a square lattice using the dynamical mean-field theory combined with Lanczos exact diagonalization. Our findings reveal a distinct Janus effect: on-site inter-orbital hybridization enhances correlation strength in the non-half-filled regime while suppresses it at half-filling. This dual role of on-site inter-orbital hybridization provides a fundamental mechanism for tuning the strength of correlations in multi-orbital systems.
    参考文献 | 相关文章 | 计量指标
    Numerical study of a quantum spin in an s-wave superconductor using the natural orbitals renormalization group method
    Wen-Jing Zhang(张文静), Ru Zheng(郑汝), Rong-Qiang He(贺荣强), and Zhong-Yi Lu(卢仲毅)
    2026 (2):  27104-027104.  doi: 10.1088/1674-1056/adf4af
    摘要 ( 49 )   HTML ( 0 )   PDF(726KB) ( 17 )  
    In a superconductor embedded with a quantum magnetic impurity, the Kondo effect is involved, leading to the competition between the Kondo singlet phase and the superconductivity phase. By means of the natural orbitals renormalization group (NORG) method, we revisit the problem of a quantum magnetic impurity coupled with a conventional s-wave superconductor. Here we present a detailed study focusing on the impurity spin polarization and susceptibility, the Kondo screening cloud, as well as the number and structures of the active natural orbitals (ANOs). In the superconducting phase, the impurity spin is partially polarized, indicating that the impurity remains partially screened by the quantum fluctuations. Furthermore, the impurity spin susceptibility becomes divergent, resulting from the presence of residual local moment formed at the impurity site. Correspondingly, a non-integral (incomplete) Kondo cloud is formed, although the ground state is a spin doublet in this phase. In comparison, the Kondo cloud is complete in the Kondo singlet phase as expected. We also quantify the critical point, where the quantum phase transition from a Kondo singlet phase to a superconducting phase occurs, which is consistent with that in previous works. On the other hand, it is illustrated that only one ANO emerges in both quantum phases. The structures of the ANO, projected into both the real space and momentum space, are distinct in the Kondo singlet phase from that in the superconducting phase. More specifically, in the Kondo singlet phase, the ANO keeps fully active with half-occupied, and the superconducting gap has negligible influence on its structure. On the contrary, in the superconducting phase, the ANO tends to be inactive and its structure changes significantly as the superconducting gap increases. Additionally, our investigation demonstrates that the NORG method is reliable and convenient to solve the quantum impurity problems in superconductors as well, which will promote further theoretical studies on the Kondo problems in such systems using numerical methods.
    参考文献 | 相关文章 | 计量指标
    First-principles insights into NaMgPO3S oxysulfide solid electrolyte
    Jian Sun(孙健), Shaohui Ding(丁少辉), Daquan Yang(杨大全), Kan Zhang(张侃), and Huican Mao(毛慧灿)
    2026 (2):  27105-027105.  doi: 10.1088/1674-1056/adf17d
    摘要 ( 56 )   HTML ( 0 )   PDF(1370KB) ( 9 )   PDF(mobile)(1065KB) ( 5 )  
    The development of high-performance solid electrolytes is pivotal for advancing solid-state battery technologies. In this work, we design an oxysulfide-based solid electrolyte NaMgPO$_{3}$S by combining bond valence theory and density functional theory calculations. The material features a wide band gap of 4.0 eV and a considerable reduced Na$^{+}$ migration barrier of 0.44 eV, a 1.26-eV decrease compared to pristine NaMgPO$_{4}$ ($\sim 1.70$ eV). Ab initio molecular dynamics simulations further reveal significantly enhanced ionic conductivity in the oxysulfide-based system compared to the pristine oxide structure. In addition, the calculated decomposition energy indicates that the modified material exhibits good moisture stability. Our findings suggest that sulfur-doping strategy can simultaneously achieve improved ionic conductivity and high moisture stability in oxide solid electrolytes, which could pave the way for designing high-performance solid electrolytes.
    参考文献 | 相关文章 | 计量指标
    Strongly modifiable decay and angle-dependent light intensity for an atom near active plasmonic structures: A macroscopic QED study
    Ji-Yue Dai(戴吉月), Meng-Dan Zhao(赵梦丹), Yu Zhou(周昱), and Jun Xin(忻俊)
    2026 (2):  27301-027301.  doi: 10.1088/1674-1056/ae194d
    摘要 ( 59 )   HTML ( 0 )   PDF(753KB) ( 25 )  
    Tunable plasmonic structures provide the possibility to actively modify the radiation from atoms through electromagnetic coupling. In this paper, we investigate the decay and radiation behavior of an atom near a dielectric nanosphere with conductive surface within the framework of macroscopic quantum electrodynamics. The electromagnetic fields including the losses in the materials can be taken as fundamental excitations which interact with the atom through a transition dipole. Both weak and strong coupling regimes have been investigated. The decay rate and the angle-dependent light intensities indeed strongly depend on the parameters of the system, i.e., the position and orientation of the dipole, the geometric size, and the surface conductivity, providing the opportunity of artificial control over these quantities. Generalizing the formalism in this paper to other systems, like metamaterials, is straightforward, which we believe may pave a way for future active quantum nanophotonic devices.
    参考文献 | 相关文章 | 计量指标
    Anomalous Hall effect in kagome ferromagnet MgMn6Sn6 single crystal
    Zhonghua Ma(马中华), Jie Du(杜杰), Jianhua Wang(王建华), Feng Zhou(周凤), Jie Chen(陈杰), Tao Zhu(朱涛), Hang Li(李航), and Wenhong Wang(王文洪)
    2026 (2):  27302-027302.  doi: 10.1088/1674-1056/adf4a4
    摘要 ( 58 )   HTML ( 0 )   PDF(708KB) ( 49 )  
    Kagome magnets are of growing interest due to their topological electronic structures and unconventional magnetic behavior. Here, we report on the anomalous Hall effect (AHE) in the kagome ferromagnet MgMn$_{6}$Sn$_{6}$, which has a Curie temperature of $\sim 290 $ K and an in-plane easy magnetization axis. Magnetotransport measurements show a positive magnetoresistance ($MR$) below 50 K, which becomes negative at higher temperatures. An intrinsic anomalous Hall conductivity of 114 S$\cdot$cm$^{-1}$ is observed in MgMn$_{6}$Sn$_{6}$ single crystals, consistent with ab initio calculations. Moreover, theoretical predictions indicate that shifting the Fermi level ($E_{\rm F}$) upward by $\sim 70$ meV could enhance the AHE to $\sim 528$ S$\cdot$cm$^{-1}$. These results position MgMn$_{6}$Sn$_{6}$ as a promising and tunable platform for exploring topological magnetism and related electronic phenomena.
    参考文献 | 相关文章 | 计量指标
    Doping-dependent optical properties in YBCO superconducting films via BaHfO3 nanocrystal addition
    Shulun Han(韩淑伦), Yuanjie Ning(宁苑杰), Jing Chen(陈静), Yanqun Guo(郭艳群), Zicong Yang(杨子聪), Ping Zhu(朱萍), Zhigang Zeng(曾志刚), Chuanbing Cai(蔡传兵), Xinmao Yin(尹鑫茂), and Lijun Tian(田立君)
    2026 (2):  27404-027404.  doi: 10.1088/1674-1056/adee87
    摘要 ( 90 )   HTML ( 0 )   PDF(1949KB) ( 22 )  
    This study investigates the effect of BaHfO$_{3}$ (BHO) addition on the optical properties of YBa$_{2}$Cu$_{3}$O$_{7-\delta }$ (YBCO) superconducting thin films using spectroscopic ellipsometry. Through Raman spectroscopy and SEM analysis, optimal 10-min Ar ion etching effectively removes surface $a$-axis-oriented grains and Ba-Cu-O impurities, enhancing surface quality. Optical conductivity analysis reveals a doping-dependent evolution: 10% BHO doping maximizes free carrier density and interband transition efficiency, attributed to optimized Cu-O bond contraction and reduced lattice distortions. Higher doping induces defect clustering, carrier scattering, and redshifted transitions due to lattice expansion. Dielectric function and loss function analyses confirm enhanced plasmonic behavior and flux pinning at 10% doping, while excessive doping degrades electronic transitions. These results highlight the critical role of controlled BHO addition and surface treatment in tailoring the optical and superconducting properties of YBCO, offering insights into the interplay among doping, carrier dynamics, and electronic structure in high-temperature superconductors (HTS).
    参考文献 | 相关文章 | 计量指标
    Type-II character and anisotropic superconductivity in natural superconducting covellite
    Zouyouwei Lu(鲁邹有为), Yuhang Zhang(张宇航), Qiming Zhang(张栖铭), Xinyi Zheng(郑新义), Ningning Wang(王宁宁), Jihu Lu(卢佶虎), Jiali Liu(刘家利), Feng Wu(吴凤), Chengjie Xu(徐诚杰), Yunzhenshan Gao(高运蓁山), Hua Zhang(张华), Jianping Sun(孙建平), Jin-Guang Cheng(程金光), Guangtong Liu(刘广同), Ziyi Liu(刘子儀), and Xiaoli Dong(董晓莉)
    2026 (2):  27405-027405.  doi: 10.1088/1674-1056/ae23b2
    摘要 ( 52 )   HTML ( 0 )   PDF(909KB) ( 23 )  
    We report a comprehensive investigation of the superconducting properties of the mineral superconductor covellite (CuS) using high-quality single crystals. First, we establish that CuS is an intrinsic type-II superconductor, correcting its long-standing classification as type-I. Second, a complete set of anisotropic superconducting parameters is determined, including the critical fields, penetration depth and coherence length, which yield a Ginzburg-Landau parameter $\kappa \sim 1.5$ and a moderate anisotropy of $\gamma \sim 2$. Our results indicate that this type-II superconductivity can be well-described by a conventional, weak-coupling, single-band s-wave pairing mechanism. This work fills a long-standing gap in the understanding of this archetypal superconductor.
    参考文献 | 相关文章 | 计量指标
    Non-Markovian dynamical solver for efficient combinatorial optimization
    Haijie Xu(徐海杰) and Zhe Yuan(袁喆)
    2026 (2):  27503-027503.  doi: 10.1088/1674-1056/ae1fea
    摘要 ( 73 )   HTML ( 1 )   PDF(1301KB) ( 31 )  
    We incorporate a non-Markovian feedback mechanism into the simulated bifurcation method for dynamical solvers addressing combinatorial optimization problems. By reinjecting a portion of dissipated kinetic energy into each spin in a history-dependent and trajectory-informed manner, the method effectively suppresses early freezing induced by inelastic boundaries and enhances the system's ability to explore complex energy landscapes. Numerical results on the maximum cut (MAX-CUT) instances of fully connected Sherrington-Kirkpatrick (SK) spin glass models, including the 2000-spin ${K}_{2000}$ benchmark, demonstrate that the non-Markovian algorithm significantly improves both solution quality and convergence speed. Tests on randomly generated SK instances with 100 to 1000 spins further indicate favorable scalability and substantial gains in computational efficiency. Moreover, the proposed scheme is well suited for massively parallel hardware implementations, such as field-programmable gate arrays, providing a practical and scalable approach for solving large-scale combinatorial optimization problems.
    参考文献 | 相关文章 | 计量指标
    Thickness dependence of the magnetic properties of barium ferrite films prepared by pulsed laser deposition
    Chengbo Zhao(赵诚博), Bowei Han(韩博纬), Yuchen Zhao(赵宇辰), Yang Sun(孙洋), Lichen Wang(王利晨), Ruoshui Liu(刘若水), Yunzhong Chen(陈允忠), and Dengjing Wang(王登京)
    2026 (2):  27504-027504.  doi: 10.1088/1674-1056/adf6a5
    摘要 ( 46 )   HTML ( 0 )   PDF(1649KB) ( 63 )  
    BaFe$_{12}$O$_{19}$ (BaM) thin films with thicknesses ranging from 15 nm-200 nm were deposited on Al$_{2}$O$_{3}$(0001) substrates by pulsed laser deposition (PLD). X-ray diffraction patterns show that a buffer layer with a thickness of nearly 60 nm forms on the substrate, and then a $c$-axis perpendicularly oriented BaM thin film grows on the buffer layer. Atomic force microscopy results indicate that the BaM thin film exhibits a spiral island growth mode on the buffer layer. Magnetic hysteresis loop results confirm that the buffer layer exhibits no significant magnetic anisotropy, while the BaM thin film exhibits perpendicular magnetic anisotropy. The out-of-plane coercivity decreases with increasing BaM thin-film thickness due to the combined effect of grain size growth and lattice strain relaxation. The 200 nm thick film exhibits optimum magnetic properties with $M_{\rm s}=319 $ emu/cm$^{3}$ and $H_{\rm c}=1546 $ Oe.
    参考文献 | 相关文章 | 计量指标
    Strain energy enhanced room-temperature magnetocaloric effect in Mn5Ge3
    Xiaohe Liu(刘潇贺), Ping Song(宋平), Sen Yao(姚森), Yuhao Lei(雷雨豪), Ling Yang(杨玲), Shenxiang Du(杜深祥), Yiran Deng(邓贻然), and Defeng Guo(郭得峰)
    2026 (2):  27505-027505.  doi: 10.1088/1674-1056/adf6a6
    摘要 ( 55 )   HTML ( 0 )   PDF(2032KB) ( 10 )  
    Large magnetic entropy change ($\Delta S_{\rm M}$) can realize a prominent heat transformation under the magnetic field and directly strengthen the efficacy of the magnetocaloric effect, which provides a pioneering environmentally friendly solid-state strategy to improve refrigeration capacities and efficiencies. The second-order magnetic transition (SOMT) materials have broader $\Delta S_{\rm M}$ peaks without thermal hysteresis, making them highly attractive in magnetic refrigeration, especially in the room temperature range. Here, we report a significant enhancement of $\Delta S_{\rm M}$ at room temperature in single-crystal Mn$_{5}$Ge$_{3}$. In this SOMT system, we realize a 60% improvement of $-\Delta S^{\max}_{\rm M} $ from 3.5 J/kg$\cdot $K to 5.6 J/kg$\cdot $K at $T = 300$ K. This considerable enhancement of $\Delta S_{\rm M}$ is achieved by intentionally introducing strain energy through high-pressure constrained deformation. Both experimental results and Monte Carlo simulations demonstrate that the enhancement of $\Delta S_{\rm M}$ originates from the microscopic strain and lattice deformation induced by strain energy after deformation. This strain energy will reconstruct the energy landscape of this ferromagnetic system and enhance magnetization, resulting in a giant intensity of magnetocaloric responses. Our findings provide an approach to increase magnetic entropy change and may give fresh ideas for exploring advanced magnetocaloric materials.
    参考文献 | 补充材料 | 相关文章 | 计量指标
    Characterization of large ferroelectric polarization and high-TC in sol-gel deposited PbTiO3-based perovskite thin films
    Mengqi Ye(叶梦琪), Zhao Pan(潘昭), Weibin Song(宋伟宾), Jin Liu(刘锦), Xubin Ye(叶旭斌), Xin Xiong(熊心), Hui Liu(刘辉), Longlong Fan(樊龙龙), Nianpeng Lu(鲁年鹏), Ruilong Wang(王瑞龙), and Youwen Long(龙有文)
    2026 (2):  27702-027702.  doi: 10.1088/1674-1056/adf0e4
    摘要 ( 46 )   HTML ( 0 )   PDF(1295KB) ( 11 )   PDF(mobile)(693KB) ( 2 )  
    BiMeO$_{3}$-PbTiO$_{3}$ (where Me represents transition metals) perovskite-type thin films have been widely studied due to their superior ferroelectric properties, including robust ferroelectric polarization and high Curie temperatures. In this study, PbTiO$_{3}$-based perovskite thin films of $x$Bi(Cu$_{1/2}$Zr$_{1/2}$)O$_{3}$-($1-x$)PbTiO$_{3 }$ ($x$BCZ-($1-x$)PT) were designed and prepared on Pt(111)/Ti/SiO$_{2}$/Si substrates using the conventional sol-gel method. The $x$BCZ-($1-x$)PT thin films demonstrate remarkable crystallinity, characterized by a perovskite structure and a dense microstructure, which contribute to their high-performance ferroelectric and fatigue properties. Notably, the thin films exhibit large remnant polarization (2$P_{\rm r}$) values, reaching 98 μC$\cdot$cm$^{-2}$ and 74 μC$\cdot$cm$^{-2}$ for the 0.05BCZ-0.95PT and 0.1BCZ-0.9PT compositions, respectively. Furthermore, the thin films also demonstrate a high Curie temperature ($T_{\rm C} = 510 ^\circ$C), as well as favorable fatigue properties and low leakage current, suggesting their potential applicability in ferroelectric devices.
    参考文献 | 相关文章 | 计量指标
    Improved energy storage performance by doping linear dielectrics into lead-free NaNbO3-based ceramics
    Yunfeng Guo(郭云凤), Junxian Wang(王俊贤), Xiangkai Zhu(朱香开), Yuxuan Ren(任宇轩), Liming Chen(陈立明), and Jiamao Li(李家茂)
    2026 (2):  27703-027703.  doi: 10.1088/1674-1056/adefd8
    摘要 ( 56 )   HTML ( 0 )   PDF(2286KB) ( 71 )  
    NaNbO$_{3}$-based lead-free dielectric ceramics possess significant application prospects in the field of dielectric capacitors. However, their development is hindered by low recoverable energy storage density ($W_{\rm rec}$) and energy storage efficiency ($\eta $). Herein, novel NaNbO$_{3}$-based ceramics, ($1-x$) [0.7Na$_{0.97}$Sm$_{0.01}$NbO$_{3}$-0.3(Sr$_{0.7}$Bi$_{0.2}$)(Ti$_{0.8}$Zr$_{0.2}$)O$_{3}$]-$x$CaTiO$_{3}$, were created by adding CaTiO$_{3}$ linear dielectric, aiming to improve their energy storage performance (ESP). The phase structure, microstructure, dielectric properties, energy storage and charge-discharge performances of the ceramics were methodically analyzed. All components of the ceramics exhibit a perovskite structure consisting of two phases: antiferroelectric $P$-phase (AFE $P$) and antiferroelectric $R$-phase (AFE $R)$, with the AFE $R$ phase increasing as $x$ rises. All ceramic surfaces exhibit clear grain morphology. The resultant ceramics have an appropriate dielectric constant and a small dielectric loss, which are beneficial for improving breakdown field strength ($E_{\rm b}$). Finally, at an $E_{\rm b}$ of 470 kV/cm, 0.85[0.7Na$_{0.97}$Sm$_{0.01}$NbO$_{3}$-0.3(Sr$_{0.7}$Bi$_{0.2}$)(Ti$_{0.8}$Zr$_{0.2}$)O$_{3}$]- 0.15CaTiO$_3$ ceramic achieves optimal ESP: $W_{\rm rec} = 3.9 $ J/cm$^{3}$, $\eta = 72.49$%. In addition, it has remarkable stability with temperature and frequency in energy storage and displays ultrafast speed in the charge-discharge process ($t_{0.9} = 27$ ns).
    参考文献 | 相关文章 | 计量指标
    Brief investigations on CuxTa2-xO5 for thermoelectric and optical responses using density functional and experimental techniques
    Laiba Ashraf, Salma Waseem, Maria Khalil, Naveed Ahmad, Pervaiz Ahmad, Imen Kebaili, and Murtaza Saleem
    2026 (2):  27801-027801.  doi: 10.1088/1674-1056/adee89
    摘要 ( 41 )   HTML ( 0 )   PDF(2929KB) ( 20 )  
    Cu$_{x}$Ta$_{2-x}$O$_{5}$ compositions were investigated for advanced thermoelectric and optical applications, using both simulations and experimental approaches. Density functional theory calculations were performed before the experimental observations to predict the trends of various parameters. Crystal structure analysis confirmed the presence of the orthorhombic Ta$_{2}$O$_{5}$ phase in all the compositions. The composition and morphology demonstrated impurity-free contents with uniform and crack-free surfaces. Thermoelectric analysis depicted a decrease in Seebeck coefficient from 3.66 μV$\cdot$K$^{-1}$ to 1.91 μV$\cdot$K$^{-1}$ and an increase in the value of specific heat from 0.73 J$\cdot$K$^{-1}\cdot$kg$^{-1}$ to 11.6 J$\cdot$K$^{-1}\cdot$kg$^{-1}$ upon Cu incorporation in structure. The bandgap was found to reduce from 2.61 to 1.38 eV with Cu-induced electronic states. The real epsilon and static refractive index increased from 3.75 to 4.57 and from 1.93 to 2.11, respectively, with increment in Cu content. The enhanced parameters, focusing on the thermoelectric and optical responses, make these compositions potential candidates for advanced optoelectronic applications.
    参考文献 | 相关文章 | 计量指标
    Memristor-based analog noise correction for infrared sensors
    Xiao Huang(黄潇), Peiwen Tong(童霈文), Qingjiang Li(李清江), Tuo Ma(马拓), Shuo Han(韩硕), Wei Wang(王伟), and Yi Sun(孙毅)
    2026 (2):  28501-028501.  doi: 10.1088/1674-1056/adecf9
    摘要 ( 52 )   HTML ( 1 )   PDF(1401KB) ( 12 )   PDF(mobile)(820KB) ( 2 )  
    Sensor noise is a critical factor that degrades the performance of image processing systems. In traditional computing systems, noise correction is implemented in the digital domain, resulting in redundant latency and power consumption overhead in the analog-to-digital conversion. In this work, we propose an analog-domain image correction architecture based on a proposed small-scale UNet, which implements a compact noise correction network within a one-transistor-one-memristor (1T1R) array. The statistical non-idealities of the fabricated 1T1R array (e.g., device variability) are rigorously incorporated into the network's training and inference simulations. This correction network architecture leverages memristors for conducting multiply-accumulate operations aimed at rectifying non-uniform noise, defective pixels (stuck-at-bright/dark), and exposure mismatch. Compared to systems without correction, the proposed architecture achieves up to 50.13% improvement in recognition accuracy while demonstrating robust tolerance to memristor device-level errors. The proposed system achieves a 2.13-fold latency reduction and three orders of magnitude higher energy efficiency compared to conventional architecture. This work establishes a new paradigm for advancing the development of low-power, low-latency, and high-precision image processing systems.
    参考文献 | 相关文章 | 计量指标
    Self-powered horizontally structured n-n heterojunction photodetector based on Si-GaN/β-Ga2O3 for UV detection
    Muzi Li(李木子), Maolin Zhang(张茂林), Xueqiang Ji(季学强), Shan Li(李山), Lili Yang(杨莉莉), and Weihua Tang(唐为华)
    2026 (2):  28502-028502.  doi: 10.1088/1674-1056/adee8d
    摘要 ( 49 )   HTML ( 0 )   PDF(2043KB) ( 16 )  
    With the rapid advancement of optoelectronic technology, high-performance photodetectors are increasingly in demand in fields such as environmental monitoring, optical communication, and defense systems, where ultraviolet detection is critical. However, conventional semiconductor materials suffer from limited UV-visible detection capabilities owing to their narrow bandgaps and high dark currents. To address these challenges, wide-bandgap semiconductors have emerged as promising alternatives. Here, we fabricated a horizontally structured n-n heterojunction photodetector by growing $\beta $-Ga$_2$O$_3$ on Si-GaN via plasma-enhanced chemical vapor deposition. The device exhibits a self-powered photocurrent of 3.5 nA at zero bias, enabled by the photovoltaic effect of the space charge region. Under 254-nm and 365-nm illumination, it exhibits rectification behavior, achieving a responsivity of 0.475 mA/W (0 V, 220 μW/cm$^2$ at 254 nm) and 257.6 mA/W ($-5$ V), respectively. Notably, the photodetector demonstrates a high photocurrent-to-dark current ratio of 10$^5$ under $-5$-V bias, highlighting its potential for self-powered and high-performance UV detection applications.
    参考文献 | 相关文章 | 计量指标
    Mechanism of loop-2 in facilitating microtubule depolymerase activity of kinesin-8 motors
    Xiao-Xuan Shi(史晓璇), Yao Wang(王瑶), Jie Wang(王杰), Yu-Ru Liu(刘玉如), and Ping Xie(谢平)
    2026 (2):  28701-028701.  doi: 10.1088/1674-1056/adf4a8
    摘要 ( 39 )   HTML ( 0 )   PDF(6340KB) ( 9 )   PDF(mobile)(5709KB) ( 1 )  
    Kinesin-8 motors can move with a high processivity on microtubule lattices toward the plus end. After reaching the plus end, the kinesin-8 motors can pause for a long time and promote the microtubule depolymerization. Here, using atomistic molecular dynamics simulations we studied the structural changes of the kinesin-8 head in different nucleotide states bound to the straight and curved tubulins and the corresponding interactions between them. We found that the kinesin-8 head in ATP and/or ADP-Pi state has the similar strong affinity while in ADP state has the similar weak affinity to both the straight and curved tubulins, which is strongly implicated in the mechanism of the long but very different residence times of the kinesin-8 motor on the microtubule lattice and at the end. Moreover, we found that loop-2 of the kinesin-8 head bound strongly to the curved tubulin in the stable state has a large interference with its neck linker pulled in the minus-ended orientation. This is contrary to the case of the head bound strongly to the straight tubulin, where loop-2 has little interference with its neck linker pulled in the minus-ended orientation. The large interference can induce a larger internal force between the two heads and thus can induce the two curved tubulins bound strongly by the two heads to be more curved relative to each other. This is strongly implicated in the mechanism of the depolymerase activity of the kinesin-8 motors and explains the origin of loop-2 playing a facilitating role in the depolymerase activity.
    参考文献 | 相关文章 | 计量指标
    Simulation on mechanochemical coupling of rotary biomotors F1 and V1
    Liqiang Dai(戴立强), Yao-Gen Shu(舒咬根), and Zhong-Can Ouyang(欧阳钟灿)
    2026 (2):  28702-028702.  doi: 10.1088/1674-1056/ae2674
    摘要 ( 57 )   HTML ( 0 )   PDF(1906KB) ( 14 )  
    The F$_1$-ATPase and V$_1$-ATPase are rotary biomotors. Alignment of their amino acid sequences, which originate from bovine heart mitochondria (1BMF) and Enterococcus hirae (3VR6), respectively, demonstrates that the segment forming the ATP catalytic pocket is highly conserved. Single-molecule experiments, however, have revealed subtle differences in efficiency between the F$_1$ and V$_1$ motors. Here, we perform both atomistic and coarse-grained molecular dynamics simulations to investigate the mechanochemical coupling and coordination in F$_1$ and V$_1$ ATPase. Our results show that the correlation between conformational changes in F$_1$ is stronger than that in V$_1$, indicating that the mechanochemical coupling in F$_1$ is tighter than in V$_1$. Moreover, the unidirectional rotation of F$_1$ is more processive than that of V$_1$, which accounts for the higher efficiency observed in F$_1$ and explains the occasional backward steps detected in single-molecule experiments on V$_1$.
    参考文献 | 相关文章 | 计量指标
    Performance analysis of an in-built N+ pocket electrically doped TFET biosensor for biomedical applications
    Chan Shan(单婵), Qian-nan Wang(王倩楠), and Ying Liu(刘赢)
    2026 (2):  28703-028703.  doi: 10.1088/1674-1056/adecfa
    摘要 ( 38 )   HTML ( 0 )   PDF(942KB) ( 11 )   PDF(mobile)(508KB) ( 3 )  
    An in-built N$^{+}$ pocket electrically doped tunnel field-effect transistor (ED-TFET)-based biosensor has been reported for the first time. The proposed device begins with a PN junction structure with a control gate (CG) and two polarity gates (PG1 and PG2). Utilizing the polarity bias concept, a narrow N$^{+}$ pocket is formed between the source and channel without the need for additional doping steps, achieved through biasing PG1 and PG2 at $-1.2 $ V and 1.2 V, respectively. This method not only addresses issues related to doping control but also eliminates constraints associated with thermal budgets and simplifies the fabrication process compared to traditional TFETs. To facilitate biomolecule sensing within the device, a nanogap cavity is formed in the gate dielectric by selectively etching a section of the polarity gate dielectric layer toward the source side. The investigation into the presence of neutral and charged molecules within the cavities has been conducted by examining variations in the electrical properties of the proposed biosensor. Key characteristics assessed include drain current, energy band, and electric field distribution. The performance of the biosensor is measured using various metrics such as drain current ($I_{\rm DS}$), subthreshold swing (SS), threshold voltage ($V_{\rm TH}$), drain current ratio ($I_{\rm ON}/I_{\rm OFF}$). The proposed in-built N$^{+}$ pocket ED-TFET-based biosensor reaches a peak sensitivity of 1.08$\times10^{13}$ for a neutral biomolecule in a completely filled nanogap with a dielectric constant of 12. Additionally, the effects of cavity geometry and different fill factors (FFs) on sensitivity are studied.
    参考文献 | 相关文章 | 计量指标
    Patterned line-illumination mesoscopy with a moving slit for enhancing background suppression in cortex-wide mouse brain imaging
    Chaowei Zhuang(庄超玮), Yi Yang(杨懿), and Hao Xie(谢浩)
    2026 (2):  28704-028704.  doi: 10.1088/1674-1056/adf4a6
    摘要 ( 37 )   HTML ( 0 )   PDF(4610KB) ( 9 )  
    Wide-field mesoscopy provides the capabilities of cortex-wide field of view (FOV), cellular resolution and high frame rate for neuronal imaging in the mouse brain. However, inherent background fluorescence degrades the image quality and hinders neuronal signal extraction. To address this problem, we first introduce a cortex-wide, high-resolution line-illumination mesoscope with a moving slit designed for in vivo mouse brain imaging. This system achieves a 6.6$\times$6.6 mm FOV, microscale cellular resolution, a high frame rate of 10 Hz, as well as the background rejection ability. Furthermore, we integrated patterned illumination into the system to enhance the background suppression. Experimental results show that the proposed system successfully captures neurodynamics in the living mouse brain. Compared with conventional wide-field mesoscopes, the cortex-wide patterned line-illumination mesoscope (PLIM) achieves a threefold increase in the signal-to-background ratio (SBR). With patterned illumination integrated, the SBR enhancement further reaches four-and-a-half-fold.
    参考文献 | 相关文章 | 计量指标
    Vaccination-transmission coupled mechanism based on parallel minority game
    Chenli Xue(薛琛丽), Xiaofeng Luo(罗晓峰), and Gui-Quan Sun(孙桂全)
    2026 (2):  28705-028705.  doi: 10.1088/1674-1056/ae306a
    摘要 ( 45 )   HTML ( 0 )   PDF(1678KB) ( 50 )  
    Vaccination is a key strategy to curb the spread of epidemics. Heterologous vaccination, unlike homologous vaccination which acts on a single target and forms a single immune barrier, covers multiple targets for broader protection. Yet, heterologous vaccination involves a complex decision process that conventional game-theoretic approaches, such as classical, evolutionary, and minority games cannot adequately capture. The parallel minority game (PMG) can handle bounded-rational, multi-choice decisions, but its application in vaccine research remains rare. In this study, we propose a vaccination-transmission coupled dynamic mechanism based on the parallel minority game and simulate it on a two-dimensional lattice. Using actual observational data and a mean-field mathematical model, we verify the effectiveness of this mechanism in simulating realistic vaccination behavior and transmission dynamics. We further analyze the impact of key parameters, such as vaccine efficacy differences and the proportion of individuals eligible for vaccine switching, on containment effectiveness. Our results demonstrate that heterologous vaccination surpasses homologous vaccination in containment effectiveness, particularly when vaccine efficacy varies significantly. This work provides a novel framework and empirical evidence for understanding individual decision-making and population-wide immunity formation in multi-vaccine settings.
    参考文献 | 相关文章 | 计量指标
    Band engineering and recombination mechanisms in lead-free perovskite solar cells
    Wei Liu(刘维), Tingxue Zhou(周庭雪), Liang Chu(楚亮), and Xing'ao Li(李兴鳌)
    2026 (2):  28801-028801.  doi: 10.1088/1674-1056/ae156b
    摘要 ( 66 )   HTML ( 0 )   PDF(1738KB) ( 20 )   PDF(mobile)(1145KB) ( 6 )  
    All-inorganic lead-free perovskite solar cells have emerged as environmentally benign candidates; however, their device performance is still constrained by pronounced carrier recombination losses in the bulk and at interfaces. By combining energy band alignment analysis with detailed modeling of recombination mechanisms, a systematic strategy for optimizing hole transport layers is developed. The results reveal that a negative valence band offset produces a cliff-like interface, which facilitates hole extraction while also accounting for the observed variations in open-circuit voltage. Furthermore, short-circuit current losses are quantitatively attributed to different recombination pathways, modeled by incorporating radiative, Shockley-Read-Hall, Auger, and interface recombination processes. This comprehensive approach not only clarifies the correlation between energy level alignment and recombination dynamics but also highlights the competing roles of band offset and interface defects in determining device performance. The optimized device architecture, based on Ge-based lead-free perovskites, achieves a power conversion efficiency of 25.1%, with an open-circuit voltage of 1.29 V, a short-circuit current density of 22.5 mA$\cdot $cm$^{-2}$, and a fill factor of 86.3%. These findings provide theoretical guidance for designing stable, high-performance, and environmentally friendly lead-free perovskite solar cells.
    参考文献 | 相关文章 | 计量指标
    Corrigendum to “Molecular dynamics study incorporating regression analysis: Quantitative effects of sinusoidal protrusions and wettability on water phase transition containing insoluble gases”
    Bingheng Li(李丙衡), Yujian Gao(高雨键), Mian Yu(余绵), Lianfeng Wu(吴连锋), Lianxiang Ma(马连湘), and Yuanzheng Tang(唐元政)
    2026 (2):  29901-029901.  doi: 10.1088/1674-1056/ae3235
    摘要 ( 49 )   HTML ( 0 )   PDF(716KB) ( 14 )  
    In Chin. Phys. B 34 114704 (2025), Eq. (7) and the associated unit notation were incorrect. The correct ones are present here. Since Eq. (7) is an in-built expression in the simulation package, the correction is purely typographical and does not affect the simulation procedure, numerical results, or the conclusions.
    参考文献 | 相关文章 | 计量指标