Noise-like rectangular pulses in a mode-locked double-clad Er:Yb laser with a record pulse energy*

Project supported by the National Natural Science Foundation of China (Grant Nos. 61435009, 61235008, and 61405254).

Wu Tianyi1, Dou Zhiyuan1, Zhang Bin1, 2, 3, Hou Jing1, 2, 3, ‡
       

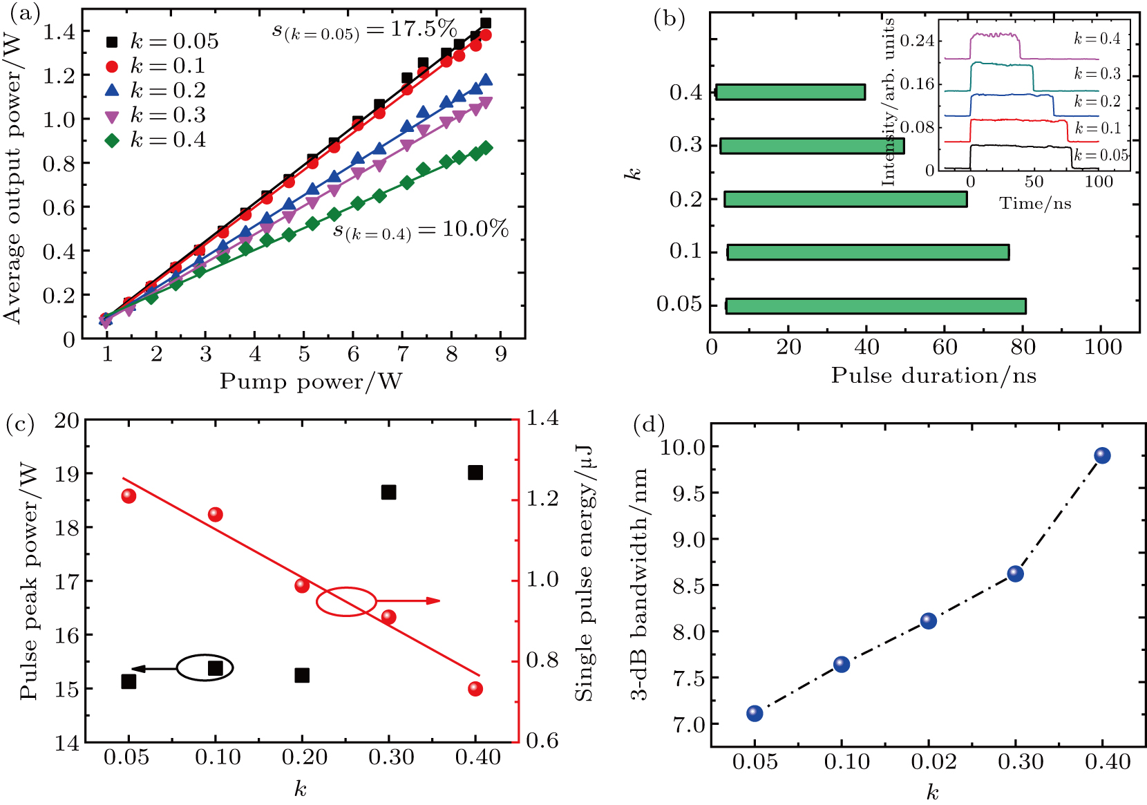
(a) Average output power for different coupling ratios against the pump power. (b) Tuning ranges of pulse duration under different coupling ratios. Inset: Pulses shape at the pump power of 8.7 W under corresponding coupling ratios. (c) Pulse peak power (black squares) and single pulse energy (red spheres) against 5 different coupling ratios at the pump power of 8.7 W. (d) Spectral 3-dB bandwidth of the NLP pulses for different coupling ratios.